MaxGammer

MaxGammer

Обучался в Тюменском государственном нефтегазовом университете по специальности «Машины и оборудование нефтяных и газовых промыслов» с 1999 по 2004 г. В 2004 присуждена квалификация «Инженер по специальности «Машины и оборудование нефтяных и газовых промыслов»». К.т. н.
Пикабушник
Дата рождения: 23 сентября
в топе авторов на 888 месте
126 рейтинг 2 подписчика 2 подписки 8 постов 0 в горячем

Противодействия угрозам БПЛА и действия персонала по ликвидации аварий

Количество ударов БПЛА по объектам нефтяной и газовой инфраструктуры значительно возросло, в России, где за осень 2023 года было нанесено не менее 27 атак, а в ноябре — рекордные 14 атак на НПЗ, включая атаки морских дронов и дронов на нефтяные платформы, выводя из строя оборудование и вынуждая перенаправлять экспорт. Точных сводных цифр нет, но тенденция показывает резкое увеличение интенсивности атак с применением дронов на российские ТЭЦ, НПЗ и экспортные терминалы в 2023-2024 годах.

В 2025 году количество ударов БПЛА по объектам нефтегазовой отрасли России значительно возросло: по данным СМИ, их было более 140 атак, что на 50% больше, чем в 2024 году, при этом общая интенсивность атак дронов на российскую территорию выросла в разы, достигая 3,7 тысяч БПЛА в месяц к концу года

Смоделированная в тренажере атака на объект и действия персонала объекта, МЧС и других служб.

Смоделированная в тренажере атака на объект и действия персонала объекта, МЧС и других служб.

Соответственно необходимы решения направленные на снижение ущерба. В данной статье я предлагаю рассмотреть одно из таких решений - Тренажеры для обучения и тренировки руководителей и сотрудников службы безопасности (СБ) и операторов технологических объектов в условиях, максимально приближенных к реальным. Такие тренажеры позволяют отрабатывать действия при различных угрозах, включая вооруженные нападения, террористические акты, диверсии. Акцент обучения в таких тренажерах смещен от подготовки персонала объектов по действиям в случае возникновения аварийных ситуаций (ПЛА, план ликвидации аварий) к подготовке по обучению принятия решения, постановке задач и управлению подразделением службы безопасности при различных атаках на объекты, с учетом действий моделируемых сил противника. Пример таких решений: https://lcontent.ru/product/kompleksnyj-takticheskij-trenazher-interaktivnoj-takticheskoj-podgotovki-i-oznakomleniya-s-poryadkom-dejstvij-rukovoditelej-i-lichnogo-sostava-sluzhby-bezopasnosti-pri-podgotovke-i-vypolnenii-zadach-p/

Ключевые функции и возможности тренажера включают интерактивные сценарии с реалистичными тактическими ситуациями, которые динамически развиваются в зависимости от действий обучающихся. Вариативность решений позволяет отрабатывать как правильные, так и ошибочные действия, что влияет на исход тренировки и помогает лучше усвоить алгоритмы реагирования. Важной частью тренажера является отработка взаимодействия между группами безопасности, включая охрану, группу быстрого реагирования и эвакуационные команды.

После завершения сценария система обеспечивает запись и воспроизведение учений для детального разбора ошибок и анализа действий персонала. Система оценки фиксирует ключевые показатели, включая эффективность принятых решений и слаженность работы команды, а также автоматически генерирует отчеты для контроля уровня подготовки сотрудников с учетом природы ошибок и их места в процессе развития ситуации...

Психологические причины ошибок

Психологические причины ошибок

Ошибки в процессе развития инцидента

Ошибки в процессе развития инцидента

Моделируемые действия противника:

1. Несанкционированный доступ;

Моделирование сигнализации, камер видеонаблюдения и других датчиков в периметре безопасности объекта

Моделирование сигнализации, камер видеонаблюдения и других датчиков в периметре безопасности объекта

2. Атака БПЛА мульти роторного типа;

Моделирование физики полета дронов типа коптер

Моделирование физики полета дронов типа коптер

3. Атака БПЛА типа крыло;

Моделирование физики полета дронов типа летающее крыло

Моделирование физики полета дронов типа летающее крыло

4. Проникновение с целью взрыва;

Моделирование поведения заложников

Моделирование поведения заложников

5. Вооруженный захват;

6. Эвакуация персонала;

Работа тренажера в различных погодных условиях

Работа тренажера в различных погодных условиях

7. Взаимодействие со спецподразделениями (МЧС, Росгвардия) и др.

Имитация попадания БПЛА в тренажере и совместные действия по ликвидации аварии

Имитация попадания БПЛА в тренажере и совместные действия по ликвидации аварии

Моделируемые объекты с учетом местности

  1. Добыча (кусты);

  2. Транспорт (трубопроводы, КНС, ГПА, магистральные насосные и компрессорные станции);

  3. Подготовка нефти и газа (УПН, УПГ, ЦПС);

  4. Система ППД (БКНС, УПСВ);

  5. Переработка (НПЗ);

  6. Энергетика;

  7. Бурение / ТКРС;

  8. АЗС;

  9. АБК, дорожно-транспортные объекты, системы связи, логистика и т.д.

Эффективным оказался подход, моделирующий камеры видеонаблюдения, датчики движения и другие датчики, установленные на объектах в пределах его периметра безопасности.

Мы считаем, что основные преимущества таких средств противодействия – безопасность обучения, так как персонал отрабатывает действия в виртуальной среде без реальных рисков. Реалистичность сценариев достигается за счет детального моделирования возможных угроз и адаптации их под конкретные объекты защиты. Гибкость системы позволяет настраивать тренировки под специфику охраняемого объекта. Кроме того, тренажер обеспечивает возможность многократной отработки сложных ситуаций, что повышает уровень готовности сотрудников к реальным угрозам.

Данный тренажер значительно повышает эффективность подготовки службы безопасности за счет интерактивных и технологичных методов обучения, позволяя персоналу отрабатывать навыки в условиях, максимально приближенных к реальным, без риска для жизни и здоровья.

Дополнительно эффективность подготовки может быть увеличена при использовании тренажеров тушения возгораний и оказания первой помощи одновременно по нескольким методикам - Бубнова, МЧС, красного креста, т.к. различные службы используют разные подходы в этом вопросе. Опыт симуляции разрушений при указанных атаках показал, что в первую очередь необходимы знания, умения и навыки оказания следующих типов первой помощи:

  • Сердечно-легочная реанимация

  • Неотложная помощь при обмороке

  • Неотложная помощь при закрытой травме конечности

  • Неотложная помощь при электротравме

  • Неотложная помощь при артериальном кровотечении

  • Неотложная помощь при венозном кровотечении

  • Неотложная помощь при ожогах

  • Неотложная помощь при обморожении

  • Неотложная помощь при проникающей травме грудной клетки

  • Неотложная помощь при травме головы

  • Неотложная помощь при открытых переломах

Снимок экрана тренажера по оказанию первой помощи

Снимок экрана тренажера по оказанию первой помощи

Снимок экрана тренажера по пожаротушению

Снимок экрана тренажера по пожаротушению

Как всегда, буду раз обсудить данную актуальную (на мой взгляд) тему....

Показать полностью 11
1

Виртуальная экскурсия по буровой установке в VR

Хочу поделится интересным опытом использования VR для задач обучения)

Лекция — устное систематическое и последовательное изложение материала по какой-либо проблеме, методу, теме вопроса и т.д. Семинар — форма учебных практических занятий, при которой учащиеся (студенты) обсуждают сообщения, доклады и рефераты, выполненные ими по результатам учебных исследований под руководством преподавателя. В советской школе семинары предназначались для углубленного изучения различных дисциплин.

Конечно, имитаторы/тренажеры являются только вспомогательным средством при проведении лекций или семинаров по техническим дисциплинам, там, где необходима наглядная демонстрация промышленных объектов, оборудования, принципа его работы, протекающие процессы и т. д. Такие имитаторы имеют достаточно много преимуществ перед традиционными технологиями, такими как презентация, видеофильм и т.д., главным образом в силу того, что тренажером можно управлять, т.е. лектор может производить демонстрацию «в реальном времени», т.е. управлять тем, что видят обучаемые. Если отдельно рассмотреть распределенные имитационные системы, то можно представить, например, следующую ситуацию...

Ведется «массовая» тренировка работы буровой установки, где участниками являются студенты различных кафедр. Присоединившись к этой системе, лектор может показать процесс в «реальном времени» или в необходимых временных промежутках, указать совершенные или совершаемые ошибки, работу оборудования, может сам совершать необходимые действия и т. д.

В целом использование имитаторов при проведении лекций и практик можно сравнить с возможностью «перемещать» лекционную аудиторию вместе со всеми слушателями на любые интересующие лектора производственные участки, комплексы, заводы, самолеты и т.д.

Показать полностью
4

Мультифизическое моделирование технологических схем. Наш опыт

Математическая модель технологической схемы – система математических соотношений, описывающих с требуемой точностью имитируемый объект или процесс (реакцию системы на действия пользователя или инструктора).

Высокая адекватность и универсальность модели тренажера определяет соответствие поведения реальной системы и поведения модели в штатном и аварийном режимах.

Под адекватностью понимается способность модели отражать заданные свойства объекта с приемлемой точностью. Универсальность модели определяется количеством параметров, учитываемых в процессе имитации. Наша компания имеет собственную запатентованную технологию синтеза высокоточных математических моделей, работающих в режиме реального времени.

