NickChef

мой канал по математике https://t.me/Math9GradeOGE
Пикабушник
Дата рождения: 29 ноября
153 рейтинг 9 подписчиков 22 подписки 9 постов 1 в горячем

Как сдать ОГЭ?

Серия Математика. ОГЭ

Один из комментариев учеников, сдававших ОГЭ ранее:

"Мой опыт сдачи ОГЭ. Чего бояться? Как готовиться? Где можно найти ответы?

Здравствуйте, для начала скажу свои результаты, для того чтобы вы понимали. Русский язык и математика вышли на 5. Так же отменили ОГЭ по дополнительным предметам, но писали контрольную в формате ОГЭ. Я выбрала географию и написала её на 5). Учусь я в небольшом городе в Крыму в Гимназии)

Итак, могу сказать что перед экзаменами и во время экзаменов не стоит переживать, потому что любой экзамен намного легче пробников, которые вам давали в школе. Атмосфера не такая пугающая как рассказывают учителя, да и контроль не особо серьёзный.

В начале 9 класса я совсем не знала математику, одним словом я ее ненавидела. Если у вас такое же отношение к предметам по которым вы будете писать ОГЭ, советую сделать так же как я. В октябре я начала ходить к лучшему репетитору в городе, кстати хожу до сих пор. Пока вы не поймёте предмет, вы его не полюбите и не сдадите. Так же НЕ СТОИТ НАДЕЯТЬСЯ НА ОТВЕТЫ ИЛИ НА ШПАРГАЛКИ. (Когда я писала русский, ответы никому не подошли) просто начните разбирать задания, и желательно не за день до экзамена) В подготовке главное- это систематически повторять новый материал. Уделите экзаменам хотя бы 1 час в неделю.

В общем, чтобы хорошо написать экзамен надо немного подготовки и уверенность в себе"

взято из tg-канала Математика. ОГЭ и другое

Показать полностью

Сумеете решить задачку?

Серия Математика. ОГЭ

Раздробите 45 на четыре части так, что если к первой части прибавить 2, от второй отнять 2, третью умножить на 2, а четвёртую разделить на 2, то все результаты будут равными.

Больше задач и разборов в tg-канале Математика, ОГЭ и другое

Как сдать ОГЭ по математике

Серия Математика. ОГЭ

Сегодня поговорим о том, как сдать ОГЭ по математике.
Методы подготовки к ОГЭ по математике

взято из telegram-канала Математика, ОГЭ и другое

ОГЭ (Основной государственный экзамен) по математике — это важный этап в жизни школьников, который оценивает не только их знания, но и умение применять математические навыки на практике. Подготовка к экзамену требует комплексного подхода, включающего теоретическое освоение материала, развитие практических навыков, а также психологическую настройку. В этой статье мы рассмотрим основные методы и стратегии подготовки к ОГЭ по математике, которые помогут не только успешно сдать экзамен, но и повысить общий уровень математической грамотности.

1. Знание структуры экзамена

Один из самых важных шагов в подготовке — это знакомство с форматом ОГЭ. Экзамен состоит из двух частей: задания с выбором ответа (часть 1) и задания с развернутым ответом (часть 2). Каждая часть охватывает различные разделы школьной программы, такие как алгебра, геометрия, элементы теории вероятностей и статистики.

Задания части 1 включают 20 вопросов, на которые нужно ответить выбором одного правильного варианта. Задания части 2 требуют выполнения расчетов и оформления решений. Эти задания проверяют более глубокое понимание математических понятий и умение работать с разными типами задач.

Знание структуры экзамена помогает систематизировать подготовку, правильно распределить время и силы на каждую часть экзамена.

2. Изучение теоретического материала

Для успешной сдачи ОГЭ необходимо хорошо освоить все разделы школьной программы. Это включает в себя:

  • Алгебру: арифметические операции, линейные и квадратные уравнения, неравенства, системы уравнений, логарифмы и прогрессии.

  • Геометрию: основы геометрических фигур (треугольники, круги, многоугольники), свойства углов, перпендикуляры, площади и объемы.

  • Статистику и теорию вероятностей: вычисление среднего арифметического, медианы, стандартного отклонения, работа с вероятностями.

Здесь ключевым является регулярное повторение теории, использование учебников и дополнительных материалов, таких как онлайн-курсы, видеоуроки, пособия для подготовки к ОГЭ.

Практические рекомендации:

  • Читайте теоретический материал, а затем решайте задачи, связанные с ним.

