DraK0shka
Ответ dercho в «Как думаете, что будет по истечению 30 дневного перемирия?»3
Сайт слегка порезал видео, если кому-то нужна полная версия - добро пожаловать: https://t.me/pozivnoy_kazman/14031
Ответ на пост «Как дед пытается развалить мировую экономику: простое объяснение тарифов Трампа на мемах»3
Про формулу, которой пользовались, вчера отлично написали на канале MarketScreen (https://t.me/marketscreen). Собственно, текст и сама формула ниже.
#тарифы
И еще раз про тарифы.
Многие уже показали эту формулу. Ну и мы покажем. Этим москвичам хорошо – у них еще рабочий день, когда у нас уже нерабочая ночь. Воруют все «молнии».
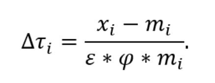
Короче, Администрация торгового представительства США официально опубликовала формулу расчета тарифов. Она на картинке.
ε<0 представляет собой эластичность импорта по отношению к импортным ценам (неважно), φ>0 представляет собой эластичность тарифов к импортным ценам (неважно), m_i>0 - общий объем импорта из страны i, x_i>0 - общий объем экспорта.
В общем, положительное сальдо торгового баланса страны с США делится на общий объем ее экспорта, исходя из данных Бюро переписи населения США за 2024 год. Затем это число делится на два, в результате чего получается ставка тарифа. То, о чём мы вчера вам и рассказали.
Технически, конечно, можно было бы рассчитать ставки для фактических барьеров. Но!
Мог бы. Да неохота!
Но.
«Хотя индивидуальный расчет влияния на дефицит торгового баланса десятков тысяч тарифных, регуляторных, налоговых и других мер политики в каждой стране сложен, если не невозможен, их совокупное влияние можно оценить, рассчитав уровень тарифов, соответствующий снижению дефицита двусторонней торговли до нуля».
Короче, нахер заморачиваться, решили в американских элитах.
А, ну и да. Про непонятные ε и φ.
Для расчета взаимных тарифов используются данные по импорту и экспорту из Бюро переписи населения США за 2024 год. Были выбраны значения параметров ε и φ. Ценовая эластичность спроса на импорт, ε, была установлена на уровне 4. Последние данные свидетельствуют о том, что в долгосрочной перспективе эта эластичность близка к 2 (Boehm et al., 2023), однако оценки этой эластичности варьируются. В целях консервативности были использованы исследования, в которых были обнаружены более высокие эластичности, близкие к 3-4 (например, Broda and Weinstein 2006; Simonovska and Waugh 2014; Soderbery 2018). Эластичность импортных цен по отношению к тарифам, φ, составляет 0,25.
Короче, единичка. И не ебите мозг.
Американцы крутые.
Дополнение:
Они ввели в формулу непонятную сложную хуйню (ε и φ), которую никто в здравом уме не полезет считать. Чтобы всегда можно было сказать, что мы не тупо тариф под долю дефицита подвели. А по факту да, подвели.
Ответ на пост «ТАСС: В Киеве хотят отменить до 90% броней»6
Минутка музыки для этого столика.
Ответ на пост «Хорошему прыгуну член помеха»5
А ведь олимпийцу могло и дважды не повезти.
Видео в комментарий не цеплялось, так что пришлось постом.