Мы используем математические модели для моделирования системы в тренажерах для подготовки персонала. Для тренажеров особенное значение имеет идентичность моделируемой среды. Идентичная реальной система – это система, обеспечивающая генерацию модели реальной в соответствии с математической моделью этой реальной системы при помощи программных или аппаратных средств. Идентичность имитируемой системы … это идентичность подачи на основные каналы восприятия пользователя программно- или аппаратно- управляемых воздействий и реалистичной реакции моделируемой среды на производимые пользователями действия.

Итак, что мы сделали....

Разработана технология автоматического синтеза математической модели объекта. Технология повышает качество и технико-экономический уровень создаваемых математических моделей. Поддержка однофазных и многофазных режимов течения жидкости и газа. Точный контроль фазовых состояний веществ во всех элементах модели технологической схемы.

Были созданы следующие модули следующие модули – техническое обеспечение, математическое обеспечение, программное обеспечение, информационное обеспечение, лингвистическое обеспечение, методическое обеспечение, организационное обеспечение, интеграция с другими системами:

математическое обеспечение — совокупность математических методов, моделей и алгоритмов для выполнения проектирования ЦОР (цифровые образовательные ресурсы);

  • Моделирование и симуляция АСУиТП;

  • Мультифизическое моделирование технологических схем;

  • Моделирование и симуляция физических процессов по направлениям

  • Гидродинамика и теплопередача (модифицированная сетчатая модель Больцмана)

  • Электродинамика и оптика

  • Механика (Классическая, Релятивистская, Механика сплошных сред (Гидродинамика, Пневматика, Гидростатика)

  • Химия

  • Механика твёрдого тела

  • Термодинамика жидкостей и газов. Доступные термодинамические модели: Идеального газа; Пенга-Робинсона; Пенга-Робинсона (с модификацией Тву); Соаве-Редлиха-Квонга; Соаве-Редлиха-Квонга (с модификацией Граборски-Дауберта). Для смесей жидкостей доступны следующие термодинамические модели: Чао-Сидера (с модификацией Грейсона-Стрида); Уилсона; NRTL; UNIFAC VLE; UNIQUAC; Регулярного раствора; Расширенная модель регулярного раствора; Идеального раствора.

программное обеспечение — компьютерные программы, реализующие проектирование и предоставление ЦОР;

  • встраиваемый мультипарадигменный язык LUA, интеграция / имплементация

  • стандартов и спецификаций OPC, IEEE1516, XAPI

  • интеграция с OpenModelica

информационное обеспечение — базы данных, содержащие информацию, необходимую для проектирования ЦОР; 

  • База данных фазовых состояний веществ

  • База данных плотности, теплоемкости, молекулярной массы веществ и т.д.

Расчет и визуализация физической модели при помощи метода решетчатых уравнений Больцмана (LBM)

Расчет и визуализация физической модели при помощи метода решетчатых уравнений Больцмана (LBM)

Пример визуализации объекта

Пример визуализации объекта

Пример визуализации объекта

Пример визуализации объекта

  1. Создан графический редактор, позволяющий создавать точную модуль технологической схемы объекта.

2. Создан модуль экспорта из технологической схемы в математическую модель с последующим выполнением пошаговых или непрерывных расчетов

  • Полностью автоматический расчет всех вариантов потоков жидкости и газа.

  • Разработаны универсальные математические модели оборудования, в т.ч.

  • Запорнорегулирующая арматура, гидро-пневмо- трубопровод

  • Пласты-Скважины

  • Печи

  • Обратные клапаны

  • Динамические насосы и компрессоры

  • Объемные насосы и компрессоры

  • Теплообменники

  • Подогреватели

  • СППК

  • Измерительные приборы (манометры, термометры, расходомеры)

3. Создан и тестируется экспериментальный модуль на основе модифицированного метода решетчатых уравнений Больцмана (LBM)

4. Создан и используется последовательная схема расчетов- на базе решения линейных уравнений для нахождения начальных условий с последующим решением с использованием прямых численных итерационных методов на основе найденного приближенного решения и величины шага.

5. Создана точная модель > 10 полномасштабных установок для различных заказчиков (УПППНГ, УПН, УПХГК и т.д.) с точным соответствием данных по хайсису и юнисиму (отклонения не более 5-7%)

Создано значительное количество математических моделей:

  • Колонны

  • Ребойлеры

  • Турбодетандеры

  • Двухфазные и трехфазные сепараторы и т.д.

Создана расширяемая библиотека для предоставления компонентного состава. Высокая точность предоставления компонентного состава нефти и попутного газа:

  • Фракционный состав нефти от C1 до С40+

  • Метан  CH4 

  • Этан  C2H6 

  • Пропан  C3H8 

  • И-Бутан  iC4H10 

  • Бутан  C4H10 

  • И-Пентаны  iC5H12 

  • Пентан  C5H12 

  • И-Гексаны 

  • Гексан  C6H14 

  • И-Гептаны 

  • Бензол  C6H6 

  • Гептан  C7H16

  • И-Октаны  iC8H18 

  • Толуол  C7H8 

  • Октан  C8H18 

  • И-Нонаны  iC9H20 

  • Нонан  C9H20 

  • И-Деканы  iC10H22 

  • Декан  C10H22 

  • Углекислый газ  CO2 

  • Азот  N2 

  • Сероводород  H2S

Разработаны средства высокоточной имитации автоматики (АСУ ТП нижний и верхний уровень)

  • Имитация управляющих устройств

  • Имитация датчиков

  • Имитация алгоритмов контроллеров (ПИД-регуляторы и т.д.)

  • Имитация системы верхнего уровня (SCADA)

Разработан модуль создания сценариев событий

  • Линейная и нелинейная структура

  • Развитые механизмы ветвления сценария

  • Развитые механизмы задания последствий действий или условий

  • Простой графический редактор

  • Связь с математическим описанием объекта

Выполнена поддержка стандартов IEEE1516e, OPC UA, xAPI для взаимодействия с другими системами.

Выполнена интеграция с алгоритмом моделирования процессов, протекающих в электронных схемах SPICE. SPICE (Simulation Program with Integrated Circuit Emphasis). Благодаря полной поддержке данного алгоритма наши тренажеры позволяют выполнять высокоточную симуляцию электрических схем, в том числе:

  • AC анализ (анализ по переменному току)

  • DC анализ (анализ по постоянному току) для слабых сигналов

  • анализ DC transfer curve

  • анализ шумов

  • анализ передаточной функции (входное и выходное усиление малых сигналов и вычисление импеданса)

  • анализ переходных процессов

Выполнена интеграция со свободным открытым программным обеспечением для моделирования, симуляции, оптимизации и анализа сложных динамических систем – OpenModelica, основанным на языке Modelica. Modelica — объектно-ориентированный, декларативный, мультидоменный язык моделирования для компонентно-ориентированного моделирования сложных систем, в частности, систем, содержащих механические, электрические, электронные, гидравлические, тепловые, энергетические компоненты, а также компоненты управления и компоненты, ориентированные на отдельные процессы. По своим возможностям приближается к таким вычислительным средам как Matlab Simulink, Scilab xCos, имея при этом значительно более удобное представление системы уравнений исследуемого блока. Включает блоки:

  • механики

  • электрики

  • электроники

  • электродвигатели

  • гидравлики

  • термодинамики

  • элементы управления и т. д.

Моделирование в OpenModelica

Моделирование в OpenModelica

Примеры использования САПР КИТ

Спасибо за внимание! Буду рад ответить на вопросы.

Показать полностью 9 5
6

Аварии и инциденты на производстве в контексте обучения персонала

Современное производство характеризуется все увеличивающимися темпами внедрения передовых научных, технических, организационных и экономических разработок. Постоянное увеличение доли высокотехнологичного оборудования в нефтегазовом секторе производства, вместе с увеличением сложности оборудования и производственных процессов в целом, сопряжено с возможностью (вероятностью) появления опасных событий, последствиями которых могут являться экономический ущерб, гибель людей, угроза здоровью и безопасности персонала и населения, неблагоприятные воздействия на окружающую среду.

В силу высокой практической значимости, в последнее время и интенсивно ведется исследования, связанные с оценкой, контролем, предотвращением или сокращением рисков. Иными словами, с ростом опасности промышленных объектов закономерно возрастает необходимость в более точных, достоверных методах управления рисками. Наиболее ранние исследования, посвященные управлению рисками рассматривали исключительно надежность конструкции и оборудования, и не рассматривали человека, как элемента этой системы. Фактически, человек существенно влияет на вероятность возникновения опасных событий и ситуаций, что нашло отражение в более поздних исследованиях, где указывалось на необходимость учета влияния «человеческого фактора».

Расширенная информация по аварийности, причинам, последствиям и результатам
контрольно-надзорной работы Ростехнадзора, к сожалению, отсутствует в открытом доступе, но, мне все-таки удалось ознакомится с двумя очень интересными исследованиями по этому опросу. Рассмотрим анализ статистических данных по аварийности на объектах нефтегазодобычи РФ и полученные авторами закономерностей (https://ogbus.ru/article/view/12745, https://doi.org/10.17122/ntj-oil-2021-3-91-104)

За период с 2003 г. по 2019 г. на объектах нефтегазодобычи произошло 258 аварий, в rоторых погибли 287 человек. 2003 г. и 2004 г. – по 20 аварий, смертельного травматизма на 2004 г. – 29 случаев [2]. В целом, по оперативным данным Роструда, в 2023 году было зарегистрировано 5563 несчастных случая, 1565 смертельных случаев [1].