  • Записывайте важные формулы и теоремы, а также основные правила и методы решения задач.

  • Разделите теорию на маленькие части и постепенно изучайте её, чтобы не перегружать себя.

3. Решение практических задач

Решение задач — это неотъемлемая часть подготовки к ОГЭ. Задачи ОГЭ по математике включают различные типы, такие как:

  • Задачи на вычисления (например, решение уравнений или нахождение площади).

  • Задачи на логику и рассуждения.

  • Задачи на работу с графиками и геометрические задачи.

Чем больше вы решаете задач, тем легче становится работать с подобными заданиями на экзамене. Практика позволяет не только закрепить теоретический материал, но и улучшить навыки быстрого и точного выполнения расчетов.

Практические рекомендации:

  • Разработайте план, по которому будете решать задачи, начиная с простых и постепенно переходя к более сложным.

  • Используйте задачи из реальных экзаменов прошлых лет. Это поможет не только понять типы задач, но и привыкнуть к формату экзамена.

  • Используйте специальные сборники задач, которые подготовлены для ОГЭ.

4. Работа с ошибками

Очень важно не только решать задачи, но и анализировать допущенные ошибки. После того как вы решили задачу, всегда проверяйте решение. Если вы допустили ошибку, постарайтесь понять, где и почему она произошла, и как её избежать в следующий раз.

Записывайте свои ошибки и исправления в специальный блокнот, чтобы систематически их повторять и закреплять правильный подход.

5. Использование онлайн-ресурсов и мобильных приложений

Сегодня существует множество онлайн-ресурсов и мобильных приложений, которые могут значительно помочь в подготовке к ОГЭ. Например:

  • Платформы с заданиями для ОГЭ: такие ресурсы, как Яндекс.Репетитор, Решу.ЕГЭ, тематические телеграм-каналы помогают школьникам тренироваться на реальных заданиях экзамена. Многие из этих сервисов предлагают задания с автоматической проверкой, что помогает быстро выявлять слабые места в знаниях.

  • Мобильные приложения: приложения, такие как "Математика ОГЭ", могут быть полезными для тренировки на ходу, предоставляя доступ к задачам и теоретическим материалам.

С помощью таких ресурсов можно не только систематически тренироваться, но и отслеживать свой прогресс.

6. Тайм-менеджмент и организация работы

Грамотно организовать свое время — это важный момент в подготовке. Создайте расписание, которое будет включать как теоретические занятия, так и практические тренировки. Например, можно выделить по часу каждый день на теорию и по два часа на решение задач.

Также стоит обратить внимание на дни отдыха. Чрезмерная нагрузка может привести к выгоранию и снижению мотивации.

Практические рекомендации:

  • Составьте расписание занятий, включая повторение пройденного материала.

  • Разделите задачи на более мелкие и решайте их постепенно.

  • Оставляйте время для отдыха и релаксации, чтобы избежать усталости.

7. Психологическая подготовка

Психологический настрой играет большую роль в сдаче экзамена. Очень часто проблемы на экзамене связаны не с нехваткой знаний, а с нервозностью и стрессом. Чтобы избежать паники в день экзамена, важно заранее подготовиться психологически.

Практические рекомендации:

  • Пробуйте моделировать атмосферу экзамена, решая задачи в строго отведенное время.

  • Научитесь сохранять спокойствие в стрессовых ситуациях.

  • Работайте над техникой управления временем, чтобы не тратить его зря и успеть решить все задания.

8. Работа с репетитором

Если у вас возникают сложности в освоении определённых тем или вы хотите улучшить свои результаты, возможно, имеет смысл обратиться к репетитору. Репетитор может помочь в углубленной проработке материала, объяснить сложные моменты и предложить индивидуальные методики подготовки. При этом важно, чтобы занятия с репетитором носили целенаправленный и систематический характер, а не заменяли собой самостоятельную работу.

Заключение

Подготовка к ОГЭ по математике — это долгий и кропотливый процесс, который требует терпения, усердия и грамотного подхода. Важно не только изучать теорию, но и регулярно решать практические задачи, работать над ошибками и следить за своим психологическим состоянием. Составление индивидуального плана подготовки, использование онлайн-ресурсов и поддержка репетитора помогут вам организовать процесс так, чтобы успешно сдать экзамен и добиться высокого результата.

