О цифроделимости: восьмизначный случай
Не пиша компьютерной программы и не пользуясь катькулятором, докажите, что никакое восьмизначное число с попарно различными десятичными цифрами не делится на произведение всех своих цифр.
Не пиша компьютерной программы и не пользуясь катькулятором, докажите, что никакое восьмизначное число с попарно различными десятичными цифрами не делится на произведение всех своих цифр.
На доске написаны числа 9, 11, 13, 15, 17, 19. За ход разрешается стереть любые два числа, написав вместо них их сумму, уменьшенную на единицу. Через несколько таких ходов на доске окажется одно число. Каким оно может быть?
Олимпиадная задача для 11(?) класса, но это не точно.
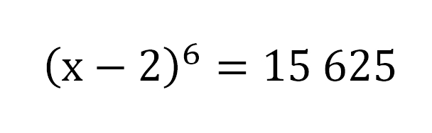
Нужно найти все корни, в комплексных числах.
Не очень сложная, но корней должно быть 6.
Ход решения:
Принимаем t = (x-2). Учитывая, что t^6 = (t^3)^2, а так же формулы разности квадратов и суммы и разности кубов получаем (t-5)(t^2 + 5*t + 25)(t+5)(t^2 - 5*t + 25) = 0. Тут уже легко, находим 6 значений t, из них 6 значений x.
Лучшие нейросети для студентов и школьников перестали быть экзотикой — сегодня это реальные помощники, которые умеют объяснять сложные темы, формировать конспекты, создавать презентации и проверять решения. ИИ для учебы экономят время, повышают качество подготовки и позволяют глубже понимать материал без лишнего стресса.
Я отобрал 25 различных ИИ, которые действительно полезны: от универсальных платформ до узкоспециализированных инструментов. Каждый из них по-своему помогает в учебе — от генерации идей для рефератов, пошагового разбора задач по фото, до генерации полноценных курсовых и дипломных работ. Ниже — подробные обзоры, с акцентом на конкретные возможности и сценарии использования.
🎓 Kampus.ai — лучшая учебная нейросеть, которая помогает студентам и школьникам создавать конспекты, рефераты, курсовые работы и презентации, может решать задачи по фото. Обучена на учебных материалах, способна выдавать отличные работы с 1 захода в точности по требованиям ГОСТ.
🎓 ChatGPT-5 — чат-ИИ нового поколения, объясняющий сложные темы простым языком, генерирующий тексты и работающий как онлайн-репетитор.
🎓 Presentation Plus Bot — инструмент для автоматической генерации презентаций со структурой, картинками и оформлением под стандарты учебных проектов.
🎓 Deeplom — сервис для студентов вузов, который помогает составлять дипломы и курсовые, подбирая структуру, источники и формируя текст с уникальностью.
Если нет времени разбираться с нейросетями, можно обратиться к профессионалам: на Автор24 легко найти опытных специалистов и консультантов для работы над сложными темами, а Homework предлагает экспертную поддержку и подробные разборы заданий для быстрого понимания материала.
Официальный сайт: https://kampus.ai/
Kampus.ai — это полноценная учебная экосистема, объединяющая в одном сервисе конспекты, сочинения, рефераты, курсовые, генерацию презентаций, решение задач по фото и даже помощь с кодом. Сервис помогает студентам и школьникам выстроить процесс учёбы — от поиска материала до финальной правки. Здесь можно получить структуру работы, оформление по ГОСТ, проверку уникальности, подобрать список литературы и оформить защитную презентацию.
Благодаря встроенной памяти и персонализации Kampus подстраивается под профиль пользователя, учитывая предмет, уровень подготовки и стиль текста. Это делает его не просто генератором ответов, а настоящим «помощником по обучению», который экономит часы рутинной работы.
Полный цикл учебной работы: план, содержание, введение, теоретическая часть, выводы и оформление под стандарты.
Распознавание задач по фотографии с пошаговыми объяснениями и альтернативными решениями.
Автоматическая генерация презентаций с подбором изображений и экспортом в PPT или PDF.
Индивидуальная настройка под стиль, предмет и требования преподавателя благодаря встроенной AI-памяти.