По анализу данных [2] за 2011-2019 г. ежегодный ущерб варьируется от нескольких десятков до нескольких миллиардов рублей. Так, наибольший общий ущерб от произошедших аварий зафиксирован в 2013 г. (2,951 млрд руб.). Средний ущерб от одной аварии - 54 млн руб.

"Но в целом, если отбросить некоторые формальности, получаются довольно интересные факты: в среднем 1 авария уносит жизнь 1 человека и наносит ущерб в размере 54 млн руб. Этой аварии предшествует в среднем 470 инцидентов; 1593 нарушений, выявленных Ростехнадзором; 364 проверок Ростехнадзора; 13 приостановок деятельности; 857 проверок служб ПК; 1607 мероприятий по итогам ПК." [2]

Данные по основным факторам аварийности нефтегазодобычи за 2003–2019 гг. [2]

Данные по основным факторам аварийности нефтегазодобычи за 2003–2019 гг. [2]

Динамика аварийности и смертельного травматизма на ОПО нефтегазодобычи за 2003-2019 гг [2]

Динамика аварийности и смертельного травматизма на ОПО нефтегазодобычи за 2003-2019 гг [2]

Удельный показатель аварийности по различным факторам за период с 2003 г. по 2019 г. [2]

Удельный показатель аварийности по различным факторам за период с 2003 г. по 2019 г. [2]

Особенно интересны выводы авторов [2] - В результате анализа установлено следующее:

  1. На 1 тысячу проверок приходится 4,4 аварий. Коэффициент детерминации R2 = 0,05, что показывает отсутствие связи с аварийностью.

  2. На 1 тысячу выявленных Ростехнадзором нарушений приходится 0,93 аварий. Коэффициент детерминации R2 = 0,05, отсутствует связь.

  3. На 1 млн руб. штрафов, выданных Ростехнадзором, приходится 0,943 аварий. Коэффициент детерминации R2 = 0,20, слабая линейная связь.

  4. На 1 приостановку деятельности ОПО приходится 0,79 аварий. Коэффициент детерминации R2 = 0,01, отсутствует связь.

  5. На 1 тысячу проверок служб ПК предприятий приходится 1,25 аварий. Коэффициент детерминации R2 = 0,01, что показывает отсутствие связи с аварийностью.

  6. На 1 тысячу мероприятий, разработанных службами ПК предприятий, приходится 0,67 аварий. Коэффициент детерминации R2 = 0,24, слабая линейная связь с аварийностью.

Но самое главное - авторы [1] смогли проанализировать основные группы нарушений, по результатам расследования аварий, проверок Ростехнадзора и служб ПК:

Распределение основных характерных нарушений по группам «персонал – оборудование – технологии» [1]

Распределение основных характерных нарушений по группам «персонал – оборудование – технологии» [1]

Этот вывод в точности совпадает с другими, более ранними источниками:

  1. По имеющимся данным (Ростехнадзор, CSB, NTSB) доля человеческого фактора в инцидентах составляет от 35 до 70%

  2. Ученые называют различные цифры, но большинство сходится на том, что из-за ошибок человека происходит 60-80% всех аварий и несчастных случаев. Причем 9 из 10 случаев возникают именно там, где предусмотрены технические средства защиты. Возникают они чаще всего по психологическим причинам. [g1][g2]

  3. Например, любой член обслуживающего персонала, пользуясь неправильными инструкциями для настройки, теоретически может вывести из строя любую систему защиты предприятия. Анализ данных по оценкам частот ошибок операторов (таблица 1.6. [a1, С-275]) свидетельствует, что персонал (оператор) на 99,99% совершенен при выполнении рутинной работы, но оказывает полностью бесполезным при чрезвычайных обстоятельствах.

  4. Несмотря на то, что ошибочные действия персонала являются очень распространенными и очень трудно предсказуемыми, существующие данные о частотах ошибок операторов и обслуживающего персонала (WASH 1400 - приложение III) также указывают на значительную потенциальную опасность данного фактора.

  5. Человеческие ошибки оцениваются в 563 млн. долл. По основным инцидентам в химической промышленности до 1984 года. - Garrison (1989)

  6. 80-90% всех инцидентов в химической индустрии связаны с ошибками человека. - Joshchek (1981)

  7. Исследование 190 инцидентов в хим. пром. вызваны: недостаточными знаниями: 32% - ошибками проектирования: 30% ошибки процесса (методах): 23% ошибки персонала: 15%, - Rasmussen (1989)

  8. Инциденты в нефтехимической промышленности: оборудование и неудачное проектирование: 41% персонал и неудачное обслуживание: 41% недостаточно точное выполнение процедур: 11% недостаточный контроль и проверка: 5% иное: 2% - Butikofer (1986)

  9. Доля человеческого фактора в инцидентах, связанных с пожарами - 58% - Uehara and Hoosegow (1986)

  10. На долю человеческого фактора приходилось от 73% и 67% от общего ущерба в инцидентах на котельных установках - Oil Insurance Association Report on Boiler Safety (1971) (Нефтяная страховая ассоциация)

  11. В работе [a3] приводится следующее: «Скептику предлагается изучить статистику несчастных случаев. Она доказывает, что не технические недостатки, а человеческие факторы являются причиной абсолютного большинства воздушных катастроф и среди них в свою очередь психологические факторы стоят на первом месте.»

  12. Основные причины аварий, приведенные в книге «Анализ аварий и несчастных случаев в нефтегазовом комплексе России» [a4], основанные на имеющихся данных на 1998-2000 гг. также указывают на «человеческий фактор»....

Вывод - более половины нарушений, и соответственно, аварий - связаны с персоналом, т.е. с «человеческим фактором»...

Сам «человеческий фактор» в значительной степени зависит от уровня или степени подготовки персонала, величиной владения персонала специальными знаниями, умениями и навыками. Совершенно очевидно, что процесс формирования указанных знаний, умений и навыков, в свою очередь, зависит от средств и методов обучения. Стремление к снижению «человеческого фактора» сопряжено с поиском и внедрением новых методов и средств обучения, таких как тренажеры, а также нового класса технических средств обучения, использующего вычислительные мощности компьютеров — имитаторов. (Используемые в педагогике классификации средств обучения, относят имитаторы к категории технических средств обучения (ТСО) - системы, комплексы, устройства и аппаратура, применяемые для предъявления и обработки информации в процессе обучения с целью повышения его эффективности.)

"Этим объясняется, на наш взгляд растущее внимание ученых и практиков к системе внутрифирменного образования персонала [3]. Основными противоречиями в системе внутрифирменного обучения персонала нефтяной отрасли являются следующие:

  • между состоянием развития бурового и нефтедобывающего производства, с одной стороны, и имеющимся нау»1но-методическим уровнем разработки производственного обучения и педагогической практики в системе внутрифирменного образования - с другой;

  • между потребностями в модернизации содержания, принципов его отбора и структурирования, форм, методов и средств производственного обучения, адекватных современным задачам переподготовки и повышения квалификации кадров, с одной стороны, и отсутствием научных разработок в области методики производственного обучения в системе внутрифирменного образования - с другой.

Предыдущая работа авторов [Имитаторы на базе программно-аппаратной платформы в техническом образовании. Гаммер М.Д., Сызранцев В.Н., Голофаст С.Л.] была направлена на исследование и решение вопросов классификации имитаторов, ключевых показателей эффективности и систематизации пользовательских требований. Полученные результаты исследования позволяют перейти к решению вопроса применения имитаторов в процессе управления рисками (в менеджменте рисков - https://habr.com/ru/articles/748310/, https://habr.com/ru/articles/511120/, ).

Предлагаемая в данной работе методика базируется на сопоставлении затрат на создание (или покупку) и использование имитаторов в процессе подготовки персонала и уменьшением ожидаемого риска (потерь) предприятия в процессе управления рисками. Уменьшение ожидаемого риска (потерь) предприятия связано с уменьшением величины вероятности человеческого фактора (за счет обучения персонала с использованием тренажеров). Другими словами, предлагается метод использования имитаторов в процессе управления рисками, а именно в процессе анализа величины риска и принятия решений, направленных на снижение риска до пределов, соответствующих приемлемому уровню. Основная идея метода представлена на рисунке -

Зависимость (снижения) производственных потерь от совокупных затрат на создание и использование имитаторов

Зависимость (снижения) производственных потерь от совокупных затрат на создание и использование имитаторов

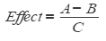
Мы предлагаем новый подход, отличительной особенностью которого является рассмотрение компьютерных имитационных тренажеров (КИТ) не только как технических средств обучения, но и как инструмента управления рисками. При таком подходе эффективность имитатора может быть определена на основе прогнозируемого снижения рисков (потерь) предприятия от ошибочных действий персонала (нарушение режимов и правил эксплуатации оборудования, нарушение технологии и т.д.), уровень подготовки которого формируется на основе применения КИТ («эффект от применения имитаторов  - прогнозируемое снижение рисков в зависимости от затрат на подготовку персонала с использованием КИТ»). Количественная оценка эффективности при данном подходе определяется следующей зависимостью:

где 

А - ожидаемый риск (потери) с учетом текущего значения вероятности влияния человеческого фактора;

В - ожидаемый риск (потери) с учетом уменьшения вероятности влияния человеческого фактора за счет применения имитаторов при подготовке персонала);

С - затраты на разработку (приобретение) и применение (эксплуатацию) имитаторов в процессе подготовки персонала.

Данная зависимость учитывает временной фактор, т. к. вероятности рисков А и B содержат в себе время (за 1 год, 1000000 часов или другой период времени)

При использовании данного подхода эффектность КИТ может быть отнесена не только ко всему риску в целом, но и допускать частные «разрезы», а также иметь разные размерности. Иллюстрацией сказанного выше является пример, приведенный на рисунках 1 и 2. 