Показать полностью
66

Притча о зернах на шахматной доске

Серия Математика. ОГЭ
Притча о зернах на  шахматной доске

Согласно одной из легенд, шахматы придумал мудрец по имени Сисса, который показал своё изобретение правителю страны. Тому так понравилась игра, что он дал изобретателю право самому выбрать награду. Мудрец попросил у короля за первую клетку шахматной доски заплатить ему одно зерно пшеницы, за вторую — два, за третью — четыре и так далее, удваивая количество зёрен на каждой следующей клетке. Правитель, не разбиравшийся в математике, быстро согласился, даже несколько обидевшись на столь невысокую оценку изобретения, и приказал казначею подсчитать и выдать изобретателю нужное количество зерна. Однако, когда неделю спустя казначей всё ещё не смог подсчитать, сколько нужно зёрен, правитель спросил, в чём причина такой задержки. Казначей показал ему расчёты и сказал, что расплатиться невозможно, разве только осушить моря и океаны и засеять всё пространство пшеницей.Сколько же зерна запросил мудрец?

Сколь Количество зёрен на первой половине доски составляет 1 + 2 + 4 + … + 2 147 483 648, всего 2^32 − 1 = 4 294 967 295 зёрен, или около 100 т риса (при массе одного зёрнышка 25 мг).

Количество зерна на второй половине доски составляет 2^32 + 2^33 + 2^34 … + 2^63 = 2^64 − 2^32 зёрен риса. На одной только 64-й клетке доски будет 2^63 = 9 223 372 036 854 775 808 зёрен, более чем в 2 млрд раз больше, чем на всей первой половине доски. На всей доске будет 2^64 − 1 = 18 446 744 073 709 551 615 зёрен, их общая масса составит 461 168 601 842,7 т.

Взято из telegram-канала Математика ОГЭ и другое

Показать полностью
6

О порядке подготовки к ОГЭ по математике

Серия Математика. ОГЭ

Взято из канала https://t.me/Math9GradeOGE
Сегодня хотел бы поговорить немного про график и порядок работы над подготовкой к экзамену по математике. Внимание: много букв)))
В закрепленных сообщениях полный список тем, которые могут быть на экзамене. К ним ко всем надо быть готовым. И прежде всего вам надо быть готовым для себя. Важно, чтобы вы пошли на экзамен спокойно и уверенно с пониманием того, что все задачи легко решаются вами и для вас весь материал не составляет проблем. Поначалу может показаться, что объем информации, который надо понимать как решать - большой. И может охватывать страх от того, как все это осилить. Предлагаю по этому поводу излишне не переживать. Что бы я на вашем месте сделал, чтобы спокойно сдать ОГЭ по математике.
1. Предлагаю Вам выписать полный список тем, по которым у вас есть вопросы. Если пока ничего непонятно, то вы можете воспользоваться указанным полным списком тем в нашем канале https://t.me/Math9GradeOGE/56 (постепенно все пункты будут заменяться ссылками на посты с обзором этих тем). Не считая организационных тем, полный перечень включает в себя около 18 различных направлений.
2. Зная полный перечень своих пока еще "слабых" мест, составьте сами для себя график подготовки к экзамену. На момент написания поста 16 ноября 2024 года. До ОГЭ еще 28 недель. И тут важный момент: если вы каждую неделю будете разбирать хотя бы по одной теме из всего задачника до уровня "я спокойно и уверенно решаю эти задачи" - вы без напряга для себя спокойно и без бессонных ночей подготовитесь к экзамену. Проявите немного самодисциплины в подготовке: поставьте цель - разбор 1 темы на каждую неделю и, обязательно, найдите на неделе 2-3 часа, чтобы эту тему разобрать и прорешать задачи по ней. Если вы начнете заниматься сейчас, то вы избежите нервных бессонных ночей и за несколько дней до экзамена вы будете уже спокойно спать, не думая о том, что скоро экзамен. Идеально, если ваше моральное состояние в последний вечер перед экзаменом будет "О! Завтра ОГЭ по математике! Сейчас посмотрю фильмец, поем пиццу и спать - надо выспаться. А завтра бодрый, свежий спокойно пойду и решу все задачи. Там все легко!"
3. Еще раз обращаю ваше внимание на самодисциплину. Разбор одной темы в неделю - самый простой и спокойный способ гарантированно сдать ОГЭ и не париться по поводу экзамена.
Любого бегемота за полгода можно съесть, если есть его понемногу и регулярно!
Тут самое важное - не отклоняться от своего графика, следовать ему и спокойно идти к цели. Конечно, я понимаю, что есть и школа, и другие уроки, и своя личная жизнь (потусоваться с друзьями никогда не бывает лишним, по себе знаю :) ) Просто каждую неделю находите 2-3 часа на подготовку и у вас все получится!

