ungaarcon

ungaarcon

Frontend Web Developer: ungarson.com
На Пикабу
9892 рейтинг 84 подписчика 6 подписок 7 постов 3 в горячем
Награды:
5 лет на Пикабу самый сохраняемый пост недели
326

Карты наук

Dominic Walliman - ютубер, автор научно-популярных книг по физике, PhD (вроде кандидата наук) по "quantum device physics" опубликовал карты различных наук: биологии, физики, математики, химии и computer science.
Нужно это затем, чтобы любой человек мог иметь представление о том, из чего состоят современные разделы науки.

Выше был их автор. А вот и одна из его карт (по физике):

О карте, нарисованной выше, Dominic подробно рассказал в следующем видео. Он рассказал о ранней физике, об Эйнштейне и его теориях специальной и общей относительности, и о подвидах квантовой физики.

Все его постеры опубликованы вот здесь:  https://www.flickr.com/photos/95869671@N08/

Кстати говоря, помимо карт наук, на его странице во flickr есть интересные постеры о том, как мы уже сейчас используем квантовые технологии.


Все его видео по картам наук публикуются в следующем плейлисте: https://www.youtube.com/playlist?list=PLOYRlicwLG3St5aEm02nc...
Они на английском, но уже есть и переводы.


Вот, например, по Computer Science:

А вот по математике:

Спасибо за внимание!

Показать полностью 1 3

Почему так сложно найти гениальную мысль (ну или хотя бы просто хорошую)? И о том, что же с этим делать…

Давайте определимся с предметом поиска.

Гениальная мысль — что это вообще? В заголовке ещё и про «просто хорошую» мысль написано, давайте тогда сложим «гениальное» и «хорошее», поделим на два и получим, ну пусть условно, «идеальное».

Идеальная мысль — это совершенно прорывная мысль, которая, возможно, даже и не нова — может, она быстренько и пролетала в голове у ваших друзей, родственников или вообще у тех, кто вам не знаком, но она значительно меняет представление о действительности.

Мамонты и лайки под аватаркой


Вот, например, ещё с тех пор, как человек начал колотить дубиной мамонтов, в представлении человека существуют натуральные числа, чтобы считать количество этих самых мамонтов, яблок на дереве, звёзд на небе, лайков под новой аватаркой — в каждом из этих примеров не может быть отрицательного количества: ни звёзд, ни яблок, например, не может быть -100 штук: они могут либо быть, либо не быть, а с отрицательным количеством получится какая-то неестественная ситуация

Для выражения того, сколько яблок или звёзд, мы можем воспользоваться числами — 1, 2, 3, 4, 5, ….

Ну, а для выражения того, что их нет, просто скажем, что их нет.

А что делать математикам или просто тем, кто, например, занимается бухгалтерией? Так и писать — «no apples»?

В данном случае прорывная мысль состояла в введении нуля, как число.


Ноль на протяжении всего человечества лежал «на поверхности», но поднять его, поставить на одно место со всеми остальными числами видные математики просто не решались, ведь как это — «ничего» поставить на одно место к числам, для этого понадобилось переосмысление вообще понятия числа, абстрагироваться от того, что человечество и, в частности, мировое математическое сообщество уже знает.


Труды Леонарда Эйлера, кстати говоря, поспособствовали уравниванию нуля в правах с другими числами.

Абстрагирование и переосмысление


Абстрагирование необходимо для того, чтобы избавить ваше внимание от всяких несущественных деталей.

Вот представим, что вы решаете задачу по физике.

Давайте материализуем эту задачу в виде очень большого комка в высоту размером с трёхэтажное здание.

Вы стоите перед этим комком, пытаетесь сгладить его поверхность, вообще как-то сделать из него «конфетку», но всё никак не получается.

И теперь вы буквально взлетаете (абстрагируетесь) над этим комком, вы можете рассмотреть его с разных сторон и детальнее разобраться с тем, что можно сделать с этим комком.

А что на практике? («Книга ленивого гуру»)


Взглянув вокруг, мы увидим, как независимо работающие части образуют сложное целое: молекулы, стволы деревьев, листья, пласты пород, туманности, перья, скворцы, соты, соцветия и многое другое…

И никто их не приводит в порядок специально.

Это справедливо для животных, растений, речных систем и даже для людей:

футбольная команда, толпа на улице или компания друзей… вместе люди способны сотворить много потрясающего (если соблюдают несколько простых правил), и даже если никто не говорит, что нужно делать.