Рисунок 1.   Вероятности событий, связанных с человеческим фактором на диаграмме ETA

Рисунок 1.  Вероятности событий, связанных с человеческим фактором на диаграмме ETA

Здесь на диаграммах FTA и ETA цветом отмечены возможные исходы развития аварийной ситуации, связанные с влиянием человеческого фактора. Степень влияния данного фактора определяется (управляется) в процессе подготовки (тренинга) персонала с применением компьютерного имитатора.

Рисунок 2.   Вероятности событий, связанных с человеческим фактором на диаграмме FTA

Рисунок 2.  Вероятности событий, связанных с человеческим фактором на диаграмме FTA

В данном случае эффективность применения технологии может быть определена на основе следующих критериев:

  1. ожидаемое снижение вероятности относительно всех возможных исходов на диаграмме;

  2. ожидаемое снижение вероятности относительно исходов связанных только с человеческим фактором;

  3. ожидаемое снижение итоговой (корневой) вероятности аварии (негативного исхода) (только частота);

  4. ожидаемое снижение итоговой (корневой) вероятности аварии (негативного исхода)  (стоимость*частота) и т. д.

Мы протестировали данный подход, провели серию эксперимернтов и получили положительные результаты, доказывающие реальное снижение аварийности на производстве. Достоверность основных положений и обоснованность результатов этих исследования обусловлены выбором методологических позиций; взаимопроверкой используемых теоретических и эмпирических методов исследования, адекватных его целям, задачам и гипотезе; логической согласованностью научных построений.

Тренажеры, участвующие в эксперименте:

1.Средства индивидуальной защиты (СИЗ, LContent)

  1. ТБиОТ при производстве работ на высоте (LContent)

  1. ПроТБиОТ при производстве грузоподъемных работ (LContent)

  1. ТБиОТ при производстве земляных работ (LContent)

  1. ТБиОТ при работе с СРД и огневые работы (ЦДПО)

Основной эксперимент - формирование и совершенствование знаний и навыков в области промышленной безопасности. Выявление и устранение обнаруженных опасных ситуаций и опасных условий. Принимаемое соответствие нормативной документации:

  • Типовой инструкции для стропальщиков по безопасному производству работ грузоподъемными машинами (ТИ РО-060-2003 и РД 10-107-96)

  • Федеральным нормам и правилам в области промышленной безопасности “Правила безопасного ведения газоопасных, огневых и ремонтных работ” (ПРИКАЗ от 20 ноября 2017 года N 485)

  • Правилам по охране труда при работе на высоте (приказ от 28 марта 2014 г. N 155н «об утверждении правил по охране труда при работе на высоте»)

  • Федеральные нормы и правила в области промышленной безопасности “Правила промышленной безопасности опасных производственных объектов, на которых используется оборудование, работающее под избыточным давлением”

  • ТОИ Р-45-066-97 Типовая инструкция по охране труда при выполнении земляных работ

  • Правилам по охране труда при эксплуатации промышленного транспорта, утверждённые Приказом Минтруда России от 18.11.2020 № 814н

  1. Электробезопасность в установках до 1000 В (Межрегиональная ассоциация развития системы подготовки специалистов нефтегазовой отрасли "Нефтегазовая информационно-образовательная корпорация")

  2. Промышленный транспорт (Межрегиональная ассоциация развития системы подготовки специалистов нефтегазовой отрасли "Нефтегазовая информационно-образовательная корпорация")

  1. Пожарная безопасность (LContent)

10. Цифровой двойник кустовой площадки добывающих и нагнетательных скважин - https://habr.com/ru/articles/766972/

  1. Цифровой двойник буровой установки https://habr.com/ru/articles/844810/

Схема эксперимента

Схема эксперимента

В процессе обработки данных эксперимента....

В процессе обработки данных эксперимента....

Графическое представление характеристики для умений и навыков как функции корректности выполняемых действий от затраченного времени

Графическое представление характеристики для умений и навыков как функции корректности выполняемых действий от затраченного времени

Графическое представление характеристики для умений и навыков как функции ошибки («рассогласования») выполняемых действий от затраченного времени

Графическое представление характеристики для умений и навыков как функции ошибки («рассогласования») выполняемых действий от затраченного времени

Изменение вероятности ошибки персонала в течении времени рабочей смены при разных условиях. (значения умений в течении рабочей смены )

Изменение вероятности ошибки персонала в течении времени рабочей смены при разных условиях. (значения умений в течении рабочей смены )

В результате тренажерной подготовки персонала - полученные значения риска были значительно снижены и соответствуют установленной законодательством и согласованной с заказчиком и заинтересованными сторонами величиной приемлемого риска.

Общие выводы:

"Обосновано, что снижение аварийности на нефтегазовых месторождениях требует комплексного подхода, включающего как технические, так и организационные меры. Необходимо уделить внимание не только техническим аспектам безопасности, но и обучению персонала" [1]

Предложена современная методика использования компьютерных имитационных тренажеров для снижения аварийности на производстве. Достоверность основных положений и обоснованность результатов исследования обусловлены выбором методологических позиций; взаимопроверкой используемых теоретических и эмпирических методов исследования, адекватных его целям, задачам и гипотезе; логической согласованностью научных построений. Получен значительный экономический эффект в результате проведения серии экспериментов.

Источники:

[1] https://ogbus.ru/article/view/12745

[2] https://doi.org/10.17122/ntj-oil-2021-3-91-104

[3] Бродский Сергей Федорович «Методика внутрифирменного производственного обучения персонала с использованием компьютерного тренажера-имитатора :На примере нефтяной отрасли Республики Татарстан» диссертация на соискание ученой степени кандидата педагогических наук Казань - 2004

4.  Гаммер М.Д. Сызранцев В.Н. Голофаст С.Н. Имитаторы на базе программно-аппаратной платформы в техническом образовании. – Новосибирск: Наука, 2011. – 275 с.

5.  Новиков Д.А. Закономерности итеративного научения. М.: Институт проблем управления РАН, 1998. – 77 с.

6.  Новиков А.М. Анализ количественных закономерностей процесса упражнения. Методические рекомендации. М.: Высшая школа, 1976. – 22 с.

7.  Гиниятов И. Г. Разработка тренажерного оборудования для повышения безопасности технологических процессов на нефтегазовых объектах: Дис. … канд. техн. наук. – Уфа, 2009. – 231с.

8.  Сызранцев В.Н., Гаммер М.Д. Виртуальный стенд для испытаний компрессора 4ВУ1-5/9 / В.Н. Сызранцев, М.Д. Гаммер // Региональная научно-практическая конференция “Информационные технологии в образовании”. –  Тюмень: ТюмГНГУ, 2004.

9.  Сызранцев В.Н., Гаммер М.Д. Компьютерные тренажеры для обучения студентов нефтегазового направления / М.Д. Гаммер, К.М. Черезов // Бурение и нефть, 2006. – №10. – С.34 – 36.

10.  Сызранцев В.Н., Гаммер М.Д. Разработка и внедрение компьютерных тренажеров на кафедре МОНиГП в ТюмГНГУ / В.Н. Сызранцев, М.Д. Гаммер // Сборник уч.-мет. мат./ сост. М.М. Афанасенкова, Н.А. Аксенова. – Тюмень: ТюмГНГУ, 2005 – С.134–138.

11.Г. Салвенди. Человеческий фактор. В 6-ти тт. Т. 3. Моделирование деятельности, профессиональное обучение и отбор операторов: Пер. с англ./Эдвардс У., Кинг Сунь Фу, Гарг-Янардан Ч. и др. – (Часть I. Модели психической деятельности). – М.: Мир, 1991, –  487 е.: ил.

Показать полностью 23
3

Цифровые двойники и современная архитектура обучения

Данная статья является в некотором роде обобщением ранее разбираемых мной тем по современным образовательным технологиям, применительно к реальной задаче обучения специалистов в области бурения (персонала буровых установок разведочного и эксплуатационного бурения), а также специалистов в области ТКРС (текущего и капитального ремонта скважин).

На этот раз я попытаюсь показать достаточно интересный эффект, состоящий из ряда преимуществ современных средств обучения, такие как виртуальные лабораторные работы и имитационные тренажеры, ранее мною рассмотренные в предыдущих постах на хабре:

  • Цифровой двойник буровой установки БУ 5000/320ЭУК-Я. Ключевые преимущества

  • Цифровой двойник буровой установки

  • xAPI/CMI5. Полная мощность

  • xAPI vs SCORM. Битва, которая не произойдет

  • Разбор типов электронных образовательных ресурсов

Итак, проблематика - Отдельные структурные компоненты образовательного процесса, такие как лекции, лабораторные работы, практические занятия, курсовое проектирование, тренинг и др. ,как правило, не связаны между собой в том смысле, что результаты выполнения , например, лабораторной работы никак не влияют на выполнение, например, практических работ.

Совершенно логично, задачи ВЛР и тренажеров, например, абсолютно разные. ВЛР - средство получения знаний на основе процесса обработки экспериментальных данных, реализован обучающий физический эксперимент, ставящий целью отработку основных приемов и технологий планирования и проведения эксперимента. Тренажер - Формирование и совершенствование у обучаемых профессиональных навыков и умений, необходимых им для управления материальным объектом.

Практический пример - выполнение обучаемым лабораторной работы "Выбор бурового раствора и определение его плотности" заканчивается результатом - отчетом (и оценкой) и данный результат никак не влияет на последующую практическую работу "Глушение скважины", выполнение которой также заканчивается отчетом (и оценкой) и не влияет на последующие учебные задачи. Таким образом обычно нет никакой связи между полученными результатами выполнения одной учебной задачи и условиями выполнения последующих.

