Эфиры- совокупное название нескольких классов органических соединений. Есть три класса эфиров.
Этеры(простые эфиры)- органические вещества, имеющие формулу R-O-R', где R и R'- алкильные, арильные или другие заместители.
Представляют собой летучие жидкости с приятным запахом. Простые эфиры используются как растворители для жиров, смол, красителей и лаков. Некоторые эфиры применяются для анестезии. Используются в парфюмерии и многих других сферах. Получаются при нагревании первичных спиртов (например CH3CH2OH) с концентрированной серной кислотой до 130-140°С. Хотя есть и другие способы получения.
Эстеры(сложные эфиры)- производные кислородных кислот (карбоновых и неорганических) с общей формулой:
Одним из основных способов получения сложных эфиров является этерификация- взаимодействие кислот и спиртов в условиях кислотного катализа.
Сложные эфиры низших карбоновых кислот и простейших спиртов- летучие бесцветные жидкости с зачастую фруктовым запахом. Сложные эфиры высших карбоновых кислот- бесцветные твёрдые вещества.
Сложные эфиры широко используются в качестве растворителей, пластификаторов, ароматизаторов.
...
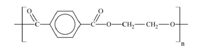
Полиэфиры- полимеры, получаемые поликонденсацией многоосновных кислот или их ангидридов с многоатомными спиртами.
Например, полиэтилентерефталат:
Полиэфиры бывают как природными (янтарь, древесная смола, шеллак и др.), так и синтетическими (полиэстер и т.д.).
Из полиэтилентерефталата и его производных формируют полиэфирное волокно, которое применяется в производстве различных тканей, синтетического меха, канатов, утеплительного материала и прочего.
Экстремофилы (от лат. Extremus- экстремальный; от др. Греч. Filia- любовь)- организмы, способные жить и размножаться в особо суровых условиях окружающей среды. По сравнению с ними, организмы, обитающие в более умеренной среде называют нейтрофилами или мезофилами.
Существует множество классов экстремофилов, названия которых зависят от отличий их экологических ниш от нейтрофильных условий.
Полиэкстремофилами называются те экстремофилы, которые подходят под несколько категорий сразу. Например, Thermococcus barophilus.
Классы экстремофилов.
Ацидофилы (от лат. Acidus- кислый)- организмы, оптимально растущие при уровнях pH 3 или ниже (кислая среда). Пример: десмидиевые водоросли, обитающие в торфяных болотах.
Алкалифилы- класс экстремофилов, представители которого живут при уровнях pH 9 или выше (щелочная среда). Пример: Bacillus okhensis.
Криптоэндолиты- организмы, живущие в микроскопических пространствах внутри скал, таких, как поры между зёрен заполнителей. Являются разновидностью эндолитов- организмов, проживающих в трещинах горных пород и др. (Не все эндолиты- экстремофилы).
Галофилы- существа, обитающие в условиях высокой солёности- морях, солёных озёрах и т.д. Солёность ниже 30 промилле убивает их. Примеры: радиолярии (Radiolaria), рифообразующие кораллы (Alcyoneum).
Гипертермофилы- организмы, развивающиеся при температуре от +80 до 122°С. Пример: Штамм 121- Археи из Тихого океана, процветающие при 121°С.
Гиполиты- экстремофилы, живущие под камнями и минеральными породами в экстремальных климатических условиях пустынь (в том числе арктических).
Капнофилы- организмы, для жизнедеятельности которых требуется CO2 в концентрации 10-15%. Пример: кампилобактерии.
Металлотолерантные организмы- экстремофилы, выживающие в условиях высоких уровней растворённых тяжёлых металлов в растворе. Пример- Ferroplasma (род Архей).
Осмофилы- организмы, выживающие в растворах с чрезвычайно высокой концентрацией осмотически активных веществ и соответственно при высоком осмотическом давлении. Пример: Saccharomyces cerevisiae (Пекарские дрожжи).
Пьезофилы (барофилы)- существа, выживающие в условиях высокого давления (до 700 атмосфер и более). Пример: Halomonas salaria (бактерия, требует для роста 1000 атм и 3°С).
Психрофилы(криофилы)- организмы, выживающие при низких температурах (обычно не выше +10°С).
Термофилы- организмы, процветающие при температурах от +45°С и выше (гипертермофилы- их разновидность).
Ксерофилы- существа, обитающие в условиях обезвоженности, сухости. Пример: почвенные микробы в пустыне Атакама.
...
Это лишь небольшая часть классификации экстремофилов, но надеюсь, что Вам понравилось.
Глава Росстандарта Антон Шалаев допустил создание отечественной классификации игр — для порядка в стремительно растущей индустрии.
В ведомстве Росстандарт заговорили о наведении ясности в мире цифровых забав. Глава учреждения Антон Шалаев, отвергнув слухи о скором появлении жёсткого ГОСТа, тем не менее допустил создание особой классификации видеоигр.
«Классификация видеоигр — это не про регулирование контента в узком смысле и не про цензуру, а про наведение порядка в отрасли», — пояснил он суть начинания. Нынешнее положение, когда государство и рынок «говорят на разных языках», по мнению чиновника, лишь тормозит развитие целого сегмента креативной экономики.
