Гидравлические цилиндры. Как работают и какие бывают?
Гидроцилиндры: устройство, принцип работы, расчет и применение в спецтехнике
Современная спецтехника обязана своей мощью и производительностью надежным гидравлическим системам, сердцем которых являются гидроцилиндры. Эти устройства преобразуют энергию потока гидравлической жидкости в механическое движение, обеспечивая работу сложнейших механизмов — от подъема многотонных грузов до точного позиционирования рабочих органов. В данной статье мы подробно рассмотрим конструктивные особенности, принципы работы, методы расчета и практическое применение гидроцилиндров в различных отраслях промышленности и специального машиностроения.
Профессиональный совет: Правильный подбор гидроцилиндра с учетом всех эксплуатационных параметров увеличивает срок службы оборудования на 30-40% и значительно снижает эксплуатационные расходы. Всегда консультируйтесь со специалистами при выборе гидравлических компонентов.
Устройство и принцип работы гидравлического цилиндра
Гидравлический цилиндр представляет собой объемный двигатель возвратно-поступательного действия, преобразующий энергию потока рабочей жидкости под давлением в механическое перемещение выходного звена. Конструктивная простота и высокая надежность сделали этот тип привода незаменимым в ситуациях, где требуется создание значительных усилий при ограниченных габаритных размерах.
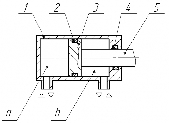
Основными конструктивными элементами гидроцилиндра (см. Рисунок 1) являются:
Гильза (1) — основной корпус цилиндра, представляющий собой трубу с тщательно обработанной внутренней поверхностью
Поршень (3) — подвижный элемент, разделяющий внутреннее пространство цилиндра на две изолированные полости
Шток (5) — элемент, передающий усилие от поршня к рабочему органу оборудования
Уплотнительные системы (2, 4) — комплект манжет, колец и других уплотнений, предотвращающих утечки рабочей жидкости
Крышка задняя — элемент, закрывающий гильзу со стороны, противоположной штоку
Проушины или фланцы — элементы крепления цилиндра к раме машины и рабочему оборудованию
Принцип работы основан на разности давлений в поршневой (a) и штоковой (b) полостях. При подаче жидкости под давлением в поршневую полость происходит выдвижение штока (прямой ход), а при подаче в штоковую полость — его втягивание (обратный ход). Переключение потоков жидкости осуществляется с помощью гидрораспределителя.
Классификация гидроцилиндров по различным признакам
Многообразие применений гидроцилиндров обусловило появление различных конструктивных исполнений, оптимально подходящих для конкретных задач. Классификация позволяет систематизировать знания и правильно подбирать оборудование для конкретных условий эксплуатации.
Расчет основных параметров гидроцилиндров
Проектирование гидравлических систем требует точного расчета параметров гидроцилиндров, что обеспечивает их надежную работу в заданных условиях эксплуатации. Рассмотрим методики расчета для различных режимов работы.
Расчет усилия и скорости при выдвижении штока
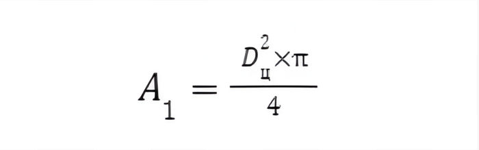
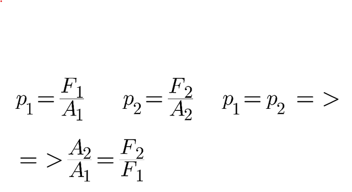
При подаче рабочей жидкости в поршневую полость цилиндра развивается усилие, определяемое эффективной площадью поршня и давлением в системе.
