voltamperoff

voltamperoff

Местное я... Чего вы так смотрите?
Пикабушник
Дата рождения: 13 апреля
4229 рейтинг 3 подписчика 6 подписок 22 поста 6 в горячем
Награды:
5 лет на Пикабу
41

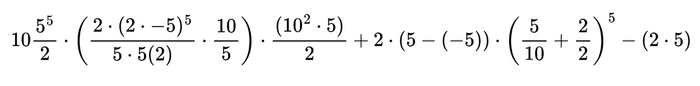
Ответ на пост «Простая арифметика»1

Значицца, имеем картинку с шакалами котами:

Из нее легко выводим, что целый кошак равен 10, евойная морда - это 5, ну евошние лапы - это 2... Теперь подставим эту расчлененку в формулу снизу:

Приведем этот скобочный бардак в порядок и применим простейшие преобразования:

Преобразуем дроби к нормальному виду, а не вот этот вот швах с целой и дробной частью, ну и слегка сократим:

Получаем уже вот такое вот:

Понятное дело, что тут уже элементарный Ватсон:

Если кому не лень, перепроверьте...

UPD: Нашлась опечатка (спасибо @Maikol.Assbender), в ответе первая цифра не 3, а 6.

Показать полностью 6
9

Ответ на пост «"Чуда не произошло": 12-летняя девочка, которую растерзали бродячие собаки в Чульмане, умерла»60

"Сила Пикабу" и петиция на РОИ - это все здорово, конечно, но не достаточно эффективно, на мой взгялд. Я считаю, что в этом случае нужно осуществить свою Власть (единственный источник Власти - Народ, Конституция, ст. 3). Путем использования своих социальных инструментов - обращениями в региональные облдумы/заксобрания, обращения к депутатам и пр. (юристы Пикабу, подскажите кому еще следует написать).

Раз уж мы выбрали своих представителей в правительстве и делегировали им полномочия, надо, чтобы они выполняли свои функции - улучшали нашу жизнь. Нужно массово ПОТРЕБОВАТЬ (не просить, а именно требовать) у своих ставленников (депутатов - министров) отменить закон о стерилизации-передержке-отпускании бродячих собак и провести закон об умерщвлении этих опасных для человека вредителей.

Обращение можно подать в свободной форме на сайте своего областного правительства.

Панамка готова, накидывайте.

7

Кармический бумеранг х3

Человек, придумавший и распространивший в обществе идею "вернется бумерангом" или "вернется сторицей" - злобный гений! Твори какую-нибудь дичь, а все вокруг такие: "Ну, бох накажет..." и лишь осудительно поцокают языком.

120

ЧОП-ы опасны для общества

В Сормово (Нижний Новгород) сотрудник охранного предприятия "Факел", видимо, решив самоутвердиться, нанес побои посетителю известной сети алко-магазинов. В очередной раз убеждаюсь, что ЧОП-ы не просто бесполезны, а опасны для граждан.

https://www.pravda.ru/news/districts/1464538-novgorod/

Показать полностью
187

Чертовы цыгане!!!

Про наше общество и "ненавижу, бл*дь, цыган" (с)...


Случилось буквально час назад. Подходя к продуктовому магазину, замечаю как две цыганки что-то говорят, проходящей мимо них девчонке лет четырнадцати-шестнадцати. Та, в свою очередь, делает маневр отступления, но крайне неудачный - встает на узкой тропинке между довольно длинным пандусом и сугробом, да так, что с одной стороны цыганки, а с другой неудобный проход между урной и самим зданием - попадос почти в "коробочку", короче.


Прошелся быстренько по магазу, затарился вкусняшками, выхожу и наблюдаю картину, как девчонка эта, уже держит в руках открытый кошель и намеревается оттуда достать деньгу, видимо... Закономерно вопрошаю:

Я: Э! Чо такое?!!

Ц: Удача бууудиит... (заводит тупейшую пластинку)


Выкручиваю ручку басов на голосе в максимум, щелкаю выключателем "Злоба +20dB" и произношу на несколько повышенной громкости лаконичную фразу в сторону этих... кхм... цыганок, в общем:

Я: А ну на xyz отсюда пошли!

Ц: А чааво такоооваа десить рублей дала только... (немного охренел, добавил еще злобы)

Я: (достаю демонстративно газовый баллончик) На XYZ отсюда быстро!!!

Ц: (подобосравшись) Да мы же ничиво плахова...


В общем, послал их три раза, ну они и ретировались. Девчонка немного офигевшим взглядом обвела все вокруг и тоже пошла по своим делам, а я по своим. Хэппиэндовый конец истории, казалось бы, но гложит меня немного... За то время, пока я был в магазине, наблюдать сцену цыганского приставания должно было, как минимум человек 20-30, ибо одна из центральных улиц и народа всегда много. Мораль? Чисто ИМХО, народ наш, все таки, стал толерантным... (см. Пикиведию про толерантность)

Показать полностью
Отличная работа, все прочитано!

Темы

Политика

Теги

Популярные авторы

Сообщества

18+

Теги

Популярные авторы

Сообщества

Игры

Теги

Популярные авторы

Сообщества

Юмор

Теги

Популярные авторы

Сообщества

Отношения

Теги

Популярные авторы

Сообщества

Здоровье

Теги

Популярные авторы

Сообщества

Путешествия

Теги

Популярные авторы

Сообщества

Спорт

Теги

Популярные авторы

Сообщества

Хобби

Теги

Популярные авторы

Сообщества

Сервис

Теги

Популярные авторы

Сообщества

Природа

Теги

Популярные авторы

Сообщества

Бизнес

Теги

Популярные авторы

Сообщества

Транспорт

Теги

Популярные авторы

Сообщества

Общение

Теги

Популярные авторы

Сообщества

Юриспруденция

Теги

Популярные авторы

Сообщества

Наука

Теги

Популярные авторы

Сообщества

IT

Теги

Популярные авторы

Сообщества

Животные

Теги

Популярные авторы

Сообщества

Кино и сериалы

Теги

Популярные авторы

Сообщества

Экономика

Теги

Популярные авторы

Сообщества

Кулинария

Теги

Популярные авторы

Сообщества

История

Теги

Популярные авторы

Сообщества