Речь идёт не о техническом стандарте, а о создании прозрачной рамочной системы — аналога зарубежных возрастных и жанровых маркировок. Такая классификация, как полагают эксперты, необходима всем: родителям, образовательным учреждениям, платформам дистрибуции и самим разработчикам. «Без классификации видеоигры оказываются в серой зоне — между кино, игрушками и программным обеспечением, а это невыгодно для самой отрасли», — считает кандидат экономических наук Алексей Лерон.
С ним солидарен маркетолог Дмитрий Назаркин, видящий в чётком разделении на классы базис для маркетингового продвижения. Указанный класс игры, подобно жанру фильма или типу кузова автомобиля, поможет товару найти своего покупателя.
Важно, что система не должна накладывать прямых запретов. «Классификация не запрещает жанры, механики или сюжеты, а лишь делает их прозрачными для пользователя и платформы», — отмечается в материале. Косвенные эффекты, вроде влияния возрастной маркировки на способы продвижения, будут аналогичны уже привычным практикам для кино и книг.
Более того, по мнению эксперта Лерона, такая инициатива самой индустрии может стать защитой от куда более жёсткого регулирования в будущем. «Если индустрия сама соглашается на прозрачную и разумную систему классификации, она снижает риски появления запретительных мер», — резюмирует специалист.
Источник: газета «Тульская молва», сетевое издание. Зарегистрировано Роскомнадзором (серия Эл № ФС77-90414 от 01.12.2025)
Класс 1. Аммиачные облака. Условием существования для этого класса планет является температура -120°С. Альбедо у таких гигантов, вращающихся вокруг звезды-аналога Солнца, составляет 0,57. В их атмосфере будут доминировать облака из аммиака. Чтобы стать такой планетой у звезды-карлика, гигант должен родиться на расстоянии не менее 5 а. е. К такому классу планет относят Юпитер и Сатурн, а также (предположительно) 47 Большой Медведицы с, Мю Жертвенника е и многие другие.
Класс 2. Водные облака. Такие планеты содержат облака из водяного пара, а ещё много водорода и метана. Температура их атмосфер не превышает -20°С. В Солнечной системе водный гигант располагался бы примерно немного дальше 1,2 а. е. Альбедо может превышать 0,81. Предположительно, классом 2 являются 47 Большой Медведицы b и Ипсилон Андромеды d (последнее спорно).
Класс 3. Безоблачные. Температуры атмосфер безоблачных гигантов варьируют между 80°С и 530°С. Альбедо примерно равен 0,12. Вид гигантов голубо-синий, безликий, похожий на Уран или Нептун. В верхней температурной зоне появляются облака из хлоридов и сульфатов. Типичным представителем класса 2 считается 79 Кита b.
Класс 4. Планеты с сильными линиями спектров щелочных металлов. Доминирующим газом атмосферах таких гигантов является диоксид углерода вместо метана, присутствуют пары щелочных металлов. Эти особенности обусловлены температурами свыше 630°С. У них очень низкое альбедо- около 0,03. Планеты этого класса близки к светилам- менее 0,1 а. е (ближе, чем Меркурий). Типичным представителем планет класса 2 является 55 Рака b.
Класс 5. Кремниевые облака. Очень горячие газовые гиганты, атмосферы которых нагреты на более чем 1100°С. Имеют сплошные облака из паров железа и силикатов. Благодаря такой атмосфере, планеты имеют альбедо 0,55. Многие известные короткопериодические горячие юпитеры относятся к этому классу, например: 51 Пегаса b.
Как превратить рой нейронов, кластеризующий образы цифр, в классификатор? Узнайте, как проверить точность классификатора на MNIST, используя принципы биологической эволюции и энергетического баланса!
Мы продолжаем эксперименты с «Морфогенетическим Нейро-Роем».
Первую часть рекомендуется посмотреть, чтобы иметь представление о модели роя:
В прошлый раз автономные агенты научились видеть различия в цифрах, работая как чистый кластеризатор. Но как заставить их не просто группировать данные, а присваивать им конкретные имена — 0, 1, 7?
В этом выпуске мы совершаем ключевой шаг: превращаем «дикий» рой в самообучающийся классификатор без использования традиционного градиентного спуска. Мы используем элегантный метод «Ассоциативного Маркирования», вдохновленный тем, как мозг закрепляет ассоциации.
Что в новой серии:
Концепция Резонансного Маркирования: Как мы калибруем агентов, наблюдая за их победами в конкуренции, чтобы присвоить им метки классов (например, «Детектор Семерок»).
Биологическая Аналогия: Как этот процесс похож на формирование специализированных нейронных групп в живом мозге.
Инференс: Простая и быстрая логика предсказания, основанная на том, какой агент оказался самым сильным в рое.
Взгляд в Будущее: Анонс следующего этапа — внедрение вертикального роста и локального зрения, что приблизит наш рой к архитектуре CNN.
Если вы интересуетесь нейроморфными вычислениями, самоорганизующимися системами или ищете альтернативы стандартному машинному обучению, этот выпуск может быть вам интересен. Смотрите, как хаос превращается в высокоточный порядок!