Отчасти это объясняется высокой сложностью реализации таких связей и ,часто, высокими временными или материальными затратами.

А давайте посмотрим, что будет, если мы свяжем отдельные виртуальные лабораторные работы с полноценным имитационным тренажером при помощи хорошо нам известного стека Total Learning Architecture (TLA),а именно:

  • IEEE P9274.1 Experience API (xAPI) 2.0

  • IEEE 1484.12.1 Learner Object Metadata 2.0

  • IEEE 1484.20.1 Reusable Competency Definitions

  • IEEE 1484.2 Interoperable Learning Records

Для этого мы будем использовать xAPI не только для передачи оценки, а будем передавать в систему хранения учебных записей результаты, полученные в ходе экспериментов при выполнении лабораторных работ (рецептура растворов, точных компонентный состав), для последующего их использования в тренажере (тренинг, курсовое проектирование, практические работы) бурения или ТКРС.... и результаты работы тренажера - для последующего использования в качестве входных данных для лабораторных работ.

А именно, создаваемые и анализируемые в рамках лабораторных работ буровые и тампонажные растворы мы будем передавать а емкости тренажеров - для возможности их применения при бурении/ремонте скважин. И, наоборот, пробы раствора взятые в процессе бурения/ремонта скважин мы будем передавать на вход, в качестве исходных образцов лабораторных исследований (в ВЛР). Это дает сразу множество преимуществ - обучаемые могут проверить "в деле" (т.е. в условиях бурения/ремонта скважин) создаваемые ими буровые и тампонажные растворы (как непосредственно сами, так и другими обучаемыми). А это уже именно тот процесс, который реально происходит в реальных рабочих условиях в буровых и сервисных компаниях. Я думаю не стоит объяснять - какие преимущества мы получаем в рамках подготовки специалистов при использовании данного подхода? Можем обсудить в комментариях.

Итак, что у нас получилось.... мы взяли комплекс лабораторных работ “Буровые растворы”, содержащий следующие эксперименты:

  • Определение показателя фильтрации на приборе ВМ-6

  • Определение содержания кальция в буровом растворе

  • Определение продольного набухания глинистых сланцев в динамическом режиме

  • Определение стабильности и суточного отстоя промывочной жидкости

  • Определение содержания песка в промывочной жидкости

  • Определение удельного электрического сопротивления буровых растворов

  • Определение условной вязкости вискозиметром ВБР-1

  • Определение статического напряжения сдвига на приборе СНС-2

  • Определение растекаемости тампонажного раствора

  • Определение плотности цементного теста

  • Определение водородного показателя

  • Измерения консистенции и срока загустевания цементного раствора

  • Измерение водоотдачи цементного раствора

  • Определение сроков схватывания тампонажного раствора

  • Определение седиментационной устойчивости тампонажного раствора

  • Выбор бурового раствора и определение его плотности

При помощи statement (утверждения в рамках терминологии xAPI) "passed" мы передали в систему хранения учебных записей LRS следующую информацию:

  1. Данные эксперимента, время, место, наги обучаемого (открыл, ответил, подошел, прочитал и т.д.) с уточнением места события в модели действий персонала (обнаружение/диагностика/принятие решений и т.д.)

  2. Параметры полученного бурового/тампонажного раствора

  3. Параметры, заданные инструктором/преподавателем

  4. Комментарии инструктора/преподавателя

Процесс работы в лаборатории "Буровые растворы" - стенд для определения PH

Процесс работы в лаборатории "Буровые растворы" - стенд для определения PH

Процесс работы в лаборатории "Буровые растворы" - реактивы

Процесс работы в лаборатории "Буровые растворы" - реактивы

Процесс работы в лаборатории "Буровые растворы" - работа на СНС-2

Процесс работы в лаборатории "Буровые растворы" - работа на СНС-2

Теперь данные о полученных буровых и тампонажных растворах хранятся на сервере системы хранения учебных записей (LRS) и доступны на всех тренажерах, используемых в учебном процессе:

Пример структуры учебного подразделения с точки зрения LRS

Пример структуры учебного подразделения с точки зрения LRS

Теперь мы можем использовать созданные нами буровые и тампонажные растворы в процессе глушения при текущем и капитальном ремонте скважин, а также при возникновении ГНВП (газоводонефтепроявления) , например:

Созданный виртуальный буровой раствор попадает в виртуальный блок приготовления буровой установки

Созданный виртуальный буровой раствор попадает в виртуальный блок приготовления буровой установки

Созданный виртуальный буровой раствор попадает в емкости цементировочных агрегатов (ЦА)

Созданный виртуальный буровой раствор попадает в емкости цементировочных агрегатов (ЦА)

работа обучаемого в тренажере глушения при текущем и капитальном ремонте скважин

работа обучаемого в тренажере глушения при текущем и капитальном ремонте скважин

работа обучаемого в тренажере по ликвидации ГНВП (газо-нефте-водо-проявления)

работа обучаемого в тренажере по ликвидации ГНВП (газо-нефте-водо-проявления)

работа обучаемого в тренажере по ликвидации ГНВП (газо-нефте-водо-проявления) при ТКРС

работа обучаемого в тренажере по ликвидации ГНВП (газо-нефте-водо-проявления) при ТКРС

Работа обучаемого в тренажере буровой установке при бурении и промывке скважины

Работа обучаемого в тренажере буровой установке при бурении и промывке скважины

Созданный виртуальный буровой раствор попадает в виртуальный блок приготовления буровой установки

Созданный виртуальный буровой раствор попадает в виртуальный блок приготовления буровой установки

В процессе бурения берется проба бурового раствора и передается на анализ в лабораторию, т.е. в виртуальные лабораторные работы.

В процессе бурения берется проба бурового раствора и передается на анализ в лабораторию, т.е. в виртуальные лабораторные работы.

Таким образом, у нас получилось, используя современные стандарты и современные технические средства обучения, полностью воспроизвести процесс, который реально происходит в реальных рабочих условиях в буровых и сервисных компаниях. Это, в свою очередь, резко поднимает качество и эффективность учебного процесса в колледжах (СПО), ВУЗ, учебных центрах и других учебных подразделениях, обучающих специалистов в области бурения и капитального ремонта скважин.

Показать полностью 13
10

Гидравлическое сопротивление трубопроводов. Интересный альтернативный метод расчета Черникина А.В

Решая очередную задачу, частично связанную с расчётами гидравлического сопротивления, я в очередной раз столкнулся с проблемой "ступенчатости" функции при переходе от одного режима течения в другой. Как раз эти "ступеньки" часто сбивали мой алгоритм определения гидравлического сопротивления сложной разветвленной гидросистемы.

Для изучения проблемы я набросал небольшой пример в MathCad'е....

Определение величин

Определение величин

Соответственно рассчитал безразмерный коэффициент гидравлического сопротивления трению для пяти режимов (Ламинарный, Зона гладкостенного сопротивления Блазиуса,
Зона гладкостенного сопротивления Конакова, Зона доквадратичного сопротивления Альтшуля, Зона квадратичного сопротивления Шифринсона)

Расчет безразмерного коэффициента гидравлического сопротивления

Расчет безразмерного коэффициента гидравлического сопротивления

Ну и собственно наблюдаем типичную картину точек разрыва функции и её "непрерывность"...

1-3 диапазон

1-3 диапазон

1-3 диапазон

4-5 диапазон

4-5 диапазон

Конечно, задача сгладить данные переходы не является особенно сложной, но.... я вспомнил, что где-то видел формулу, которая ....

[1] Черникин А.В. Обобщение расчета коэффициента гидравлического сопротивления трубопроводов // Наука и технология углеводородов. М.: 1998. №1. С. 21–23.

λ=0,11·[(68/Re+k/D+(1904/Re)^14)/(115·(1904/Re)^10+1)]^0,25

где: k – эквивалентная шероховатость внутренней стенки трубы (средняя высота выступов), м.

Вячеслав Леонидович выполнил проверочные расчеты и выявил, что вышеприведенная формула является наиболее универсальной в широком диапазоне чисел Рейнольдса! Значения, полученные по этой формуле чрезвычайно близки значениям

функции λ=64/Re для зоны ламинарного характера потока в диапазоне 10<Re<1500

функции λ=0,11·(68/Re+k/D)0,25 для зоны турбулентного характера потока при Re>4500;

в диапазоне 1500 < Re < 4500 согласно анализу присутствует переходная зона.

Проверяем на практике...

Результат приятно удивил....

1-3 диапазон

1-3 диапазон

4-5 диапазон

4-5 диапазон

Проблем с непрерывностью больше нет, остаются вопросы к отличию значений на втором диапазоне, но это ,я думаю, отдельная тема....

И вот, мой алгоритм заработал как нужно, что и требовалось) Надеюсь метод Черникина А.В. будет полезен для коллег)

Показать полностью 7
4

Тренажерная подготовка персонала

Сегодня хочется написать про увеличение востребованности тренажеров в современной промышленности с одновременным резким увеличением количества неправильных, неэффективных и просто опасных тренажеров и (как следствие) - разочарование и печальный опыт многих и многих специалистов в области обучения персонала современного производства.

В данной статье постараюсь внести ясность и разобрать, почему так происходит. Начнем пожалуй с постановки вопросов:

  1. Аварии и инциденты зависят от ошибок персонала?

  2. «Человеческий фактор» зависит от уровня подготовки персонала?