Пусть это будет небольшой мой дружеский совет вам. Я сам когда-то учился в школе, и, следуя этому методу, спокойно сдавал экзамены по предметам, особо не ботая.
Весь большой объем работы делим на кусочки и равномерно регулярно проходим. Вот и весь секрет достижения высоких результатов в сложных с первого взгляда задачах.
Если интересно, могу рассказать как я все это в школе преодолевал и вышел на неплохие результаты в учебе и в жизни. С удовольствием поделюсь с вами своими моментами из жизни и выводами, которые я делал и использую в своей профессиональной деятельности и сейчас. Успехов вам и наивысших баллов на экзаменах!

Наша группа ВКонтакте: https://vk.com/mathpro100foryou

Показать полностью
3

ОГЭ Математика 9 класс Задачи на движение с учётом длины объектов

Серия Математика. ОГЭ

Задачи на движение с учётом длины объектов

Взято из канала «ОГЭ Математика 9 класс» - https://t.me/Math9GradeOGE

В задачах на движение протяженных (длинных) тел требуется определить длину одного из них, или учесть его длину при нахождении компонент движения.  Можно выделить основные виды таких задач. Это – определение длины поезда проезжающего

мимо точечного объекта – стрелочник, семафор, придорожный столб;

мимо длинного объекта – платформа, мост, туннель, лесополоса;

мимо идущего пешехода (навстречу или в том же направлении);

мимо движущегося длинного объекта – поезд, баржа.

Лучше всего решать такие задачи с помощью схем, где длинный объект изображается вектором (стрелкой). И полезно помнить, что все точки длинного объекта (поезда) движутся с одинаковой скоростью – со скоростью поезда. Поэтому достаточно для себя выбрать одну из них (например, крайнюю правую – «нос» объекта) и решать задачу, как задачу на движение именно этой точки.

Рассмотрим на конкретных задачах

Поезд, двигаясь равномерно со скоростью 84 км/ч, проезжает мимо семафора за 24 секунды. Найти длину поезда в метрах.

Решение.

"Мимо семафора за 24 сек" — это время от момента, когда со столбом поравнялся «нос» поезда, до момента, когда со столбом поравнялся «хвост» поезда. За это время «нос» поезда успеет «уехать» на расстояние, равное длине поезда.

Таким образом, "Мимо семафора за 24сек" означает, что за 24 секунды поезд проходит расстояние, равное своей длине.

S = V ∙ t = l (длина поезда)

Обратим внимание на то, что скорость поезда указана в км/час, а длина поезда – в метрах. Значит, надо либо скорость поезда выразить в м/сек, либо длина поезда выразить в км. Решим задачу двумя путями.

Укажем скорость поезда в м/сек.

В одном часе 60 минут, в каждой минуте 60 секунд, значит

1 ч = 60 мин * 60 сек = 3600 сек.

Наш поезд проезжает 84 км за 1 час. Следовательно, он проезжает 84000 метров за 3600 секунд. Найдем его скорость в м/сек – какое расстояние в метрах поезд проходит за 1 секунду:

Ответ. 560 метров.

Вывод. Время движения мимо неподвижной точки – это время, за которое длинный объект проходит расстояние, равное своей длине.

Поезд проезжает мост со скоростью 90 км/ч за 42 секунды. Какова длина поезда, если длина моста 634 метров?

Решение.

"Проезжает мост за 42 сек" – это время от момента, когда на мост въезжает «нос» поезда, до момента, когда с моста съезжает «хвост» поезда. За это время «нос» поезда успеет «уехать» на расстояние, равное длина моста плюс длина поезда.

Таким образом, "Проезжает мост за 42 сек" – это значит, что за 42 сек поезд проходит расстояние, равное сумме длин моста и поезда.

S = V ∙ t = l моста + lпоезда.

Чтобы найти это расстояние, нужно скорость поезда перевести в единицы измерения м/с.

l моста + l поезда = 90 км/ч ∙ 42 с =  25 м/с * 42 с= 1050 метров;

l поезда = 1050 м – 634 м = 416 м.

Ответ. Длина поезда - 416 метров.