Тут такое дело. Хотел упомянуть про одну разновидность ромов, но как-то не вязалась она с первой частью, где ромы по территориальному, в основном, признаку. Думал во второй части это сделать, но и там она как не пришей пирату крюк. Ничтоже сумняшеся, просто решил оформить продолжением к первой части, а потом как понеслась строка. В общем, это полноценная вторая часть.
Итак, сегодня про ром, который в принципе в каком-то смысле тоже территориальный, но правильнее будет его назвать профессиональным.
Военно-морской ром
Некий случайный Navy ром
Navy Rum – интересное явление. Официального определения у этой разновидности ромов нет, гостов нет. Считается, что крепость должна быть 54-57% (то, что называют Proof, но об этом попозже) и терруар в виде смеси ромов Ямайки, Барбадоса, Гайаны и Тринидада (но это не точно). Это больше дань традиции.
Давайте отскочим в сторону, я позволю себе – просто 30 секунд или одну минуту – маленькую историческую справку дать. Вы не против?
Ром как часть знаменитой триады традиций военно-морского флота Британии (ром, содомия и плеть) веками выступал в роли антидепрессанта, сглаживая стресс от двух других элементов триады. Да и вообще, уходя в дальнее плаванье, прощались с жизнью заранее. Шторма, болезни, недоедание, авитаминоз, тяжелая работа, регулярные бои на море и на суше, закрытый мужской коллектив без возможности его смены как минимум в течение полугода - всё это мало того, что сокращало поголовье отважных моряков, но ещё и постоянно было источником невероятного стресса. Можно грубо это сравнить с полётом в космос, только без предварительного отбора, подготовки, а иной раз и желания самого “космонавта”.
В общем так или иначе, но даже начальство понимало, что этот стрессовый фон нужно как-то понижать, иначе никакого владычества над морями. Для смягчения страданий морякам полагалась ежедневная доза алкоголя. Вначале это было пиво, довольно слабое по нашим меркам (в те времена 2-3% считалось нормой), зато много - 128 унций, то есть 3,785 литра. В пересчете на чистый спирт это чуть больше 113 мл. Таким образом заодно и решался вопрос с ежедневным потреблением жидкости.
Но, как говорится, не пивом единым. Корабль мог ходить месяцами по морям-океанам, и где причаливали, там местным алкоголем и заправлялись: вино, бренди, арак - всё шло в ход. Не стоит забывать, что пиво и вино в процессе транспортировки могли испортиться, а вот крепкий алкоголь мог только закончиться, да и места занимал значительно меньше. Это привело к тому, что запасаться стали крепышом. Вначале бренди был предпочтительнее, потому как Франция - она вот тут, за Ла-Маншем, а Карибские острова с их ромом - они вон аж где. Но когда раскрутились колонии в обеих Америках и корабли стали туда заходить регулярно, то, конечно, и ром полился в моряцкие кружки. Так ведь проще, чем брать запас бренди в два конца. Туда идём на бренди, а назад заправляемся ромом. В два раза меньше бочек рома в моменте, а значит можно больше пушек и пороха с собой взять just in case.
Первые упоминания о выдаче рома задокументированы еще в середине XVII века, а в начале XIX века на него перешел весь флот Британии.
Вот один скриншотик документа из истории британского флота, где описывается одно из первых упоминаний официальной выдачи рома на некоторых кораблях в 1655 году:
«…эскадры, базировавшиеся в Вест-Индии после захвата Ямайки, — хотя это и не было официально разрешено Управлением по снабжению в Лондоне — ввели ежедневную выдачу рома морякам вместо пива».
В общем пили во флоте хорошо и ежедневно. Ну вы помните: “Умный в артиллерии, богатый в кавалерии, пьяница на флоте, а дурак в пехоте”, но с годами ежедневное алкогольное довольствие сокращалось. То ли дисциплина со временем теряться стала, матросы всё-таки должны чувствовать плеть (и содомию) и иногда бояться её, то ли заметили, что моряки со временем спиваются и теряют свои рабочие качества, может быть просто сокращали бюджетное финансирование, но с полпинты (283 мл) рома два раза в день всё скукожилось до восьмушки (71 мл) в сутки. Тут стоит вспомнить адмирала Эдварда Вернона, известного как “Старый Грог” за любовь к ношению фаевого камзола, который на английском звучит как grogram.
Вот и автор коктейля. Ещё во времена до изобретения коктейлей, его микс пользовался бешенной популярностью.
Так вот, за пару десятков лет службы на флоте зоркий глаз старины Грога заметил, что матросы экономят ежедневные порции рома, чтоб упиться в хлам накопленным за неделю. Ну вы понимаете, это же всё происходит на военных кораблях, там где пушечки, ядрышки, сабельки и порох. В общем, Вернон перестал выдавать ром чистоганом, а велел разбавлять его водой с добавкой цитрусовых или пахучих трав, чтобы вкус был поприличнее. Рецепт был прост: одна часть рома на четыре части воды, лимон по вкусу. Моряк не упьется, и заодно цингу профилактируем. Вот этот напиток и назвали “грог”. А закончилось всё 31 июля 1970 года, и дата эта теперь известна как “Black Tot Day”. Tot — это мерная кружка для выдачи ежедневной порции рома на корабле. В тот роковой день ею отмерили последний ромовый паёк в истории британского флота.