Потому что, как и всё в природе, наш мозг способен к «самоорганизации» без всяких усилий. Мы принимаем миллионы решений каждый день, не задумываясь.

Например — когда вы идёте сквозь толпу, вы не думаете об этом, не назначаете встреч, чтобы составить план прохождения сквозь толпу.

Вы — гений передвижения в потоке!

И даже когда вам приходится принимать достаточно сложные решения

Вы можете беспокоиться, но окончательное решение всё равно приходит из удивительного «недумающего» отдела мозга, потому что импульс, который приводит к действию, исходит не от мысли о нём, а появляется сам собой из смеси:

И это намного больше, чем крохотное облачко, которое мы называем мыслью.

Находясь, в «потоке», мы достаточно расслаблены, чтобы обработать всю информацию, что, в свою очередь, порождает более творческие и эффективные действия.

Это состояние можно даже оценить, измерив длину мозговых волн. Наше мышление становится более открытым, творческим и восприимчивым.

Вот несколько примеров:

Теннисист прекращает «пытаться» улучшить свою игру и учится уделять всё внимание мячу.

Бизнесмен прекращается «пытаться» выстроить своё расписание, занимается чем-то ещё и ждёт, пока решение проблемы в его мозге само

Большинству из нас говорили, что мы должны усердно работать, чтобы добиться таких результатов, но на самом деле ни в одной из этих ситуаций не нужны особые усилия, хотя в них есть и общая деталь — нужно абстрагироваться от активного мышления и оставить всё на волю случая.


И что же делать?

Отпустите стресс. Зачем это нужно? Вы, конечно, понимаете, что стресс вам абсолютно не нужен, но позвольте сказать вот что:

Остановка — первый шаг к выходу из стресса, даже если мы верим в свою продуктивность, из-за переживаний мы нередко действум неэффективно, не осознавая этого. Пауза полезна в любой ситуации: не только во время кризисов и катастроф, но и когда вы пытаетесь завершить проект вовремя или организуете вечеринку. Так вы высвободите пространство, увидите перспективы и замеите, насколько узким стал ваш взгляд на ситуацию.

Просто прекратите делать то, что делаете.


Попробуйте расслабиться, подождать и открыться чему-то новому.

Конечно, невозможно заставить себя отпустить ситуацию, но вы можете просто расслабиться, отказаться от постоянного прокручивания своих мыслей (в том числе о том, что надо расслабиться).


Замечайте, когда напряжение становится слишком велико, прерывайтесь — и ждите.

Ок, а когда мне ждать появление прорывной мысли?


История показывает, что прорывные мысли часто приходят спонтанно: так, например, идея о том, что геометрию и алгебру можно объединить возникла совершенно неожиданно для Декарта, а Макс Планк так охарактеризовал своё состояние в момент создания теории квантов: «После нескольких недель самой напряженной работы в моей жизни тьма, в которой я барахтался, озарилась молнией, и передо мной открылись неожиданные перспективы».


Таким озарениям предшествовала крупная работа, и знания, непосредственно участвовавшие в решении проблемы и находившиеся в разрозненном состоянии, замыкаются в единую целостную структуру. Именно потому, что происходит замыкание и рождается новое знание, озарение не может состояться по частям. Решение возникает сразу полностью и завершается быстро и во много крат короче, чем длится «инкубация».


Для озарения всегда недостает самой «малости», какой-то перемычки, соединяющей в одно наличные фрагменты. Как для замыкания электрической цепи, несущей движение целому парку машин, электропоездов, порой не хватает всею лишь жилки, так и здесь появление грандиозной теории зависит от пустяка.


Когда французский биолог Ш. Николь, открывший пути передачи сыпного тифа, заявил однажды, что озарение обязано только игре случая, Ж. Адамар совершенно резонно прокомментировал: если бы не предварительная работа, идущая нередко годами, то не было бы и открытий. Тогда причины тифа обнаружил бы не Ш. Николь, а кто-либо из его санитарок. Поэтому столь долго и не дается порой решение, что оно замыкается случаем, шанс уловить который тем ниже, чем менее подготовлен к этому исследователь.