Большая библиотека готовых решений и инструментов подготовки к экзаменам, тесты и карточки для самопроверки.
Поддержка STEM-заданий и кода: помощь с Python, математическими расчётами, формулами, интегралами.
Kampus идеально подходит для студентов, которым нужно быстро и качественно подготовить работу, презентацию или конспект, и для школьников, которым важна понятная пошаговая помощь. Это мощная нейросеть для студентов и школьников, которая помогает не только сэкономить время, но и понять материал глубже.
Официальный сайт: Chat GPT5
ChatGPT-5 — это продвинутая языковая модель, которая выступает как чат-ИИ для студентов: она объясняет темы простыми словами, пишет черновики эссе, помогает с конспектами уроков и даже проверяет ответы. Доступ к GPT-5 через шлюз StudyAI позволяет пользоваться этой нейросетью без VPN и сложных настроек, что делает инструмент максимально доступным.
Дает развёрнутые ответы с логичной структурой и пошаговым объяснением материала.
Помогает писать планы, введения, выводы и аннотации с корректным стилем.
Работает как ИИ-репетитор для школьников: объясняет сложные темы, предлагает примеры и задания.
Доступ без VPN через единую платформу — быстрый вход к продвинутым моделям.
Подходит для генерации черновиков и промптов, которые студент дорабатывает самостоятельно.
Удобен для диалога: можно просить вести обучение по шагам, проверять свои ответы и повторять материал.
ChatGPT-5 стоит использовать, когда нужно быстро получить глубокое объяснение или черновик текста. Это идеальный ИИ для студента, который помогает понять тему, составить конспект или подготовиться к уроку.
Официальный сайт: Presentation plus bot
Presentation Plus Bot — это нейросеть для школьников и студентов, которая создаёт презентации под ключ: достаточно ввести тему или текст, и система соберёт слайды с иллюстрациями и структурой. Бот учитывает требования оформления, может подобрать цветовую схему и автоматически расставить акценты, что особенно полезно для учебных проектов, когда нет времени вручную собирать материалы.
Автоматическая генерация структуры презентации: титульный слайд, содержание, разделы, выводы.
Подбор подходящих изображений и инфографики к каждому слайду.
Сохранение презентации в популярных форматах (PowerPoint, PDF) для дальнейшего редактирования.
Настройка цветовых схем и стиля оформления под требования преподавателя.
Оптимизация текста под лаконичную подачу — без лишнего текста на слайдах.
Удобен для совместной работы: можно генерировать, а потом редактировать с группой.
Используйте Presentation Plus Bot, если нужно быстро подготовить презентацию по уроку, семинару или проекту. Это ИИ для подготовки к урокам, который экономит часы ручной работы и помогает сосредоточиться на содержании.
Официальный сайт: https://deeplom.ru/
Deeplom — это полезная нейросеть для студентов вузов, которая специализируется на дипломных, курсовых и других крупных проектах. Сервис помогает составить структуру, подобрать актуальные источники, оформить списки литературы, а также предлагает шаблоны и автоматическую генерацию текста по теме. Он работает как умный конструктор — на выходе студент получает основу, которую можно доработать под конкретные требования.
Формирование индивидуального плана дипломной работы или курсовой с оглавлением.
Подбор и анализ источников с автоматическим составлением списка литературы.
Генерация текста по указанным разделам с учетом академического стиля.
Инструменты проверки уникальности и корректировки текста.
Поддержка поэтапного написания — удобно согласовывать с научным руководителем.
Подходит для студентов, которым нужно ускорить старт работы и структурировать проект.
Deeplom.ru особенно ценен, когда требуется нейросеть для помощи студентам в крупных проектах: он позволяет получить готовый скелет работы и сосредоточиться на исследованиях и доработке деталей.
Официальный сайт: Reshatel Bot
Reshatel TOE Bot — это ИИ-решатель для школьников и студентов, который позволяет отправить фото задачи и получить пошаговое решение. Сервис распознает текст, формулы, схемы и возвращает не просто ответ, а объяснение, как прийти к решению. Подходит для математики, физики, химии и других дисциплин, где важен процесс.
Распознавание фотографий заданий с формулами, чертежами и текстами.