  3. Вероятности ошибок на тренажере равна вероятности ошибок в реальных условиях?

  4. Как получить положительный и отрицательный перенос навыков при обучении на тренажерах на условия реальной работы?

Да, еще нужно договорится о терминах:

Тренажер в данной статье определяется как техническое средство профессиональной подготовки обучаемого, предназначенное для формирования и совершенствования у обучаемых профессиональных навыков и умений, необходимых им для управления материальным объектом путем многократного выполнения обучаемыми действий, свойственных управлению реальным объектом.

Под ошибкой персонала предлагается один из нескольких взаимодополняющих вариантов трактовок:

«Ошибка — это результат действия, совершенного неточно или неправильно, вопреки плану. В случае ошибки результат, который уже получен, не соответствует намеченному или заданному, требуемому. Ошибка — это факт практики.».

«Ошибка человека определяется как невыполнение поставленной задачи (или выполнение запрещенного действия), которое может явится причиной повреждения оборудования или имущества либо нарушения нормального хода запланированных операция»

«Надежность работы человека определяется как вероятность успешного выполнения им работы или поставленной задачи на заданном этапе функционирования системы в течении заданного интервала времени при определенных требованиях к качеству выполнения работы»

С первым вопросом (Аварии и инциденты зависят от ошибок персонала?) все достаточно очевидно - множество исследований доказывают прямую зависимость, например по данным Ростехнадзора и U.S. Chemical and Hazard Investigation Board (CSB) доля человеческого фактора в убытках составляет от 35% до 70%. Вопрос закрыт.

Ответ на второй («Человеческий фактор» зависит от уровня подготовки персонала?) также можно увидеть в, например, отчетах комиссий Ростехнадзора относительно причин аварий и инцидентов:

  • Слабые знания персонала относительно требований безопасности ведения работ,

  • Недостаточная подготовленность (психологическая и квалификационная) персонала;

  • Недостаточная эффективность обучения и инструктажа персонала по вопросам безопасности;

  • Несогласованные и ошибочные действия персонала в условиях чрезвычайной ситуации;

  • Неправильные действия обслуживающего персонала по ведению технологического процесса.;

  • Ошибки персонала при проведении необходимых измерений.

  • Несвоевременное обнаружение предаварийной ситуации при наличии характерных признаков.

  • Несвоевременное принятие мер по устранению аварии.

  • Нарушение технологии и регламента выполнения работ.

  • Не предусмотрены мероприятия для ликвидации возможных аварий.

  • Низкая технологическая дисциплина;

  • Неосторожные или несанкционированные действия при выполнении работ;

  • Ненадлежащее проведение инструктажа и т. д.

А вот с вопросом № 3 (Вероятности ошибок на тренажере равна вероятности ошибок в реальных условиях?) все немного сложнее. Простой ответ есть - да, если тренажер идентичен реальной системе и нет, если тренажер не имеет с реальной работой ничего общего. Но что такое - "Идентичность"?

Давайте немного поговорим про идентичность моделируемой среды. Идентичная реальной система – это система, обеспечивающая генерацию модели реальной в соответствии с математической моделью этой реальной системы при помощи программных или аппаратных средств. Идентичность имитируемой системы … это идентичность подачи на основные каналы восприятия пользователя программно- или аппаратно- управляемых воздействий и реалистичной реакции моделируемой среды на производимые пользователями действия.

Обратите внимание на "генерацию модели реальной в соответствии с математической моделью этой реальной системы при помощи программных или аппаратных средств".

В случае отличия имитатора от реальной системы изменяется эффективность не только обучения, но и главным образом эффективность переноса (обучаемый может «научиться» работе на имитаторе, но не на реальном объекте), существует вероятность отрицательного переноса навыков на условия реальной работы, т. е. человек будет делать ошибки, будучи точно уверенным что так как раз и правильно (Справедливо для операционного и для предметного обучения).

Вот наша первая «зацепка» — адекватная и универсальная математическая модель, как основа тренажера. А ведь как раз тренажеры, где нет этой самой модели (или одна формула из школьного учебника физика за 7й класс, остальное сплошные условные переходы типа «повернул рычаг» — «обороты 1000» — «повернул еще раз» — «Обороты ноль») и вызывали разочарование и печальный опыт специалистов в области обучения персонала.

Теперь давайте перейдем сразу к вопросу о том, как получить отрицательный перенос навыков при обучении на тренажерах на условия реальной работы, т.е. о том как сделать неэффективный или даже опасный тренажер, а потом ответим на вопрос получить положительный перенос и таким образом сделать эффективный и полезный тренажер.

Тут недавно задали мне супер вопрос - а как сделать тренажер с отрицательной эффективностью, максимально отрицательной...... аж задумался. По факту я знаю как сделать неэффективный тренажер, более того сделал таких немало (по молодости думал что эффективные, мудрость появилась позже)), знаю как сделать эффективный, и также делал таких немало... и даже эксплуатируем и те и эти тренажеры в своем учебном центре..... но вот чтобы максимально вредный, тут я задумался, прям сильно....

Дал следующий ответ.... Главное - это не быть специалистом в предметной области, желательно быть ортодоксальным методологом или экономистом или поэтом, т.е. вообще ничего не знать из предметной области тренажера..... ни одного спеца из предметной области в команде... это для начала. Затем нужно убрать математическую модель (или заменить примитивной логикой, дабы все-таки типа модель "была") и многопользовательский режим, это сделает эффективность уже точно нулевой, но еще не отрицательной..... затем нужно взять VR и криво отрисовать модели (например под видом снижения количества полигонов и ненужных деталей), желательно криво ими еще и управлять (лучше всего использовать стандартные компоненты, там все идеально криво) + использовать закрытую архитектуру и шкалу оценки от 1 до 5, желательно максимально оторванный от реальности сценарий (лучше всего прям повторять регламент без вникания и осознания) и главное не смотреть успешные практики и рекомендации, а по максимуму делать велосипеды.... вот так я ответил). На рисунке изобразил вот так:

Ну вот как-то так. Теперь по порядку. Начнем с того, что очень часто разработчики «тренажеров» не имеют своего специалиста в предметной области. Это плохо, очень плохо. Мнение что «Преподаватель не обязан знать предмет, он обязан учить», попытка использования в тренажерах для хард‑навыков опыт и подходы из «софтов» конечно убивают любую эффективность тренажеров создаваемых такими командами на корню.

Специалисты из «игровой» сферы, также не являющиеся специалистами в предметной области тренажера, естественно, рисуют красиво, но не точно, не правильно. Когда таких спрашиваешь, например, про «расположение объектов к геокоординатам, рельефу, розу ветров, климату», получаешь как правило ответ «да зачем это все»?

Ответим так:

И так:

И так:

И так:

И так

Отдельно еще стоит обратить внимание на то, что в большинстве плохих "тренажеров" обучаемый - супер герой без усталости с суперсилой и скоростью. В реальности же конечно человек устает, очки запотевают, задвижку открыть не так легко и не так быстро и т.д.

слева - VR, справа - железо

слева - VR, справа - железо

Еще отмечу что очень не любят делать у нас копии щитов управления и подобные вещи, ну очень не любят. Вопрос почему тоже понятен, посмотреть на YouTube как сделать VR приложение за 15 минут и начать делать "настоящие тренажеры" и сделать реально качественный продукт - две большие разницы)

Использование перчаток в "VR-тренажерах" тоже редкость, почему-то создателям проще крутить задвижки и нажимать кнопки в VR-пространстве зажимая в руках джойстики, что абсолютно не естественно. Хотя с перчатками проблем нет никаких, мы делали и делаем...

Ну и самое главное - конечно математические модели. Они должны быть в тренажерах, естественно, как и интерфейсы оператора, как и вся АСУиТП.

Но в тренажерах (которые вызывали разочарование и отрицательный опыт у учебных центров) их нет. От слова "совсем". Надо признать, что у уважаемых нами коллег, давно работающих в сфере энергетики, ВПК, навигации и многих других областях конечно все хорошо и с математическими моделями и с АСУТП.... но вот у "современных и супер эффективных" с этим все совсем плохо.

<a href="https://pikabu.ru/story/trenazhernaya_podgotovka_personala_11883276?u=https%3A%2F%2Fwww.youtube.com%2Fwatch%3Fv%3Dr_TJknHHfy0&t=https%3A%2F%2Fwww.youtube.com%2Fwatch%3Fv%3Dr_TJknHHfy0&h=ce8d623afa6605b7a77a0ebe8b685fac097df164" title="https://www.youtube.com/watch?v=r_TJknHHfy0" target="_blank" rel="nofollow noopener">https://www.youtube.com/watch?v=r_TJknHHfy0</a>

https://www.youtube.com/watch?v=r_TJknHHfy0

Как правило современные математические модели должны не просто быть в тренажерах, но и должны иметь (для нефти и газа например) точный контроль фазовых состояний веществ во всех элементах модели технологической схемы, универсальные математические модели оборудования ( Запорно-регулирующая арматура, Пласты-Скважины, Печи, Обратные , клапаны, Динамические насосы и компрессоры, Объемные насосы и компрессоры
Теплообменники, электродегидраторы, Подогреватели, сепараторы, СППК, факельная система, РВС, Измерительные приборы (манометры, термометры, расходомеры…), иметь высокую точность предоставления компонентного состава нефти и попутного газа (Фракционный состав нефти от C1 до С40+, Метан CH4, Этан C2H6, Пропан C3H8,
И‑Бутан iC4H10, Бутан C4H10, И‑Пентаны iC5H12 Пентан C5H12, И‑Гексаны Гексан C6H14, И‑Гептаны, Бензол C6H6, Гептан C7H16 и т. д.)