Почему вам стоит побыть одному


Вот давайте представим, что вы решаете какую-то серьёзную задачу, не важно из какой области, и у вас всё никак не получается. Что же делать? Собирать коллегию и обсуждать проблему?
А насколько это эффективно?

Ситуации, конечно, бывают разные, но чаще всего это неэффективно и связано это со страхом показаться глупым, страхом осуждения, с перекладыванием ответственности друг на друга, поэтому не торопитесь с обсуждением проблемы со своими коллегами, подумайте сами над проблемой.


Поторопитесь!


Чем дольше вы решаете малые творческие задачи, или, так называемые, задачи на сообразительность, тем меньшую роль при решении играют когнитивные факторы (интеллект, схемы работы с информацией), и тем большую — личностные: эмоции, мотивация и воля.


То есть получаем, что ваша эффективность обратно пропорциональна времени, проведенному за решением задачи.

К тому же, умственная работа тяжелее физической, другими словами, занимает у человека больше энергии, а для продуктивной работы вам совершенно не необходимо переутомление, так что не напрягайтесь и не забывайте об отдыхе.

Григорий Перельман, например, кидал мяч об стену (от чего сосед не был в восторге), чтобы отвлечься от задач или, наоборот, для поиска новых идей.

Переосмысливаем всё и вся


Наш мир искажается до узнаваемости, то есть что-то непривычное мы можем просто не замечать, хотя это что-то может быть совсем рядом, может быть у нас прямо под носом, но тем не менее мы с лёгкостью «пропустим это мимо ушей».


Например, одно племя было отрезано от цивилизации в силу геологических причин, при этом на одном острове с ними находился аэродром, и ни один человек из этого племени не замечал шумных самолётов, поскольку самолётов для них просто «не существовало».


Или возьмём в пример астрономов, которые до Коперника не замечали изменений на звёздном небе, поскольку следовали идеям Птолемея о неизменчивости звёздного неба, при этом китайцы, которые этой идее не следовали, изменения замечали.

Неевклидова геометрия и переосмысление


Традиционная планиметрия на плоскости, которую до сих пор изучают в школе, помогала ещё древним грекам сооружать строения, создавать прямоугольные конструкции, используя теорему, обратную теореме Пифагора, и вообще много чего ещё, но не всё гладко проходило — в этой планиметрии фигурами люди оперируют на плоскости, а живём мы совершенно не на плоскости, так что при расчётах непременно возникали погрешности, а иногда и очень большие.

Скорее всего, люди догадывались о том, что можно изменить существующую геометрию или хотя бы создать новую, в которой измерения были бы наиболее точными, но вплоть до 19 века никаких крупных трактатов на эту тему не было, пока не появился Лобачевский с его «О началах геометрии», в итоге Лобачевский выступил как первый наиболее яркий и последовательный пропагандист новой геометрии.


Не все приняли идеи Лобачевского, видимо, считая его безумцем, тем не менее Лобачевский взял и рассмотрел геометрию с новыми правилами, и позже эти идеи были использованы, например, Эйнштейном в его серьёзных научных работах.


И напоследок


Некоторые ваши идеи могут показаться вам безумными, как, я уверен, Лобачевскому показалось безумной идея о создании новой геометрии, тем не менее безумность не равна бесполезности или бессмысленности.


Революционные (прорывные) идеи всегда кажутся нам поначалу безумными.


Например, Гаусс воздерживался от публикаций на тему новых геометрий, при этом, по-видимому, «дойдя» до этого, раньше Лобачевского, и о его взглядах можно судить лишь по нескольким письмам и дневниковым записям.


Автор этой статьи несколько раз сталкивался с той ситуацией, когда человек, уставая от поиска решения очередной задачи по математике, заглядывает в раздел ответов, и понимает, что такая идея была у него в голове, но он её отвергал по разным причинам: либо слишком странная идея, либо «ну, здесь она точно никак не поможет».

Показать полностью 16
3859

Учитель математики выложил полный курс математических и IT-лекций

Eddie Woo - австралийский учитель математики (внимание - те, кто не особо разбираются в английском, для вас есть перевод некоторых видео, подробнее внизу), лауреат некоторых международных и австралийский премий, одна из его особенностей - харизматичное и увлекательное преподавание математики.