Обратите внимание на надпись на бочке. Это очередная морская традиция: на ромовой бочке должно быть написано “The King God Bless Him” либо “The Queen God Bless Her”.
Вернемся к происхождению напитка. Чем же Navy ром отличается от прочих. В ранние времена у каждого корабля на борту была своя смесь ромов, который выдавали морякам. Смесь - не в смысле специальный купаж, а где что закупили, то в одну бочку и залили. Вот такой случайный бленд. Однако, был момент некой стандартизации. Как вы понимаете, если ром закупался на весь британский флот, то был и госзаказ в масштабах империи, а значит и стандарты приёмки.
Флот Великобритании заключил в 1784 году контракт с Джеймсом Мэном (нынче эта компания известна, как ED&F Man) на поставку рома. И со своей задачей г-н Мэн и его потомки справлялись вплоть до “Black Tot Day”. Ром из британских колоний прибывал в доки, там его смешивали для создания однотипного продукта, который и разливали для моряков. Вот в тот момент, наверное, можно было говорить, что Джеймс Мэн сделал особый рецепт Navy Rum, но с 1970 года это стало не актуально.
Кстати, как вы понимаете, госзаказ подразумевал заготовку рома на значимый период. Индустрия бывших колоний работала и отгружала продукт, заготовляла его до конца года (а то и на следующий уже нагнать успевали), а тут он вдруг “Раз!” и перестал быть нужен флоту аккурат посреди отчетного периода.
Да, остатки того самого рома, который уже не достался морякам, были огромны. Их долго хранили в неких каменных резервуарах, пока компания Elixir Distillers не сделала из него купаж близкий к тому, что выдавали на флоте, и начала продавать за невменяемые деньги под названием “Black Tot Last Consignment”.
Но это зверски дорогое исключение, конечно, не является определяющим для понятия “Navy ром”.
Из существующих ныне ромов кругом разброд и шатание. То что называют Navy rum может иметь купаж с разных островов, а может быть только с одного (Pusser’s Blue Label), может иметь крепость 54-57%, а может унизительных 40% (Lamb’s Navy Rum) или запредельных 75,5% (тот же Lamb’s Navy Rum 151 Proof).
У “сверхкрепкого” рома, кстати, своя история. Его брали в долгие полярные экспедиции, таким образом экономилось место, поскольку на полюсах с едой не очень и лишнее место, куда можно поставить ящик консервов – это крайне важно для выживания.
Некоторые эксперты считают, что настоящий Navy – это купаж минимум из двух вышеуказанных островов британских колоний (Гайана, Барбадос, Тринидад, Ямайка), но опять же, кто их там слушает, экспертов этих. Во времена Второй Мировой, например, британский флот закупал ром и с Мартиники, и Кубы.
Какой из этого можно сделать вывод? Для себя я делаю ровно один: Сейчас Navy Rum - это маркетинговое название, и подводить какую-либо теоретическую базу в виде стандартов просто бессмысленно. Официального рецепта никогда не существовало. Объединяет всё это разнообразие только тёмный цвет и очень сильная нота патоки во вкусе. Исторически же Navy Rum - это стиль, возникший благодаря стечению обстоятельств и в закрытом сообществе моряков. Что они пили, то и называли Navy.
Где Proofы? Нам нужны Proofы!
Да! Про эти самые proof на этикетке. Неоднократно те, кто пишет о крепких алкогольных напитках, вспоминают про крепость со словом Proof на этикетке и рассказывают про то, что это около 57% объемной доли спирта в напитке. Даже здесь в каком-то посте ТС высказал фразу, что алкоголь “измеряют в пруфах”, что не совсем корректно. Не в пруфах, а в долях от Proof.
Отдельные производители нынче даже называют свой ром уже не Proof, а Gunpowder Proof, настолько известна эта история.
Таким образом боттлер как бы намекает, что у них тот старый морсковолковский Proof, который равен 57%, а не этот современный гейский пруф в 50% крепости.
Многие знают, что при выборе рома для королевского флота ром выливали на кучку пороха, и если мокрый от рома порох можно было поджечь, то это хорошо, это Proof. А на вопрос: “Почему именно так?”, обычно отвечают в духе: “Вот такая госприемка была тогда”.
Пришло время сорвать покровы.
Военный корабль нужен в основном для нанесения добра и причинения пользы в крупных масштабах. Его основа - это пушки и экипаж, который из этих пушек стреляет. Крупный линкор мог нести на себе 110 пушек. Для выстрела каждой пушке нужно от 3 до 5 кг пороха. Долгое плавание подразумевало периодическую необходимость в кого-то стрелять. Соответственно, трюм боевого корабля был в основном заставлен бочками с порохом. Экипаж корабля постоянно и регулярно ест и пьет, плюс получает алкогольное довольствие. Теперь вспомним, что раньше это было 3,7 литра на человека в день, а это занимает очень много места в трюме, к тому же, что пиво, что вино гарантированно испортится после нескольких недель плавания. Поэтому выбор в пользу более крепкого рома был очевиден. Получаемый командой на ежедневной основе ром был ещё и хорошей валютой во внутренних расчетах или бартере с аборигенами, поэтому ром был вторым обитателем трюма по объему после пороха.