Усилие F1, развиваемое гидроцилиндром при выдвижении штока:
где: A1 – эффективная площадь поршня [м²]
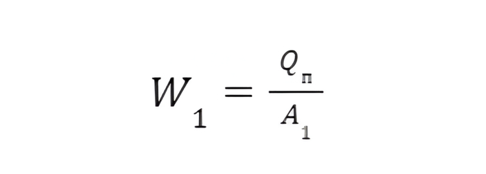
Скорость выдвижения штока W1 определяется расходом жидкости, поступающей в поршневую полость:
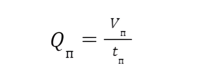
Расход Qп, необходимый для обеспечения заданной скорости:
Расчет усилия и скорости при втягивании штока
При подаче жидкости в штоковую полость эффективная площадь уменьшается на площадь сечения штока, что влияет на развиваемое усилие и скорость движения.
Усилие F2, развиваемое гидроцилиндром при втягивании штока:
где: A2 – эффективная площадь поршня со стороны штоковой полости [м²]
Скорость втягивания штока W2 рассчитывается аналогично:
Расход Qшт, необходимый для обеспечения заданной скорости втягивания:
Важно! При расчетах необходимо учитывать КПД гидроцилиндра (обычно 0.85-0.95), который зависит от качества изготовления, уплотнений и вязкости рабочей жидкости. Также следует предусматривать запас по усилию 15-20% для компенсации пиковых нагрузок.
Для удобства расчетов вы можете воспользоваться нашим онлайн-калькулятором: Калькулятор подбора гидроцилиндров
Применение гидроцилиндров в спецтехнике и промышленности
Универсальность и надежность гидроцилиндров обусловили их широкое применение в различных отраслях. Рассмотрим наиболее характерные примеры использования.
Строительная и дорожная техника
В экскаваторах, бульдозерах, погрузчиках и другой строительной технике применяются преимущественно поршневые гидроцилиндры двустороннего действия с шарнирным креплением.
Особенности применения:
Работа в условиях высоких ударных нагрузок и загрязнения
Необходимость обеспечения точного позиционирования рабочих органов
Высокие требования к надежности и ремонтопригодности
Широкий диапазон рабочих температур
Телескопические гидроцилиндры в самосвалах
Для подъема кузова самосвалов применяются телескопические гидроцилиндры одностороннего действия, обеспечивающие большой ход при минимальных сложенных габаритах.
Особенности конструкции:
Последовательное выдвижение секций от наибольшего диаметра к наименьшему
Увеличение скорости и уменьшение усилия с выдвижением каждой последующей секции
Возврат под действием силы тяжести без подачи жидкости
Специальные уплотнения, предотвращающие перетечки между секциями
Гидроцилиндры аутригеров (опор)
Для стабилизации кранов, манипуляторов и другой техники применяются специализированные гидроцилиндры выносных опор.
Конструктивные особенности:
Приваренный кронштейн для крепления к раме машины
Сферическая опора на конце штока для компенсации перекосов
Фланец для установки гидрозамков или предохранительных клапанов
Повышенная стойкость к боковым нагрузкам
Специальные применения
Помимо перечисленных, гидроцилиндры находят применение в множестве других областей:
Правила эксплуатации и обслуживания гидроцилиндров
Соблюдение правил эксплуатации значительно увеличивает ресурс гидроцилиндров и предотвращает преждевременные отказы.
Важно: Наиболее частые причины выхода из строя гидроцилиндров — загрязнение рабочей жидкости, нарушение правил монтажа, превышение рабочих параметров и несвоевременное обслуживание. Соблюдение регламентов эксплуатации увеличивает межремонтный ресурс в 2-3 раза.
Заключение
Гидроцилиндры остаются ключевыми компонентами гидравлических систем современной спецтехники, обеспечивая преобразование гидравлической энергии в механическое движение с высоким КПД и надежностью. Правильный выбор, расчет и эксплуатация гидроцилиндров позволяют значительно повысить эффективность и срок службы всего оборудования.
Специалисты компании "Гидравлик-Трак" готовы помочь вам с подбором, расчетом и поставкой гидроцилиндров для любых применений. Мы предлагаем широкий ассортимент качественного гидравлического оборудования и запасных частей от проверенных производителей.


