Пошаговое объяснение решения, чтобы можно было понять логику.
Поддержка разных дисциплин — от алгебры до органической химии.
Удобная работа через веб и телеграм-бот: можно отправлять фото прямо со смартфона.
История решенных задач — легко вернуться к предыдущим примерам.
Подходит как ИИ-репетитор для школьников: помогает учиться решать, а не просто списывать.
Reshatel TOE Bot лучше всего использовать как нейросеть для уроков, когда важно разобраться в материале: сервис помогает не только получить ответ, но и понять ход решения.
Официальный сайт: AI Mentor
AI Mentor — нейросеть для студентов и школьников, которая работает как персональный репетитор: задаёшь тему, получаешь пошаговое разъяснение, примеры, упражнения и рекомендации для дальнейшего углубления. Можно углубляться в тему, задавать любые вопросы, и система адаптируется под уровень пользователя, помогая выстроить процесс обучения более органично. Такой подход делает её особенно полезной, когда нужно разобраться в сложной теме, а не просто получить ответ.
Погружение в тему с нуля: объяснения основных понятий, терминов и ключевых связей.
Примеры и аналогии для лучшего понимания абстрактных идей и теорий.
Возможность задавать уточняющие вопросы и получать развернутые ответы, как с репетитором.
Интерактивные рекомендации: чтение, видео, задания — всё под одну тему.
Подходит для подготовки к контрольным, экзаменам и для самостоятельного углубления материала.
Работает как нейросеть для школьников и студентов, когда сложно разобраться самостоятельно — Mentor упрощает сложное.
Если тема вызывает сопротивление или кажется запутанной, AI Mentor — отличный выбор. Он поможет выстроить последовательность обучения и не даст заблудиться в деталях.
Официальный сайт: https://rugpt.io/
RuGPT — мощная нейросеть для студентов, ориентированная на генерацию текстов, креативные задания, написание сочинений и публикаций. Она хорошо справляется со стилистическими задачами, адаптируется к русской академической и художественной речи, позволяет задавать стиль и формат. Часто используется, когда нужно создать эссе, литературный анализ или адаптировать материалы под требования преподавателя. У неё нет всех репетиторских функций, но сила — в гибкости и глубоком понимании русского языка.
Генерация эссе, литературного анализа, рассказов и описаний с учётом стиля и жанра.
Поддержка академической речи: цитирование, сложные фразы, формальный стиль.
Написание и переработка больших текстов — становится удобным при курсовых и исследованиях.
Креативный подход: помогает с художественными заданиями, публикациями, блогами.
Настройка длины и сложности текста в зависимости от школьника или студента.
Подходит, когда важен язык, стиль, аргументация — идеальный нейросеть для студентов, работающих с литературой или гуманитарными предметами.
Используйте RuGPT, когда нужно уйти от шаблонов, раскрыть тему глубже, показать аргументы и стилистику. Если задание — сочинение или эссе, это один из лучших вариантов.
Официальный сайт: https://chatinfo.ru
ChatInfo.ru — это общедоступный чат-бот на базе GPT-4, который помогает студентам и школьникам генерировать тексты, отвечать на вопросы, готовить доклады и рефераты, писать конспекты. Интерфейс минималистичен, при этом есть много режимов: от составления списка литературы до помощи с кодом и решением задач. Он не специализируется на узкой теме, но отлично справляется как универсальный помощник для учебы.
Режимы: сочинение, доклад, список литературы, реферат, улучшение текста, проверка орфографии и пунктуации.
Работа с кодом, с математикой — пользователи могут просить объяснить формулы или примеры заданий.
История чата позволяет вернуться к предыдущим ответам — удобно, если в процессе учебы возвращаешься к теме.
Подходит для быстрой помощи: когда нужно срочно конспект, краткое изложение или план урока.
Инструмент для правок текста: улучшение, выравнивание стиля, повышение читаемости.
Универсальная нейросеть для студентов и школьников, когда нужен текст или ответы прямо сейчас — без сложных настроек.
ChatInfo.ru стоит использовать при подготовке домашних заданий, когда важен быстрый и структурированный ответ. Это хороший помощник-ИИ для всех тех случаев, когда надо написать текст, но нет времени на долгую проработку.