Вывод. Если длинный объект движется мимо неподвижного длинного объекта, то он проходит расстояние равное сумме длин обоих объектов.

Какова длина поезда, успевающего проехать мимо идущего навстречу ему вдоль путей пешехода за 6 секунд, если скорость пешехода 4,2 км/ч, а скорость поезда 108 км/ч?

«Проехать мимо идущего навстречу пешехода за 6 секунд» — это время от момента, когда с пешеходом поравнялся «нос» поезда, до момента, когда с пешеходом поравнялся «хвост» поезда.

Это равносильно задаче на встречное движение пешехода и хвоста. Между пешеходом и «хвостом» поезда расстояние, равное длине поезда, через 6 секунд хвост и пешеход встретятся. Каково расстояние между ними, если их скорости известны.

Тогда

или

Ответ. Длина поезда 187 м.

Вывод. Если длинный объект движется мимо идущего навстречу ему пешехода, то длина поезда равна сумме расстояний, пройденным пешеходом и поездом вместе.

Какова длина поезда, успевающего проехать мимо идущего вдоль путей в том же направлении пешехода за 30 секунд, если скорость пешехода 5,4 км/ч, а скорость поезда 123 км/ч?

«проехать мимо идущего в том же направлении пешехода за30 секунд» — это время от момента, когда с пешеходом поравнялся «нос» поезда, до момента, когда с пешеходом поравнялся «хвост» поезда.

Это равносильно задаче на движение в одном направлении пешехода и хвоста.  «Хвост» поезда начал догонять пешехода, когда расстояние между ними было равно длине поезда, и через 30 секунд догнал пешехода. Каким было расстояние между ними, если их скорости известны.

Тогда  

или

Ответ. Длина поезда 980 м

Вывод. Если длинный объект движется мимо идущего в том же направлении пешехода, то длина поезда равна разности расстояний, пройденным поездом и пешеходом.

Две сороконожки проползали мимо друг друга 12 секунд. Скорость старшей из них 54 см/мин, а скорость младшей из них 61 см/мин. Какова длина младшей, если старшая к своим годам достигла 12 см.

«Проползали мимо друг друга 12 секунд» — это время между моментом, когда совместятся их носы, до момента, когда совместятся их хвосты. Другими словами, перед нами задача на встречное движение хвостов при исходном расстоянии, равном сумме длин сороконожек.

Тогда  

Ответ. Длина младшей сороконожки 11 см.

Старый удав и резвый уж ползли к водопою. При этом уж, имея скорость 46 см/с, прополз мимо удава, длиной 8 метров, за 24 секунды. Какова длина ужа, если скорость удава 11 см/сек.

«Прополз мимо удава за 24 секунды» — это время от момента, когда нос ужа поравнялся с хвостом удава, до момента, когда хвост ужа поравнялся с носом удава, то есть это время за которое хвост ужа догонит нос удава, если расстояние между ними равно сумме их длин.

Тогда  

Ответ. Длина ужа 40 см.

Возможны другие задачи, в которых сочетаются разные ситуации шести основных случаев, или иначе расставлены данные задачи и вопрос задач.

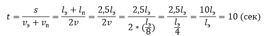
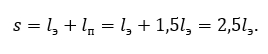
Электричка проходит мимо столба за 8 секунд. За какое время (в секундах) пройдут мимо друг друга пассажирский поезд и электричка, если скорость пассажирского поезда равна скорости электрички, а длина пассажирского поезда в полтора раза больше длины электрички?

Решение.

1). Пусть длина электрички l метров, тогда длина поезда 1,5l метров.

2). "Мимо столба за 8 сек" — это время от момента, когда со столбом поравнялся нос электрички, до момента, когда со столбом поравнялся хвост электрички, за это время нос электрички успел "уехать" на расстояние, равное длине электрички, то есть

Общий путь, который пройдут электричка и поезд от момента соприкосновения носами до момента соприкосновения хвостами, равен

Общая скорость равна  (скорости электрички и поезда равны по условию задачи, кроме того, поезд и электричка едут навстречу друг другу)

Тогда время, за которое пройдут мимо друг друга электричка и поезд,

Ответ. За 10 сек.

Заходите ко мне на канал https://t.me/Math9GradeOGE - там я разбираю все задачи из сборника ОГЭ для 9 класса. Кроме того, там есть и другая интересная и полезная информация.

Показать полностью 13
12

Задачи про шины

Серия Математика. ОГЭ

Сегодня решил поделиться с вами разбором задач про шины из сборников ОГЭ по математике для 9 класса. Дайте знать в комментариях: заходят ли вам обзоры и нужны ли они. Спасибо.