На канале он опубликовал всё самое необходимое как ученикам 7-9 классов, так и старшеклассникам, но и это не всё - одно из последних его видео на тему математической индукции и что вообще значит «Доказательство в геометрии»

Одна из особенностей его видеороликов - отсутствие монотонного и нудного монолога, Eddie Woo активно взаимодействует с классом (прошу прощения, если это звучит как скучное резюме :))


Помимо математических лекций на его канале опубликованы видео на тему экономики (для старшеклассников, так что всё предельно доступно) и на тему IT-технологий (баз данных, систем связи)

Одно из его видео - «Чему равно 0 в степени 0?»

Ну и долгожданный перевод!


А для всех моих друзей, только учащих английский, и/или пока что в нём не особо не разбирающихся, я публикую его видео с субтитрами на русском языке. Вот, например, "Комплексные числа (1 из 2)" - парадокс, но в этом видео нет ничего о комплексных числах. Скорее о том, что такое число и какими числа бывают:

И ещё одно интересное видео, объясняющее, что такое число e (число Эйлера = 2.71828...):

Спасибо за внимание!

Показать полностью 2 3
4592

Математика человеческих ощущений: почему время идёт быстрее, когда мы становимся старше? И не только об этом...

Это не кликбейт — мы непременно ответим на вопрос в заголовке.


А пока эксперимент! Для эксперимента нам понадобятся гири: 100 грамм — три штуки и одна гиря весом 120 грамм.

Если у вас нет гирь, то ничего страшного, просто читайте дальше.


Попросите кого-нибудь положить вам в одну руку гирю весом 100 грамм, в другую — весом 120 грамм, при этом вы не должно знать где какая находится.

И теперь вопрос: какая из этих гирь тяжелее?


Вы, скорее всего, указали на гирю весом в 120 грамм.


А теперь то же самое, только в одну руку гирю весом 200 грамм, в другую — 220 грамм. Ответить, какая из них тяжелее, стало труднее, хотя разница всё так же в 20 грамм. Ещё тяжелее будет, например, определить разницу между 1 килограммом и 1 килограммом и 20 граммами.


Мы подобрались к тому, что обнаружил Эрнст Генрих Вебер в 19 веке

Он провёл тот же самый эксперимент и заключил, что ощущение изменений зависит от величины веса — в общем-то интуитивно очевидное утверждение он первым подтвердил серьёзным экспериментами.


Ну а потом уже в XIX веке на основе многочисленных опытов был сформулирован закон Вебера—Фехнера: в нём изменения ощущений человека количественно связаны с изменением внешних раздражителей.


Предположим, что вы проводите теперь следующий эксперимент: вы воспроизводите для слушателя звук громкостью 50 дб. Теперь понемного увеличивайте громкость (заметьте, что мы не собираемся пытать слушателя), при каком минимальном значении дб звук покажется слушателю более громким? Скорее всего, при 55 дб. Если же первоначальная громкость звука составляет 70 дб, то для того, чтобы слушателю обнаружить повышение громкости, понадобятся 77 дб. Для первоначальных 30 дб разница будет заметна при 33 дб, а для 100 — 110 дб.

Заметьте, что cоотношение в каждом случае будет постоянным, 1: 10.


Так, для яркости разница начинает ощущаться при изменении на 1,2%, а для ощущения вкуса соли — при изменении солености на 20%, а для звука, соответственно, на 10%.


Что же получается? Оказывается, график зависимости нашего восприятия от интенсивности, например, света не выражается прямой линией.

Не так!


Это значит, что если у нас есть 60 свечей и к ним прибавить одну, то мы не почувствуем ту же разницу в изменении освещенности, как если бы мы прибавили к 120 свечам одну свечу. Для 120 свечей уже понадобится две свечи, поскольку для яркости разница начинает ощущаться при изменении на 1,2%:

1,2% от 60 — это 0,72, а это значит, что нам как раз и нужна одна свеча;

1,2% от 120 — это 1,44, а значит, что нам нужно две свечи, одной не хватит.


Получается, что организм человека настроен природой на восприятие изменений «в разы» (скажем, он чувствует рост в 1.2 раза), а не «на сколько‐то», а значит мы можем аналитически сформулировать закон Вебера—Фехнера:

Где S — интенсивность ощущения человека, k — константа, P — сила внешнего раздражителя, q — нижнее пороговое значение силы раздражителя (при q > p раздражитель не воспринимается, то есть ощущений нет)


Можно сказать и так: отношение минимального приращения силы раздражителя, впервые вызывающего новые ощущения, к исходной величине раздражителя есть величина постоянная.