Официальный сайт: https://education.yandex.ru/tutor/go
Яндекс Учебник предлагает бесплатный ИИ-помощник для школьников, ориентирующийся на задачи по математике (2-11 классы). Он не просто выдаёт готовый ответ, а требует участия: распознаёт задачи, учит логике, показывает шаги решения, помогает понять теорию. Это не просто нейросеть для школьников, а инструмент, который стремится развить навык мышления, а не дать решение на блюдечке.
Решение задач с этапами: помогает продумать ход, а не просто посмотреть ответ.
Работа через фото или математическую клавиатуру — удобно, если нет возможности записать текст вручную.
Поддерживает школьную программу по математике, охватывая многие классы — 2-11.
Не даёт готовых ответов в некоторых областях (например, геометрия, функции), пока развивается дальше.
Полностью бесплатен — важный плюс при регулярном использовании.
Полезен как нейросеть для студентов-репетиторов или старшеклассников, поясняющих младшим или готовящихся к экзаменам.
Если ваша цель — разобраться в том, как решаются задачи, закрепить понимание формул и приёмов, Яндекс Учебник идеален. Он помогает, когда важен путь к ответу, а не просто результат.
Официальный сайт: https://nicebot.ru/
NiceBot — нейросеть онлайн, универсальный помощник, позволяющий решать задачи, писать тексты, редактировать рефераты и статьи, делать рерайт — одним словом, работать с текстом и учебными материалами. Нейросеть работает в разных режимах: «сочинение», «решение задачи», «реферат», «продолжить текст» и так далее. Есть бесплатный доступ с ограничениями запросов, а для более активного использования — премиум-режим. Это хороший вариант, если нужен универсальный инструмент-чат ИИ, способный гибко адаптироваться под разные задачи.
Разнообразие режимов: реферат, сочинение, тест, код, исправление текста и многое другое.
Нейросеть на русском языке, поддержка формального и неформального стиля в зависимости от задачи.
Работа с редактурой текста: улучшение, сокращение, переход от черновика к готовому варианту.
Поддержка обсуждения: задаёшь запрос, получаешь текст, потом корректируешь вместе с ботом.
Есть бесплатная база запросов и платный режим с расширенными возможностями.
Полезна в качестве нейросеть для конспектов урока, подготовки к тестам и срочных домашних заданий.
NiceBot стоит выбрать, когда требуется гибкость и разнообразие задач — тексты, презентации, домашка. Если нужно нечто большее, чем просто решение задачи или формула — NiceBot может стать «рабочей лошадкой» для студента.
Ниже — 11 полезных нейросетей и 5 сервисов, которые реально помогают с подготовкой домашних заданий, конспектов, перевода, распознавания речи и улучшением текста. Это не рейтинг — просто подборка рабочих инструментов, которые стоит попробовать.
ChatGPTPoRusskiBot (Telegram-бот). Удобный мессенджер-бот для быстрых ответов, генерации идей и подготовки черновиков прямо в Telegram; идеально подходит для оперативных вопросов и небольших домашних заданий. Минус — не всегда понятно, какая модель используется под капотом, поэтому уровень глубины и точности ответов может варьироваться.
BotProfi. Русскоязычная платформа для генерации текстов и помощи в учёбе с готовыми режимами под рефераты, сочинения и творческие задания; имеет понятный интерфейс и бесплатный стартовый доступ. Ограничения бесплатного тарифа и возможные лимиты по объёму запросов означают, что для больших работ может потребоваться платная подписка.
DeepSeek. Многофункциональный ассистент с поддержкой нескольких моделей, умеет генерировать тексты, объяснять сложные темы и работать с кодом; обеспечивает хорошую мультиязычную поддержку, включая русский. Временами некоторые функции могут быть ограничены по доступу или работать медленнее при высокой нагрузке.
RoboGPT. Сервис с набором шаблонов для написания статей, писем и SEO-контента — удобно для создания больших текстов и быстрых черновиков. Качество итогового текста сильно зависит от выбранного шаблона и корректности промпта, а для реальных академических работ потребуются правки и проверка фактов.