ШИНЫ

https://t.me/Math9GradeOGE - взято из канала «ОГЭ Математика 9 класс»

Разберем одну из самых затруднительных тем первой части – ШИНЫ.

Автомобильное колесо, как правило, представляет из себя металлический диск с установленной на него резиновой шиной. Диаметр диска совпадает с диаметром внутреннего отверстия в шине. Для маркировки автомобильных шин применяется единая система обозначений. Например, 195/65 R15 (рис. 1).

Рис. 1.

Рис. 1.

Рис. 2.

Рис. 2.

Первое число (число 195 в приведённом примере) обозначает ширину шины в миллиметрах (параметр B на рис. 2). Рис. 1 Второе число (число 65 в приведённом примере) – процентное отношение высоты боковины (параметр H на рисунке 2) к ширине шины, то есть 100*H/B. Последующая буква обозначает тип конструкции шины. В данном примере буква R означает, что шина радиальная, то есть нити каркаса в боковине шины расположены вдоль радиусов колеса. На всех легковых автомобилях применяются шины радиальной конструкции. За обозначением типа конструкции шины идёт число, указывающее диаметр диска колеса d в дюймах (в одном дюйме 25,4 мм). Таким образом, общий диаметр колеса D легко найти, зная диаметр диска и высоту боковины. Рис. 2 Возможны дополнительные маркировки, обозначающие допустимую нагрузку на шину, сезонность использования, тип дорожного покрытия и другие параметры. Завод производит легковые автомобили определённой модели и устанавливает на них колёса с шинами маркировки 195/60 R16. Завод допускает установку шин с другими маркировками. В таблице показаны разрешённые размеры шин.

Рис. 3.

Рис. 3.

  • Шины какой наименьшей ширины можно устанавливать на автомобиль, если диаметр диска равен 17 дюймам?

  • Данная задача решается легко: нужно просто посмотреть внимательно на таблицу, изображенную на рис. 3. Смотрим на столбец с диаметром диска 17 дюймов и ищем наименьшее первое число в маркировке, обозначающее ширину шины.

  • Ответ: 185.

  • На сколько миллиметров радиус колеса с шиной маркировки 185/65 R16 больше, чем радиус колеса с шиной маркировки 215/55 R16?


    Для решения этой задачи нам нужно выполнить следующие шаги:

    1) Посчитать диаметр диска первой шины в миллиметрах;

    2) Найти высоту первой шины из ее маркировки;

    3) Найти диаметр первого колеса;

    4) Зная диаметр первой шины, найти ее радиус;

    5) Найти радиус колеса, зная радиус диска и высоту шины;

    6) Посчитать диаметр второго колеса в миллиметрах;

    7) Зная диаметр второго колеса, найти его радиус;

    8) Вычесть из радиуса второго колеса радиус первого.


  • Пойдем по порядку:

    1) Рассмотрим первую шину с маркировкой 185/65 R16.  Из маркировки шины мы видим, что ширина шины – 185 мм, диаметр диска шины – 16 дюймов.

  • Найдем диаметр диска первой шины. В условии задачи дана справочная информация о том, что 1 дюйм = 25,4 мм. Значит, диаметр диска шины равен d1=16*25,4 = 406,4 мм.

    2) Найдем высоту первой шины, зная ее маркировку. Второе число – 65 в маркировке 185/65 R16 означает, что .
    В этой формуле мы знаем ширину шины B. Надо выразить H – высоту шины. Путем математических преобразований получаем

В нашем случае,

Видим, что, и множители в числителе, и знаменатель делятся на 5. Сократим дробь:

3). Найдем диаметр первого колеса.

Из рисунка видим, что диаметр колеса равен D = d + 2 * H.

Найдем диаметр первого колеса с маркировкой 185/65 R16.

Диаметр диска d мы нашли в пункте 1 решения, высоту шины H1 мы нашли в пункте 2 решения. Тогда имеем D1 = d + 2 * H1 = 406,4 + 2 * 120,5 = 406,4 + 240,5 = 646,9 мм.
4) Зная диаметр шины, легко вычислить её  радиус. Ведь радиус шины (читай окружности) равен половине ее диаметра

Соответственно, радиус шины 1 равен r1 = 629,2 / 2 = 323,45 мм. Вторая шина имеет такой же диаметр диска, как и первая. Поэтому, мы знаем, что ее диаметр d2 = d1 = 406,4 мм. Или снова найдем диаметр диска шины 2 с маркировкой 215/55 R16. Аналогично пункту 1, диаметр диска шины 2 равен d2 = 16 * 25,4 = 406,4 мм.