Так вот, вероятность пролить ром на порох в тесном трюме в момент раздачи или в горячке боя была отнюдь не нулевой и этот весёлый “стандарт госприёмки” в королевском флоте нужен был, чтобы гарантировать, что порох будет гореть и пушки будут стрелять в любом случае. Понятно, что ром и порох старались рядом не держать, чтобы одно не воспламенило другое в трудную минуту, но случаи в море бывают совершенно разные и лучше быть готовым ко всему, чем проиграть в морской бой в XVIII веке. Ну а во вторую очередь, да, это конечно проверка качества, которую можно устроить в любой момент чтобы понять, хорош ром или его уже разбавил кто-то.
Вот в результате этого и выработался стандарт 100% English Proof равный 57,15%. Служащие флота взяли аэрометр Сайкса, придуманный в 1816 году, и перемеряли ром на кораблях, который сто процентов прошел проверку горением пороха, и выяснили, что ром 54,5% тоже вполне подходит для использования (просто взяли некую выборку кораблей, померили там крепость и взяли среднее значение). В 1866 году это закрепили официально:
4,5 under proof означает крепость proof (57%) минус 4,5% от этого числа. Не 57 минус 4,5, а 57 минус 4,5% от 57, что равно где-то 2,56 процентных пункта.
Вот тут нужно уточнить: аэрометры были и до 1816 года, и даже ими измеряли крепость рома. Есть даже письма от 1776 года, где какой-то аэрометр используется именно для проверки рома. Вероятно, тест на порохе был не постоянной практикой, а вынужденной мерой, когда такого прибора под рукой не было.
Посему тот ром, который называют сейчас Navy, находится в основном в этих пределах. А стандарт Proof с тех пор ещё раз изменился, и современный он теперь равен 50% объемной доли спирта. Поэтому когда видите на бутылке проценты от Proof, лучше поищите мелкий шрифт, сколько же там на самом деле спирта в объемной доле (ABV).
Вот такая вот история про храбрых моряков, их ром и пруфы.
Дальше уйдём от соленых морских историй, и я попробую рассказать про одну классификацию с точки зрения зрения из чего ром добывают и как перегоняют. Ждите следующей части.
Некоторое время назад в комментариях в одной из соцсетей я сказал следующую фразу: "Для того, чтобы квалифицированно судить о том или ином вине очень важно в достаточной степени накопить дегустационный опыт, по крайней мере нужно попробовать вина всех главных базовых стилей!".
И получил вполне резонный вопрос: "А как вам кажется, каков должен быть самый минимальный дегустационный опыт для того чтобы человек мог сказать, что он попробовал все основные стили белых вин?"
Как показала дальнейшая дискуссия над полным списком можно спорить почти бесконечно, обсуждая какой из стилей является основным и даже основополагающим, а какой можно без большого ущерба для своего кругозора спокойно пропустить. Я взялся выделить такой основной набор стилей и назвать их типичных представителей, которые, как мне кажется, формируют "минимальный дегустационный опыт".
Я выделил ровно дюжину стилей - удивительно получилось это число, 12, такое исторически важное с одной стороны и такое несовременное с другой. Двенадцать основных стилей. Каких?
Стиль 1: предельно "нейтральные" белые вина
Я бы ещё назвал этот стиль "никакие белые вина". "Никакие", конечно же, не в плане качества производства, не в плане технологических или иных огрехов, а в плане нейтральности и даже непритязательности ароматики и вкуса. Это те вина, о которых когда дегустируешь их, мучительно думаешь "что бы такое написать в дегустационной заметке кроме вино-как-вино?". Потому что, вроде бы, и какие-то ягодки есть, но не очень понятно какие, и какие-то цветочки есть, но не очень понятно сколько, и в целом какой-то аромат есть, но какой-то не очень хорошо выразимый в словах. Вино есть, а впечатления нет.
Какие вина я отношу к этой категории: недорогие испанские вина из сортов Виура и Айрен, большую часть "супермаркетных" вин из сорта Пино Гриджио, особенно североитальянских, значительную часть вин зон Орвието, Соаве, Эст-эст-эст, Фраскатти, многие белые вина французского Лангедока. Я знаю, у многих из вас найдется "исключение" для каждого из этих названий, но эти исключения пока скорее подтверждают правило, чем опровергают его.
Стиль 2: молодые субтильные вина с высокой "хрустящей" кислотностью
Cделанные без использования выдержки на осадке, без использования дубовых бочек или каких-то иных других прикрас эти вина поступают в продажу начиная с марта-апреля года следующего за годом урожая и отличаются чистым фруктовым вкусом и ароматом, легким, сладковатым, не очень сложным. К этим вином мы можем отнести луарские и южноафриканские вина из сорта Шенен Блан, можем вспомнить о португальских винах из региона Vinhos Verdes, молодых немецких и австрийских рислингах Пфальца, Мозеля, Вахау и других областей. Это тонкие и деликатные, не слишком ароматные вина, довольно легкие в теле, с невысоким алкоголем и заметной кислотностью.