GPT-Chatbot.ru. Платформа, где можно выбирать разные модели и общаться на русском без регистрации — удобно для тестирования разных подходов и быстрого получения ответов. Однако названия версий моделей иногда носят маркетинговый характер, поэтому не всегда ясно, насколько «новая» или точная модель используется.
Studgen. Сайт позиционируется как генератор академических работ (рефератов, курсовых, дипломов) на основе GPT, с заявлением об уникальности и соответствии академическим стандартам. Плюсы: может сэкономить время, особенно если тема уже понятна, и нужен структурированный текст; минусы: риск низкой глубины анализа, возможные проблемы с требованиями конкретного преподавателя, а также те, кто против «автоматического написания».
AiBro. Универсальный инструмент для генерации текста и изображений, поддерживает множество языков, работает без регистрации и VPN, имеет бесплатный пробный доступ. Плюсы: гибкость (разные форматы: текст, перевод, код, изображения), удобен для креативных задач и малого объёма; минусы: бесплатный доступ может быть ограничен по объёму или качеству, и автоматически сгенерированный контент скорее всего потребует редактирования и проверки источников.
TextPlus. Сервис-нейросеть для текстов на русском: генерация, рерайт, создание эссе и постов, работа в разных жанрах. Плюсы: удобство, скорость, хорош для черновиков и идей, возможность адаптировать тон и стиль; минусы: итоговый текст может требовать правок, особенно стильных или фактологических, возможны ограничения бесплатного тарифа.
Бегемот.ai. Платформа для проектов: курсовых, рефератов, докладов, сочинений; показывает список последних работ, есть экспорт в Word/PDF, иллюстрации, список литературы. Плюсы: удобно, что уже есть шаблонные форматы, визуальные и структурные элементы (разделы, главы, презентация); минусы: не всегда гарантировано качество источников, возможны ограничения по уникальности, платные функции для полного оформления, оформление внешнего вида может не соответствовать требованиям преподавателя.
Aitxt. Генератор текста на русском: статьи, письма, научные тексты, переводы, рерайт и дополнение текста. Плюсы: позволяет получить быстро черновики, идеи, улучшить стиль, хорошо работает для небольших по объёму задач; минусы: генерация может быть шаблонной, важно перепроверять факты и адаптировать смысл под задачу, бесплатный доступ при больших заданиях может быть ограничен.
Sensei-Solutions. (Не удалось загрузить сайт — возможно временная проблема или ограниченный доступ.) Плюсы: — ; минусы: нет надёжной информации, пока не видно, что именно предлагает, качество и условия неизвестны.
Text.ru — сервис для проверки уникальности, SEO-анализа и базовой редакции текста; в нём есть и простые нейросетевые инструменты для правки материалов. Полезен для студентов, которые готовят отчёты и хотят проверить уникальность и качество текста.
Антиплагиат — официальная российская система для поиска текстовых заимствований, которую используют в вузах. Рекомендуется для обязательной проверки курсовых и дипломных работ перед сдачей.
Главред — сервис, который «чистит» русский текст от словесного мусора и советует более точные формулировки. Отличный инструмент для сокращения и улучшения стиля эссе и докладов.
PROMT.One (онлайн-переводчик) — российский нейронный переводчик и словарь с поддержкой русского языка и офлайн-режимом. Выручит при переводе статей и при изучении иностранных источников.
Stepik — русскоязычная образовательная платформа с интерактивными курсами и автопроверкой заданий. Идеально подходит для подтягивания программирования, математики и профильных навыков шаг за шагом.
Нейросеть для уроков — это не «волшебная палочка», а инструмент, который помогает ускорять рутину, структурировать большие объёмы информации и объяснять сложное понятным языком. В этом материале — реальные приёмы, которые экономят время и повышают качество подготовки: от написания эссе до разбора задачи по фото.
Смотрите не на громкие обещания, а на конкретные возможности. Хорошая нейросеть умеет объяснять шаги решения, делать короткие конспекты, помогать с презентациями, распознавать фото с формулами и оформлять работу по требованиям вуза. Одни сервисы подходят для повторения материала, другие — для редактирования текста или создания презентаций. Понимание своих задач помогает использовать ИИ осознанно и эффективно.