5) Найдем высоту второй шины, зная ее маркировку. Второе число – 55 в маркировке 215/55 R16 означает, что

В этой формуле мы знаем ширину шины B. Надо выразить H – высоту шины. Путем математических преобразований получаем

В нашем случае,

Сократим дробь:

6) Найдем диаметр второго колеса с маркировкой 215/55 R16.

Диаметр диска d мы нашли в пунктах 1 и 5 решения, высоту шины H2 мы нашли в пункте 6 решения. Тогда имеем D2 = d + 2 * H2 = 406,4 + 2 * 118,25 = 406,4 + 236,5 = 642,9 мм.

7) Зная диаметр второго колеса,  легко вычислить его радиус (см. п. 4).

На рисунке 2 видим колесо, его диаметр D = d + 2 * H, где d - диаметр диска, H - высота шины. Также, мы знаем что радиус колеса (окружности) равен половине его диаметра (см. рис. 1). Это означает, что радиус колеса . Соответственно, радиус первого колеса (с маркировкой 185/65 R16) равен

Соответственно, радиус первого колеса (с маркировкой 185/65 R16) равен

8) Чтобы найти на сколько миллиметров радиус колеса с шиной маркировки 185/65 R16 больше, чем радиус колеса с шиной маркировки 215/55 R16 нужно из радиуса первого колеса вычесть радиус второго колеса:

r1 - r2 = 323,45 - 321,45 = 2 мм.

Ответ. Радиус колеса с шиной маркировки 185/65 R16 больше, чем радиус колеса с шиной маркировки 215/55 R16 на 2 мм.

3. Найдите диаметр колеса автомобиля, выходящего с завода. Ответ дайте в миллиметрах.

По условию задачи завод на свои автомобили устанавливает колёса с шинами маркировки 195/60 R16. Диаметр колеса D = d + 2 * H, где d – диаметр диска в миллиметрах, H – высота шины.
1) Найдем диаметр диска в миллиметрах: d = 16 * 25,4 = 406,4 мм.

2) Найдем высоту шины, зная ее маркировку. Второе число – 60 в маркировке 195/60 R16 означает, что

Откуда, 100 * H = 60 * B, или 100 * H = 60 * 195. Найдем H из формулы и сократим дробь:

3) Найдем диаметр колеса:

D = d + 2 * H = 406,4 +2 * 117 = 406,4 + 234 = 640,4 мм.

Ответ. 640,4 мм.
4, На сколько миллиметров уменьшится диаметр колеса, если заменить колёса, установленные на заводе, колёсами с шинами маркировки 205/50 R17?

На заводе установили колеса 195/60 R16. Диаметр колеса, установленного на заводе, мы нашли в задаче 3 D1=640,4 мм.

Найдем диаметр колеса с шинами 205/50 R17. Для этого, по аналогии с задачей 3, найдем диаметр диска и высоту шины.

1) Диаметр диска колеса с шинами 205/50 R17 равен

D = 17 * 25,4 = 431,8 мм.

2) Найдем высоту шины. Второе число – 50 в маркировке 205/50 R17 означает, что . Откуда,

Откуда, 100 * H = 50 * B, или 100 * H = 50 * 205.
Найдем H из формулы и сократим дробь:

3) Найдем диаметр колеса с шинами маркировки 205/50 R17

D2 = d + 2 * Н = 431,8 + 2 * 102,5 = 431,8 + 205 = 636, 8 мм.

4) Ответим на вопрос задачи: на сколько миллиметров уменьшится диаметр колеса, если заменить колёса, установленные на заводе, колёсами с шинами маркировки 205/50 R17?

D1 - D2 = 640,4 - 636,8 = 3,6 мм.

5) На сколько процентов увеличится пробег автомобиля при одном обороте колеса, если заменить колёса, установленные на заводе, колёсами с шинами маркировки 215/45 R18? Результат округлите до десятых.

Напишем алгоритм решения задачи:

1) Найти диаметр колеса, установленного на заводе;

2) Найти диаметр нового колеса после замены колес.

Один оборот колеса равен длине окружности колеса. Длина окружности колеса l = 2 * Pi *r = 2 * Pi * d, где r – радиус колеса, d – диаметр колеса, Pi - число Пи.