Современные редакторы математической модели, применяемые в тренажерах, должны, на наш взгляд, иметь и более продвинутые технологии расчета, такие как LBM и комбинированные итерационные численные методы, а не ограничиваться системами линейных и диф. уравнений.

И конечно полная имитация АСУТП - без нее никак)

Закрытая архитектура - плохо для заказчика, он не может совместно использовать тренажеры разных разработчиков и т.д.

Ну и в заключение про аналитику. Я писал на HABR про то «почему оценка это плохо», да, плохо. Термин «человеческий фактор» обычно связывают с ошибками человека, а также с его психофизиологическими и психологическими ограничениями. Несмотря на кажущуюся простоту, во многих случаях достаточно трудно определить причину ошибки – человек или обстоятельства, например, в условиях стресса или действия сторонних раздражителей, при снижении ресурса организма (усталости), при ошибочных показаниях приборов (неисправности). В приведенной ситуации, переход от правильных решений или действий к ошибочным перестает иметь четко выраженные границы, т.е. во многих случаях, вопрос «кто виноват?», сам человек и обстоятельства может не иметь простого ответа.

Вот такие мысли к вопросу о тренажерной подготовке у меня появились. Спасибо за внимание.

Показать полностью 18
13

Реальная эффективность современных средств обучения (VR)

Вернемся к вопросу оценки эффективности систем формирования виртуальной реальности в контексте обучения персонала, т. е. при использовании VR в компьютерных имитационных тренажерах.

Тема данного поста является актуальной, поскольку в образовательном сообществе есть запрос на исследование эффективности VR.

Одним из направлений развития имитационного моделирования технологических процессов и оборудования современного производства является применение компьютерных имитационных тренажеров (КИТ) для обучения персонала. Система ввода-вывода таких имитаторов может быть выполнена:

  1. с использованием стандартных средств (клавиатура/мышь);

  2. с использованием точной копии органов управления;

  3. с использованием VR;

  4. VR + реальные копии систем управления;

  5. AR и другие варианты.

Внедрение КИТ в образовательный процесс закономерно ставит вопрос об оценке эффективности тренажеров как технических средств обучения (ТСО). Отдельным вопросом является оценка эффективности указанных выше технологий в рамках различных тренажеров.

Отсутствие универсальных методик, позволяющих количественно оценивать эффективность применения тренажеров и применяемых технологий взаимодействия с обучаемыми, приводит к взаимонепониманию между разработчиками и заказчиками данных средств обучения и не дает возможности обоснованно внедрять КИТ в процесс подготовки персонала современных предприятий.

Поэтому, для оценки эффективности систем формирования виртуальной реальности (VR) в составе компьютерных имитационных тренажеров, для сравнения с другими применяемыми технологиями необходимо: определится с методиками оценки эффективности, применить эти методики для выборки наиболее показательных тренажеров, применяемых для обучения персонала.

Расположение учебных центров, использующих VR-тренажеры

Расположение учебных центров, использующих VR-тренажеры

Оценка эффективности построена на базе аналитики 79 учебных центров (использующих VR-тренажеры), с учетом данных об обучении 4423 специалистов и на основе более 2000 часов тренажерной подготовки за 2022 год. Сбор и обработка данных обучения осуществлены на основе стандарта xAPI вместе с опросом инструкторов учебных центров.

Методики оценки эффективности

На сегодняшний день существует четыре основных подхода к оценке эффективности компьютерных имитационных тренажеров.

1 подход

В основе данного подхода лежит оценка экономической эффективности процесса обучения, под которой понимается отношение стоимости обучения на КИТ к стоимости обучения на реальном оборудовании (объекте). Как правило, определяется соотношением

[1]

[1]

где:

A – стоимость покупки (разработки) и внедрения КИТ, руб;

B – стоимость эксплуатации и ремонта КИТ (за определенный период), руб;

C – стоимость реального оборудования или его покупки (изготовления) и внедрения для процесса обучения, руб ;

D – стоимость эксплуатации и ремонта оборудования (за определенный период), руб;

t1 – время необходимое для обучения персонала с использованием КИТ;

t2 – время, необходимое для обучения персонала с использованием реального оборудования.

Данный подход в большинстве случаев свидетельствует о достаточно высокой «эффективности» тренажеров , имеет наибольшее распространение и отличается простотой расчетов, однако не учитывает качество подготовки персонала.

2 подход

При данном подходе оценивается «педагогическая» эффективность, т.е. «уровень» знаний, умений и навыков (ЗУН), полученный обучаемым при обучении на

[2]

[2]

где:

А – «уровень ЗУН», достигнутый после обучения на КИТ;

В – начальный «уровень» ЗУН (до обучения);

С – достигнутый «уровень ЗУН» после обучения на реальном оборудовании;

Основным отличием данного подхода является учет следующего комплекса факторов, характеризующих КИТ как ТСО:

  • возможность провести на компьютерном имитаторе большее, чем на реальном оборудовании количество циклов обучения (или тренинга) за одно и то же время;

  • обеспечение индивидуальной и (или) самостоятельной работы обучаемых;

  • возможность визуального наблюдения внутренней структуры изучаемого оборудования, микро- и макрообъектов, технологических и природных процессов или явлений;

  • возможность «масштабирования по времени» изучаемых процессов или явлений;

  • возможность визуального наблюдения абстрактных понятий или концепций (например, визуализация накопления усталостных повреждений) и т. д.;

  • возможность быстрого изменения конфигурации оборудования и параметров среды.

  • оценка возможных последствий в случае неверных действий или ошибочных решений обучаемого;

  • интерес к имитаторам, отсутствие ответственности и опасности, наличие возможности «экспериментировать»;

  • возможность применения имитаторов при самостоятельной работе обучаемых и т. д.

Однако учет данных факторов при количественной оценке эффективности
имитаторов с точки зрения повышения качества обучения, вызывает значительные трудности.

Основой разработанных на сегодняшний день методов определения «педагогической» эффективности при данном подходе является оценка восприятия и объема запоминаемой обучаемым информации, что можно легко измерить. Здесь следует отметить, что в вопросе эффективности восприятия и запоминания информации наблюдается большая схожесть взглядов исследователей. С целью повышения достоверности оценки эффективности обучения при реализации данных методов предложено учитывать следующие факторы:

  • временные (время реакции, выполнения действия или операций, время, затрачиваемое на исправление ошибки и т.д.);

  • скоростные (производительность труда, скорость реакции, движения и т.д. – величины, обратные времени);

  • точностные (величина ошибки в мерах физических величин (миллиметрах, углах и т.п.), количество ошибок, вероятность ошибки, вероятность правильного действия и т.д.);

  • информационные (объем заучиваемого материала, перерабатываемой информации, объем восприятия и т.д.).

Следует отметить и другие факторы, такие как развитие творческих способностей, профессиональной интуиции и т.д. Но единого мнения о необходимости учета данных факторов и, как следствие, соответствующих методик, не существует.

Основными недостатками методов, реализуемых при данном подходе, является:

  • применение «педагогических шкал» и «матриц компетенций», которые сложно связать с каким либо экономическим эквивалентом;

  • необходимость оценки эффективности как результата переноса навыков из учебных условий на условия реальной работы.

По данной причине подход, связанный с количественной оценкой «педагогической» эффективности требует дальнейшего развития. При увеличении популярности и дальнейшем развитии имитаторов как технических средств обучения можно ожидать появления новых результатов исследований в данной области.

3 подход

Основой данного подхода является оценка адекватности (степени схожести реального и имитируемого при помощи КИТ объекта или процесса) как меры эффективности КИТ. Данный подход сфокусирован на решении вопроса «насколько точно КИТ воспроизводит реальное оборудование и процессы». Его основным плюсом является то, что реализующие его методы учитывают следующие факторы, характеризующих КИТ как ТСО:

  • уровень соответствия (подобия) синтезируемого изображения оригиналу;

  • уровень соответствия синтезируемого звукового окружения оригиналу;

  • уровень соответствия механизмов управления оригиналу;

  • уровень соответствия условий окружающей среды (температура, давление, влажность, ветровая нагрузка и т.д.)

  • адекватность и универсальность математических моделей, применяемых в иммитаторе;

  • возможность работы в реальном времени и т.д.

Как правило, определяется соотношением:

[3]

[3]

где:

Amath–адекватность математической модели (включая область адекватности);

Auniversal– универсальность математической модели;

AGraphic– уровень соответствия синтезируемого изображения;

Asound– уровень соответствия синтезируемого звукового окружения;

Acontrol– уровень соответствия механизмов управления;

wi– соответствующие «веса» факторов.

В  качестве основного недостатка методов, реализующих данный подход, является необходимость применения экспертных оценок (при задании «весов» факторов и границ факторов на этапе разработки требований к имитатору). Рассматриваемый метод позволяет учитывать финансовые затраты при заданных уровнях адекватности, но не имеет прямого отношения к эффективности обучения (утверждение «чем более точно имитатор соответствует реальному оборудованию - тем лучше» не во всех случаях напрямую влияет на качество обучения).

Следует отметить достаточно интересную разновидность данного подхода - адекватность с точки зрения сенсорных процессов и восприятия. В этом случае уже решается вопрос не «как точно имитируется оборудование и различные технологические процессы?», а «насколько сильно различие в восприятии между обучением на КИТ и обучением на реальном оборудовании?». т. е. акцент смещается с оборудования на обучаемого. Для оценки адекватности (или схожести) восприятия необходимо проведение дорогостоящих и сложных исследований, т. к. таком подходе уже необходимо учитывать множество физиологических показателей:

  • eye-трекинг (слежение за траекторией взгляда);

  • биохимические изменения в крови обучаемого;

  • регистрация электрической активности  головного мозга и т. д.