Удобнее всего разделить их по функциям: генерация текста и оформление (Kampus ai, Deeplom ru), интерактивное обучение и наставничество (AI Mentor, ChatGPT-5 через шлюзы), решение задач по фото (Reshatel TOE Bot), быстрые ответы и правки (ChatInfo, NiceBot), а для школьников — Яндекс Учебник и специализированные репетиторские боты. Один сервис может делать черновик, другой — проверять формулы, третий — собирать презентацию для защиты проекта.
Чтобы получить качественный конспект от ИИ, формулируйте запрос чётко: укажите формат (пункты), уровень (школа или вуз), объём и темы. Пример: «Сделай конспект по теме «Электрический ток» для 9-го класса, 8 пунктов, в каждом — формула, краткое объяснение и пример». Такой запрос даёт удобный и сжатый текст для повторения.
Хорошо работает цикл «вопрос — объяснение — тренировка»: задайте вопрос для проверки знаний, попросите объяснить шаги решения, затем — несколько похожих задач для самостоятельной работы. Делайте короткие сессии по 20–30 минут — это эффективнее, чем один длинный час. Для математики и физики используйте ботов с распознаванием фото, чтобы получать поэтапные пояснения.
Идеальный ИИ — это не один инструмент (хотя Kampus претендует), а цепочка: 1) черновик или тезисы; 2) проверка фактов и объяснения; 3) оформление для сдачи (структура, ссылки, презентация). Например: черновик — ChatGPT-5 → проверка фактов — Kampus → оформление — Kampus/Deeplom → презентация — Presentation Plus Bot.
Проверяйте факты: ИИ может ошибаться, сверяйтесь с источниками.
Используйте ИИ как помощника, а не для списывания: просите объяснения.
Делайте черновики сами — ИИ ускоряет работу, но не заменяет мышление.
Сохраняйте историю сессий: удобно возвращаться к идеям.
Делите большие задания на этапы и работайте шаг за шагом.
Соблюдайте правила вашего учебного заведения: правильно оформляйте ссылки и упоминания ИИ.
Не полагайтесь только на автоматические проверки уникальности — редактируйте сами.
Учитесь писать точные запросы — от этого зависит качество ответа.
Не загружайте личные данные в нейросети.
Интегрируйте ИИ в повторение — карточки, тесты, интервалы.
Конспект: «Напиши конспект по теме «Клеточное деление» для 10-го класса, 7 пунктов, с ключевыми терминами».
Шаги задачи: «Реши задачу по теме «Динамика» и объясни решение по шагам».
Отзыв: «Оцени текст ниже и предложи 3 пути улучшения».
Тесты: «Сгенерируй 10 вопросов с вариантами ответов по теме «Рынок труда»».
Презентация: «Сделай структуру презентации на тему «Искусственный интеллект в образовании», 10 слайдов».
План повторения: «Составь план повторения материала на 4 недели с тестами».
Сначала сформулируйте, что именно непонятно, потом попросите объяснение, затем задания для практики и, наконец, проверку. Такой цикл помогает лучше запоминать материал.
Указывайте, кто вы, что хотите получить и в каком формате. Пример: «Я студент 3 курса. Нужен план раздела диплома, 6 пунктов, 2–3 предложения в каждом».
Просите не только ответ, но и объяснение, альтернативные подходы, типичные ошибки. Это помогает глубже понять тему.
ИИ может ошибаться. Для важных данных требуйте источники и сверяйтесь с официальными публикациями.
Пишите, на каком уровне нужна информация: 7 класс, бакалавриат, преподавательский стиль. Создайте список слабых тем и возвращайтесь к ним через интервалы.
Для предметов с формулами используйте сервисы, которые распознают фото-задачи и дают пошаговое объяснение.
Сначала попросите сделать структуру презентации, затем — сокращённые подписи и реплики для выступления. В конце — список вероятных вопросов и ответов.
Используйте ИИ ответственно, указывайте, где он помог, не выдавайте чужой текст за свой. Это поможет избежать проблем и сохранить репутацию.
Не копируйте готовые тексты — перерабатывайте их, делайте карточки, объясняйте материал другим, применяйте на практике.