Стиль 3: "сливочные" вина с выдержкой на дрожжевом осадке
Если вина предыдущего стиля чуть-чуть усилить, оставив после брожения готовое вино в контакте с дрожжевым осадком на несколько месяцев, то мы получим по-прежнему достаточно лёгкие вина, но главная нота ароматов сдвинется с легкой фруктовости на сливочные и сдобные ноты. Сливки, масло, багет в первом плане и легкая фруктовость во втором - таков портрет вин западной Луары, таких как Мюскаде (Muscadet sur lie) или Пикпуля де Пине из южной части Франции, из региона Лангедок-Руссильон. В эту же категорию попадают и более качественные и более дорогие образцы тех вин, которые перечислены в первом пункте. Как их отличить? Увы, только по этикетке никак. Только по техническому паспорту вина на сайте производителя. А кому сейчас легко?
Стиль 4: умеренно плотные "минеральные" вина
Если мы чуть-чуть усилим нажим и сделаем акцент на концентрацию и полноту ароматов, то мы окажемся в классе достаточно строгих и уже довольно плотных выразительных вин, с выраженным фруктовым ароматом и зачастую с набором оттенков, которые принято называть "минеральными" - нотами дробленого камня, мела, каменной пыли и тому подобных. Этот стиль лучше всего представляют вина региона Шабли, самой северной части Бургундии, сделанные без использования дубовых бочек. Также сюда относятся вина из прохладных регионов Нового Света - это Шардоне из чилийских долин Касабланка, Сан Антонио и Лейда, из австралийского штата Виктория или Западной Австралии, австрийский Грюнер Вельтлинер, пьемонтский Арнеис.
Стиль 5: сочные "фруктовые" вина
Дальше мы переходим уже к винам характерного выразительного фруктового стиля и полной структуры, которые делаются из сортов винограда с богатой ароматикой. К этой категории относятся Совиньон Блан из тёплого климата, например с Северного острова Новой Зеландии или чилийской долины Кольчагуа, тот же самый сорт из пригородов Сан Франциско - долины Ливермор или северной Италии. Кроме Совиньон Блана к этому стилю относится вина из сорта Вердехо из испанской Руэды, сорт Верментино с итальянской Сардинии или Тосканы, вина Луганы с берегов озера Гарда, французские Вионье из Долины Роны, а также Кортезе (Гави) из итальянского Пьемонта.
Стиль 6: выразительный "овощной" стиль
Но Cовиньон Блан имеет, как многие знают, не одно лицо - иногда в холодном климате он может проявлять очень яркие овощные тона, ноты зеленого болгарского перца, лечо, фасоли, зеленого горошка. Броские, исключительно интенсивные. Таков, зачастую, Совиньон Блан из долины Мальборо и Кентерберри с Южного острова Новой Зеландии, самые высокогорные Совиньоны из итальянского Трентино - Альто-Адидже, самые "холодные" вина этого сорта из Австрии, а также из туманной и очень прохладный долины Касабланка из Чили.
Стиль 7: маслянистые "ванильные" бочковые вина
А теперь сфокусируемся на плотности и мощи вкуса и аромата, для чего прибегнем к выдержке вина в дубовых бочках, желательно новых. Мы получим очень полные, сладковатые в аромате, ванильные, пряные, слегка карамельные и весьма плотные вина. Для знакомства с этим стилем подойдут Шардоне из аргентинской Мендосы, ставшие нарицательными Шардоне из долин Сонома и Напа Северного побережья Калифорнии, мощные Шардоне Аделаидских холмов и долины Иден из Южной Австралии, Шардоне из зоны Хокс Бэй в Новой Зеландии. Кроме того сюда же относятся многие вина из этого сорта сделанные в итальянском Пьемонте, чилийской долине Кольчагуа и, в более тонком и изящном исполнении - конечно же во французской Бургундии (в которой все не столь однозначно и вариантов стилистики может быть множество).
Стиль 8: предельно "парфюмированные" белые вина
Но даже сильно "дубовый" Шардоне - это еще не предел концентрации ароматов. В мировом виноделии существует группа сортов, которые принято называть ароматическими - это различные Мускаты, аргентинский Торронтес, греческий Мосхофилеро и, конечно же, "международный" Гевюрцтраминер. Море роз, ландышей, флердоранжа, экзотических фруктов и белого молотого перца! Для знакомства с этим стилем хорошо подойдут вина из французского Эльзаса, итальянского Трентино - Альто-Адидже, Новой Зеландии, американского штата Вашингтон.
Стиль 9: выдержанные "бензольные" вина
До этого момента мы говорили в основном о молодых винах. Но кроме молодых вин некоторые стили вина белого вина можно попробовать только в очень выдержанных и зрелых винах. Самым ярким и принципиальным сортов, который обязательно нужно пробовать в весьма зрелом возрасте является сорт Рислинг - дело в том, что в нем с возрастом накапливаются весьма специфические ноты аромата, напоминающие оттенки шифера, рубероида, гудрона, нефти, керосина, талька, парафина и им подобные. Все эти оттенки называют общим словом "бензольные тона" и Рислинг с вот такими вот выразительными мощными и необычными нотами - это ещё один совершенно неповторимый и яркий стиль. Он нравится не всем, но если вы с ним не знакомы, то вы не можете в полной мере претендовать на то, что вы пробовали все принципиально важные стили белых вин. Кроме Рислинга очень сложные и неожиданные тона выдержки накапливают сорта Семильон, который особенно ярок если происходит из Австралии, и Гарнача Бланка из Испании - эти два сорта при достижении возраста в 5-7 лет дают в аромате весьма характерные сухофрукты и тёмный мёд,а также очень своеобразные оттенки воска, перги, прополиса, травянистые и цветочные ноты сухого гербария, тона старой библиотеки, немножечко церковных благовоний, ладана и прочих пряностей.