То есть мы можем представить зависимость восприятия от интенсивности в виде следующего графика (отрицательного восприятия у нас нет, поэтому нижняя часть графика закрашена красным цветом):

На втором рисунке мы видим, что если мы изменим интенсивность чего-то (пусть, например, света) с 2 до 3 единиц, то наше восприятие увеличится незначительно (см. желтенький отрезок на «оси» восприятия), и это не то же самое, как если бы мы увеличили интенсивность с 6 до 7 единиц: зелёный отрезок (2) меньше жёлтого, поскольку lg(3/2) > lg(7/6).


Можно ли увеличить размер шоколадки так, чтобы вы этого не заметили?


Можно. И этим как раз пользуются маркетологи, знающие про закон Вебера или хотя бы понимающие, что небольшое изменение размера люди не заметят, а компания при этом сможет сэкономить большие деньги.

Раньше, например, плитка Alpen Gold «Молочный шоколад» весила 100 грамм, сейчас же 90.

Это сейчас:

А это раньше:

В википедии, кажется, никого не волнует, что размер шоколадки изменился. Или есть две версии молочного шоколада - на 90 и на 100 граммов?


Возможно ли серьёзно увеличить стоимость товара так, чтобы этого никто не заметил?


Возможно. Так, например, если увеличить стоимость товара с 1 миллиона 350 тысяч рублей до 1 миллион 390 тысяч рублей, то изменение будет довольно небольшим, всего на 3%, и это изменение не так сильно вас удивит, как изменение стоимости, например, с 50000 до 90000 рублей, хотя и там, и там стоимость товара увеличилась на 40000.

3 месяца вашей жизни


Допустим, что вы совершили преступление и вам грозит 3 месяца ареста, но уже на суде вам решили выдать не 3 месяца, а целых 6. Увеличение произошло на целых 100%! Очень много. Вас это, скорее всего, расстроит.

А теперь допустим, что вам грозит не 3 месяца, а 20 лет, но и тут вам решили прибавить 3 месяца и получилось 20 лет и 3 месяца. В данном случае 3 месяца вас, скорее всего, не сильно расстроят, хотя это те же самые 3 месяца, что и в первом случае.

Но, согласно исследованиям, вам, скорее всего, не добавят эти 3 месяца, поскольку для судей нет никакой разницы «в ощущениях» между 20 годами и 20 годами и 3 месяцами, да и на вас это мало как повлияет

Так вот почему время идет быстрее, когда мы становимся старше

Эта интеративная шкала показывает, как мы чувствуем прожитый год, сравнивая его с нашим «абсолютным» временем

Шкалу придумал консультант по дизайну BMW из Австрии Максимилиан Кинер (Maximilian Kiener), основываясь на высказывании философа Поля Жане.

В упрощенной форме оно звучит так: 10-летний ребенок ощущает 1 год как 1/10 всей своей жизни, а 50-летний человек — как 1/50. Между тем вся жизнь, очевидно, представляет собой постоянную (или же абсолютную) величину. Когда ребенку всего 1 месяц, то неделя составляет четверть всей его жизни, а потому, естественно, кажется вечностью. Если вам 14 лет, 1 год составляет около 7% вашей жизни и тоже представляется довольно большим промежутком. Но в возрасте 30 лет неделя — всего лишь крошечная часть жизни, а год для 50-летнего человека — лишь 2% жизни, поэтому вы субъективно ощущаете эти интервалы как незначительные и уверены, что они проходят очень быстро.

Другими словами, чем дольше мы живем, тем короче кажется каждый год относительно всей нашей жизни.

И помните, если вам кажется, что один год пролетает гораздо быстрее, чем предыдущий, вы не сумасшедший, просто вы становитесь старше.


Поэтому смакуйте каждый счастливый момент, ведь через несколько лет эти минуты радости будут проноситься все быстрее и быстрее

Показать полностью 13
14

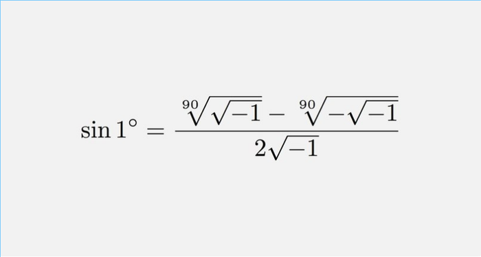
Занимательные факты о синусе угла в 4 картинках

Как думаете, почему так?