Для этого, по аналогии с задачей 3, найдем диаметр диска и высоту шины.

3) Диаметр диска колеса с шинами 215/45 R18 равен

D=18*25,4=457,2 мм

4) Найдем высоту шины. Второе число – 45 в маркировке 215/45 R18 означает, что

Откуда, 100 * H = 45 * B, или 100 * H = 45 * 215. Найдем H из формулы и сократим дробь

5)  Найдем диаметр колеса с шинами маркировки 205/50 R17:

D2 =431,8 +2*102,5=431,8+205=636,8 мм.

Заглядывайте на канал https://t.me/Math9GradeOGE - там я разбираю все задачи из сборника ОГЭ для 9 класса.

Показать полностью 21
3

На волне уроков по математике в школах

Серия Математика. ОГЭ

Помогаю школьникам готовиться к ОГЭ по математике и столкнулся с полным равнодушием некоторых учителей как к ведению предмета, так и к ученикам. В мои школьные годы я такое себе и представить не мог. Учителя интересовались каждым учеником в классе, его успеваемостью, пытались помочь разобраться в предмете, указывали на слабые места в знаниях, помогали в понимании логики решения задач и старались объяснить доступно и с примерами из жизни. Сейчас, как мне кажется, бОльшая часть обучения на потоке. Приоритет отдается выполнению ряда педагогических показателей, часто не связанных с успеваемостью учеников, и заполнению отчетности, в то время как самое важное - общение с учеником и вовлечение в предмет через жизненные примеры и интересные задачи, сдобренные здоровым соревновательным духом между одноклассниками. Часто ко мне приходят ученики 9 класса, которые не умеют решать линейные уравнения, бывает что и таблицу умножения не знают. Когда начинаешь с ребенком заниматься, понимаешь, что ребенок далеко не глупый и если спокойно и доброжелательно объяснять материал и подводить к пониманию почему и как решаются разного рода задачи, ребенок с интересом и энтузиазмом решает весь материал школьной математики без проблем, с неподдельным интересом и, впоследствии, просит задачки посложнее школьного курса, потому что есть желание достигать результата и чувствовать себя крутым и способным на это.

Несмотря на это, очень много учителей, которые искренне любят детей и свою профессию. Хорошим учителем, к которому тянутся дети, можно быть только через любовь и уважение к детям, через желание помочь разобраться в предмете и через искренний интерес к успехам ребенка. Спасибо таким учителям и всегда с теплотой вспоминаю своих педагогов.
В свое время понял, что тоже хочу помогать детям разбираться в школьной программе, особенно по математике, и приятно видеть действительно заинтересованные глаза, которые чувствуют, что у них получается решить любую задачку из школьных учебников по математике и им интересно взять новые вершины в предмете и разобраться в, казалось бы, непонятных формулах и теоремах.
Фух, выговорился. Спасибо, что прочитали до конца.

Если интересно, чем я занимаюсь, и как решать разные математические задачки - заглядывайте в мой канал в Telegram https://t.me/Math9GradeOGE

Показать полностью
Отличная работа, все прочитано!

Темы

Политика

Теги

Популярные авторы

Сообщества

18+

Теги

Популярные авторы

Сообщества

Игры

Теги

Популярные авторы

Сообщества

Юмор

Теги

Популярные авторы

Сообщества

Отношения

Теги

Популярные авторы

Сообщества

Здоровье

Теги

Популярные авторы

Сообщества

Путешествия

Теги

Популярные авторы

Сообщества

Спорт

Теги

Популярные авторы

Сообщества

Хобби

Теги

Популярные авторы

Сообщества

Сервис

Теги

Популярные авторы

Сообщества

Природа

Теги

Популярные авторы

Сообщества

Бизнес

Теги

Популярные авторы

Сообщества

Транспорт

Теги

Популярные авторы

Сообщества

Общение

Теги

Популярные авторы

Сообщества

Юриспруденция

Теги

Популярные авторы

Сообщества

Наука

Теги

Популярные авторы

Сообщества

IT

Теги

Популярные авторы

Сообщества

Животные

Теги

Популярные авторы

Сообщества

Кино и сериалы

Теги

Популярные авторы

Сообщества

Экономика

Теги

Популярные авторы

Сообщества

Кулинария

Теги

Популярные авторы

Сообщества

История

Теги

Популярные авторы

Сообщества