Стиль 10: оксидативно "сухофруктные" вина
Чрезвычайно важный стиль, который представляется мне обязательным для знакомства - это тот самый классический оксидативный старый стиль, который, наверное, лучше всего представлен старыми белыми винами Риохи, в какой-то степени выдержанным белым Бордо и, конечно же, доброй зрелой Бургундией - ферментированные и выдержанные в бочках, с долгой бутылочной выдержкой от 2-3 до 10 и более лет, абрикосово-кураговые, медовые, ванильные и сухофруктные Шардоне, белые вина долины Роны, белые вина сицилийской Этны - этот список можно продолжать и продолжать.
Стиль 11: "миндально-йодистые" вина биологического старения
Это редкий представитель мира белых вин - обычно под пленкой специального вида дрожжей, которая формирует специфический аромат этого типа вин выдерживается сухой крепленый херес "фино". Но кроме него есть еще и два очень редких, но очень ярких вина - это белые сухие вина Жюры из сорта Саваньин и некрепленые белые вина из сорта Педро Хименес испанской Монтильи-Мориллеса. Море грибных и йодистых нот, ромашкового чая, морского прибоя, миндаля - все это характерные и запоминающиеся черты этого стиля.
Стиль 12: новомодные "оранжевые" вина
Ну и последним, двенадцатым стилем, который я назову среди обязательных к знакомству, является стиль, который стал популярным и модным строго в последнее время - это стиль который называется в английском языке "скин контакт вайн". В русский язык его название вошло как "оранжевые вина" - это белые вина, ферментированные "по красному", когда виноград не отжимают сразу, перед началом брожения, а просто раздавливают ягоды и оставляют сок в полном контакте со шкурками винограда. В итоге получаются вина насыщенно янтарного, яркого апельсинового цвета, часто с высоким уровнем кислотности, весьма танинные, часто более терпкие даже чем красные.
Теперь вы можете пробежать глазами названия параграфов и понять для себя, насколько хорошо вы знакомы с белыми винами мира. Есть еще над чем работать?
Терапевт. Это не врач, это менеджер. Он понятия не имеет, как вас лечить, но может сказать, кто это знает. Если знает, кто это знает. Но не факт, что тот, кого он знает, знает, как вас лечить. В общем, несмотря на то, что медицина шагнула далеко вперед, надежда остается по прежнему только на бога, которого, как известно, отменили еще в 1917 году.
Хирург Хирург он как сапер. Ошибается только один раз. Правда если сапер ошибается только один раз в своей жизни, то хирург ошибается только один раз в вашей жизни. Даже если после ошибки хирурга вам удалось сохранить жизнь, поверьте, она такая вам на хрен не нужна. Как и сапер, хирург руководствуется не накопленной информацией, а интуицией. И в этом наше счастье, поскольку в медицине интуиция по-прежнему куда надежнее.
Оториноларинголог У этих врачей явный комплекс неполноценности. Сначала их называли ухогорлоносами. Но это им показалось несерьезным. Тогда их стали называть ЛОР-врачами. Но и этого им показалось мало. Теперь они объединились с логопедами, поскольку без помощи логопедов люди произносить их новое название не могут. Да и, честно говоря, не очень-то и хотят. Наиболее существенная помощь от этих врачей, это когда вы, наконец, без слухового аппарата сможете с первого раза расслышать название его профессии. Оно вам надо?
Стоматолог Иногда, чтобы их сразу не распознали, они называют себя дантистами. Самые страшные врачи. Одно счастье, количество общений с ними у среднестатистического человека ограничено 32 визитами. А для тех, у кого нет зубов мудрости – 28 визитами. А ведь умные люди всегда говорили, что дуракам живется намного легче (на 12,5%). Так что решайте сами.
Окулист Этим тоже показалось мало и они стали называть себя офтальмологами. Люди крайне неприятные, поскольку всегда хотят, чтобы вы видели то, на что глаза бы ваши не смотрели.
Гинеколог Самые обделенные врачи, поскольку у них в два раза меньше пациентов, чем у остальных эскулапов. Интересно, что среди гинекологов практически не встречаются мужчины. Поскольку в гинекологии все строго – либо ты мужчина, либо гинеколог. Попробуйте 61320 часов в год смотреть на самые интересные части тела женщин, и гарантирую вам, вы быстро потеряете к ним интерес. Нельзя превращать хобби в профессию.
Акушер. Самый уважаемый в медицине врач. Именно он обеспечивает работой всех остальных врачей.
Венеролог Единственный врач, встреча с которым сопряжена хоть с чем-то приятным. Да уж... Например, с приятными воспоминаниями. Это самый честный врач. Он – единственный, кому вы платите за удовольствие, даже несмотря на то, что это удовольствие доставил вам не он.