Всё просто: 1234567890 = 360 * 3429355 + 90, то есть другими словами на окружности 1234567890 градусов и 90 градусов — это по сути одно и то же, а sin(90 градусов) = 1 — вот почему.


Картинка, которая может поставить вас в тупик:

Квадратный корень из -1 — как же так? Всё просто, если знать, что такое мнимая единица и немного о том, что такое комплексные числа (есть некоторые занимательные видео о комплексных числах, я их опубликую, как только наберу 150 рейтинга - stay tuned!)


Продолжаем...

Это доказательство первого замечательного предела, с которым каждый так или иначе сталкивался в вузе, всего в три строчки. Почему синус угла A, деленной на дугу A, равно единице при уменьшении угла A? А потому что дуга становится мало отличимой от синуса!


И заключительное (менее научпопное, но всё равно интересное)

Можно было бы продолжить эту цепочку от третьего равенства, то есть индуктивно предположить равенство левой части при любом последнем sin(n/(2k+1))/((2k+1)/15) к pi/2, но, как мы видим, уже скоро это равенство нарушается, хотя число в правой части последнего равенство близко к pi/2.


Спасибо за внимание!

Показать полностью 3

Учитель математики выложил полный курс математических и IT-лекций

Eddie Woo - австралийский учитель математики (внимание - те, кто не особо разбираются в английском, для вас есть перевод некоторых видео, подробнее внизу), лауреат некоторых международных и австралийский премий, одна из его особенностей - харизматичное и увлекательное преподавание математики.


На канале он опубликовал всё самое необходимое как ученикам 7-9 классов, так и старшеклассникам, но и это не всё - одно из последних его видео на тему математической индукции и что вообще значит «Доказательство в геометрии»

Одна из особенностей его видеороликов - отсутствие монотонного и нудного монолога, Eddie Woo активно взаимодействует с классом (прошу прощения, если это звучит как скучное резюме :))


Помимо математических лекций на его канале опубликованы видео на тему экономики (для старшеклассников, так что всё предельно доступно) и на тему IT-технологий (баз данных, систем связи)

К сожалению, мой рейтинг не позволяет мне опубликовать хотя бы одно видео из его канала, но вот ссылка на одно из популярнейших его видео: https://youtu.be/r0_mi8ngNnM - «Чему равно 0 в степени 0?»

Ну и долгожданный перевод!


А для всех моих друзей, только учащих английский, и/или пока что в нём не особо не разбирающихся, я публикую его видео с субтитрами на русском языке - https://youtu.be/WnyjtI2uoGA - «Что такое число e и откуда оно взялось?»

И ещё одно - https://youtu.be/7rmnbQZwF20 - раскраска карты - научно-популярное видео (вообще раскраска карты - это серьёзная тема, подробнее можете прочитать тут https://ru.m.wikipedia.org/wiki/Проблема_четырёх_красок)

Спасибо за внимание!

Показать полностью 5
Отличная работа, все прочитано!

Темы

Политика

Теги

Популярные авторы

Сообщества

18+

Теги

Популярные авторы

Сообщества

Игры

Теги

Популярные авторы

Сообщества

Юмор

Теги

Популярные авторы

Сообщества

Отношения

Теги

Популярные авторы

Сообщества

Здоровье

Теги

Популярные авторы

Сообщества

Путешествия

Теги

Популярные авторы

Сообщества

Спорт

Теги

Популярные авторы

Сообщества

Хобби

Теги

Популярные авторы

Сообщества

Сервис

Теги

Популярные авторы

Сообщества

Природа

Теги

Популярные авторы

Сообщества

Бизнес

Теги

Популярные авторы

Сообщества

Транспорт

Теги

Популярные авторы

Сообщества

Общение

Теги

Популярные авторы

Сообщества

Юриспруденция

Теги

Популярные авторы

Сообщества

Наука

Теги

Популярные авторы

Сообщества

IT

Теги

Популярные авторы

Сообщества

Животные

Теги

Популярные авторы

Сообщества

Кино и сериалы

Теги

Популярные авторы

Сообщества

Экономика

Теги

Популярные авторы

Сообщества

Кулинария

Теги

Популярные авторы

Сообщества

История

Теги

Популярные авторы

Сообщества