Невролог Теоретически может вылечить все, кроме разве сифилиса и переломов, поскольку все болезни от нервов. Практически же абсолютно бесполезен. Он может вам сказать «Не нервничайте», но так же как и вы понятие не имеет, как этого добиться.
Аллерголог Самый проактивный врач. Он абсолютно уверен (и надо отметить, у него есть на то основания), что все жители этой планеты являются его пациентами. Поэтому главная цель в жизни аллерголога – это найти у вас аллергию, пока вы от него не сбежали.
Психиатр А это, соответственно, самый пропассивный врач. В отличие от аллерголога, он только смутно догадывается, что все жители этой планеты являются его пациентами, и не хочет посмотреть правде в лицо. Пользы от него тоже немного. Ну скажите, разве может больному помочь другой больной? Интересно, что психотерапевты существуют, а вот психохирурги так и не появились.
Дерматолог При всей неблагозвучности – очень нужный, хотя и очень несчастный врач. Вам интересно, кто живет у вас под ободком унитаза и в других труднодоступных местах? Нет? А он каждого этого гада должен знать в лицо!
Проктолог Несмотря на то, что медицина шагнула далеко вперед, эти врачи как были, так и остались в заднице.
Анестезиолог Очень полезный врач. Он делает так, чтобы вы ничего не почувствовали. А если он ошибется – это даже к лучшему. В этом случае вы уже больше ничего не будете чувствовать.
Гастроэнтеролог и диетолог Абсолютно бесполезный продукт прогресса. До середины XX века их вполне успешно заменяли Соловки, Воркута, Сахалин и другие места естественного лечения.
Иммунолог Самый ленивый врач. Он всегда пытается переложить свою работу на ваш организм.
Пульмонолог Единственный врач, который не разделяет заблуждение своих коллег, что если бросить курить, все болезни пройдут сами собой.
Уролог Врач с очень узким кругозором. В отличие от сексопатолога и сексолога рассматривает ваше мужское достоинство исключительно с точки зрения его побочных функций.
Кардиолог Абсолютно лишен романтических чувств. Только у него слова «Сердце, тебе не хочется покоя» не вызывают никаких положительных эмоций.
Травматолог Эти врачи очень любят спорт. Практически всего его виды, за исключением разве шахмат.
Фармаколог Если большинство врачей занимаются тем, чтобы удалить из организма лишнее, то фармакологии наоборот пытаются запихнуть в него всего и побольше. И с интересом потом наблюдают, каким образом организм будет реагировать на издевательства над собой.
Токсиколог Благодаря фармакологам этот врач никогда не останется без работы. По крайней мере, на текущий момент фармакологии обеспечивают его работой более чем на 50%.
Вирусолог Очень общительный врач. Именно ему выпало на долю редкое счастье практически ежедневно расширять круг своего общения.
Эпидемиолог Тот же вирусолог, но страдающий манией величия.
Педиатр Очень жестокие люди. Если все остальные врачи достают нас уже в сознательном возрасте, то педиатры готовы лишить нас самых прекрасных дней нашей жизни – нашего детства.
Ортопед Устраняет последствия издевательств человека над собственным организмом. Если педиатр начинает интересоваться нами с момента рождения, то в руки к ортопеду мы обычно попадаем сразу после поступления в школу. В этом плане ортопеды тесно сотрудничают с министерством образования.
Ревматолог Самый безобидный врач. Обычно он приходит к вам, когда с вас уже песок сыпется и вам уже безразличны последствия его лечения.
Рентгенолог Эти врачи отлично устроились. Сначала они изучают вас рентгеновскими лучами. Потом изучают негативные последствия своего предыдущего изучения. Рентгенолог в принципе может узнать о вас много интересного, если у него вдруг неожиданно появится желание воспользоваться плодами своего труда.
Сомнолог Что, никогда не слышали? А зря. Эти врачи готовы покуситься на самое святое, что у нас есть – на сон. Чисто теоретические – очень полезная и даже универсальная отрасль медицины. Только сомнологи додумались, что порою достаточно вылечить одного человека от храпа, чтобы спасти от бессонницы всех, кто его окружает. Но вот как вылечить этого одного, они додуматься еще не успели.
Физиотерапевт По-моему это просто садист. Он почему-то уверен, что если вас хорошенько шарахнуть током, то вам станет намного легче. Видимо в детстве эти врачи любили совать пальцы в розетку, и теперь считают, что и все остальные должны пройти через мучения, которые когда-то испытали они.
Эметолог А вы думали это все так просто — с вечера нажрались и ну всю ночь обнимать унитаз. А вот и нет. Эметолог с научной точки зрения точно знает, от чего вас тошнит. Даже если ваш тошнит от него самого.
Эндоскопист Этого медом не корми, дай потыкать в вас всякой хренью, назначение которой порой неизвестно ему самому. Впрочем, метод вполне действенен. Организм очень часто вместе с эндоскопом сам извергает из себя все то, что эндоскопист из него и пытался получить.
Судмедэксперт Единственный врач, который даже не пытается сделать вид, что он кого-то лечит.
Патологоанатом Самый высокопрофессиональный из всех врачей. Только он точно знает, что и отчего у вас болело.