В целом данный подход представляет значительный интерес не только с точки зрения оценки эффективности имитаторов, но и оценки профессиональной пригодности персонала к определенному виду деятельности (например, выявление физиологических или умственных ограничений при допуске к некоторым видам оборудования или работ).

4 подход

Обобщенная эффективность - определяется на основе обобщений результатов 1, 2 и 3 подходов. При данном подходе количественно эффективность КИТ определяется следующей зависимостью:

[4]

[4]

где:

А - экономическая эффективность, применительно только к процессу обучения;

В - педагогическая эффективность, т. е. «уровень» знаний, умений и навыков  до и после обучения;

С -  адекватность КИТ;

wi - соответствующие «веса» факторов (видов эффективности КИТ).

Основным преимуществом данного подхода является комплексный  учет факторов, характеризующих КИТ как ТСО (учет всех особенностей КИТ). При этом необходимо отметить следующие недостатки:

  • влияния каждого фактора определяется методом экспертных оценок, который по сути своей является субъективным и в значительной степени зависит от опыта и квалификации экспертов;

  • размерность получаемой «эффективности» существенно затрудняет применение данного подхода при экономическом обосновании разработки, приобретения или применения компьютерного имитатора для подготовки персонала.

Несмотря на указанные выше недостатки данный подход достаточно часто применяется на этапах принятия решений о приобретении КИТ: «в работе под эффективностью тренажера понимается его соответствие целям и задачам обучения, а также способностью обеспечивать и поддерживать ЗУН при приемлемых затратах на приобретение и эксплуатацию».  

5. Предлагаемый метод

Основываясь на анализе приведенных выше подходов для оценки эффективности компьютерных имитаторов, авторами предложен новый подход, отличительной особенностью которого является рассмотрение КИТ не только как ТСО, но и как инструмента управления рисками. При таком подходе эффективность имитатора может быть определена на основе прогнозируемого снижения рисков (потерь) предприятия от ошибочных действий персонала (нарушение режимов и правил эксплуатации оборудования, нарушение технологии и т.д.), уровень подготовки которого формируется на основе применения КИТ («эффект от применения имитаторов  - прогнозируемое снижение рисков в зависимости от затрат на подготовку персонала с использованием КИТ»). Количественная оценка эффективности при данном подходе определяется следующей зависимостью:

[5]

[5]

JwtyА - ожидаемый риск (потери) с учетом текущего значения вероятности влияния человеческого фактора;

В - ожидаемый риск (потери) с учетом уменьшения вероятности влияния человеческого фактора за счет применения имитаторов при подготовке персонала);

С - затраты на разработку (приобретение) и применение (эксплуатацию) имитаторов в процессе подготовки персонала.

Данная зависимость учитывает временной фактор, т. к. вероятности рисков А и B содержат в себе время (за 1 год, 1000000 часов или другой период времени)

При использовании данного подхода эффектность КИТ может быть отнесена не только ко всему риску в целом, но и допускать частные «разрезы», а также иметь разные размерности.

В данном случае эффективность КИТ может быть определена на основе следующих критериев:

  • ожидаемое снижение вероятности относительно всех возможных исходов на диаграмме;

  • ожидаемое снижение вероятности относительно исходов связанных только с человеческим фактором;

  • ожидаемое снижение итоговой (корневой) вероятности аварии (негативного исхода) (только частота);

ожидаемое снижение итоговой (корневой) вероятности аварии (негативного исхода)  (стоимость*частота) и т. д.

Рассматриваемые тренажеры

Были отобраны 15 тренажеров и виртуальных лабораторных работ для оценки эффективности применения системы формирования виртуальной реальности. Стоит отметить, что речь не идет о полной замене реального оборудования тренажерами, а их использование в качестве дополнения.

A. Тренажер буровой установки для геологоразведочного бурения методом ССК на твердые полезные ископаемые (Колонковое бурение) ZBO S15.

Тренажер представляет собой стенд – имитатор буровой установки с 3D анимацией на базе пульта гидравлической буровой установки. Комплекс предназначен для обучения и проверки навыков машинистов буровой установки в процессе бурения скважин, их умения реагировать на изменение параметров, возникновение предаварийных и аварийных ситуаций, в виртуальных условиях, позволяя иметь представление о работе оборудования на реальном объекте. Математическая модель, размещаемая на персональном компьютере, функционально соответствует буровому тренажеру – имитатору. На экране отображаются с одной стороны пульт буровой установки, с другой – 3D модель. Возможно подключение VR на базе HTC Vive Cosmos Elite / Pro2 с трекерами для отслеживания рук или перчатками Tau Tracker.

Эффективность по методике №1. Эффект = (1 000 000р + 1000р * 30 дней) против (14 000 000 р. + 40000р * 90 дней), т.е. экономическая эффективность обучения на тренажере выше в 17 раз.

Эффективность по методике №2. Эффект = (91%-20%) против (76-20%), т.е. эффективность обучения на тренажере примерно на 20-30% превышает обучение на реальном объекте. Это объясняется возможностью тренажера за меньшее время выполнить больше учебных заданий (ускорение времени и т.д.)

Эффективность по методике №3. Эффект = 80% от реального (100%), в т.ч. точность математической модели и качество реализации процессов графически было оценено экспертами-инструкторами.

Обобщенная эффективность по методике №4. Эффект = 347%, т.е. эксперты-инструкторы оценили эффективность использования тренажера в 3 раза выше, чем использование реального оборудования.

Эффективность по методике №5. Данные о допускаемых ошибках на тренажере и статистика реальных аварий и нарушений позволяет сделать вывод о эффективности тренажера = (8 000 000 р - 4 000 000 р) / 1000000 р , т.е. эффективность тренажеров в 8 раз выше эффективности обучения только на реальном оборудовании.

Стоит отдельно отметить эффективность использования VR вместо экрана. Эффективность VR оценена нами в процессе эксплуатации данного тренажера в учебном центре ЦДПО г. Тюмень в течении 2х лет - с VR эффективность возрастает примерно в 2 раза, за счет интереса обучаемых и их более полного погружения.

Программно-аппаратный комплекс по “Электросварка”

Рассмотрим сразу в варианте AR и VR реализации. . Видео на YouTube: Программно‑аппаратный комплекс по «Электросварка» и Тренажер сварки HTC VIVE + trackers.

Тренажер обеспечивает обучение четырем видам ручной сварки: полуавтоматической в защитных газах, ручной неплавящимся электродом в инертных газах, ручной дуговой и механизированной сварки порошковой проволокой, во всех рабочих положениях. Выполнена имитация переноса металла при полуавтоматической сварке: струйный, крупнокапельный, короткой дугой. Имитация дефектов сварки — прожоги, наплывы, брызги и т. д.

Виртуальное сварочного производство

Виртуальное сварочного производство

Комплекс позволяет производить обучение как при помощи VR средств (Cosmos Vive Elite/Pro2). Назначение компьютерного имитационного тренажера “Электросварка” – формирование и совершенствование знаний и навыков электрической сварки.

VR-вариант

VR-вариант

Решение на AR вместо использования системы HTC LightHouse (трекеры HTC Vive) имеет значительно более низкую эффективность. Точность и скорость AR-трекинга в сравнении с трекерами HTC Vive намного ниже. Кроме того, вместо сварочного производства (VR) мы видим реальное окружение (AR), что также снижает эффективность.

AR-вариант

AR-вариант

Эффективность по методике №1. Эффект = (1 000 000р + 1000р * 90 дней) против (100 000 р. + 10000р * 90 дней), т.е. экономическая эффективность обучения на тренажере примерно одинакова, но, стоит понимать, что для реального сварочного аппарата нужно соответствующее помещение, если учесть этот факт, то экономическая эффективность тренажера будет выше.

Эффективность по методике №2. Эффект = (70%-0%) против (60-0%), т.е. эффективность обучения на тренажере примерно на 10-20% ваше чем обучение на реальном сварочном аппарате. Это объясняется следующими преимуществами тренажера:

  • Полная имитация различных типов сварочных аппаратов, свариваемых изделий, СИЗ, дополнительно: поворотные сварочных столы, монтажные столы, спец.устройства, используемые при сварке.

  • Показ последствий некачественного шва через время.

  • Показ дефектов шва в разрезе, снижение свойств шва со временем, т.е. наблюдение внутренней структуры шва и ускорение времени с показом последствий.

  • Возможность сварки любых изделий любыми электродами и в любых средах.

  • Не нужен профессиональный индивидуальный инструктор который следит за процессом обучения, т.к. в тренажере уже имеется виртуальный инструктор.

  • Дополнительные модули – нарушения при проведении сварочных работ, промышленная безопасность, такелажные и стропальные работы, работы на высоте и т.д. – расширяют функционал тренажера.

  • Возможность использования в системах управления обучением (LMS) с передачей аналитики обучения в систему хранения учебных записей.

  • Совместимость с открытой платформой полигон – возможность бесшовной стыковки с другими тренажерами, в т.ч. для совместной работы.

  • Полная имитация различных типов сварочных аппаратов, свариваемых изделий, СИЗ, дополнительно: поворотные сварочных столы, монтажные столы, спец.устройства, используемые при сварке.

  • Показ последствий некачественного шва через время.

  • Показ дефектов шва в разрезе, снижение свойств шва со временем, т.е. наблюдение внутренней структуры шва и ускорение времени с показом последствий.

  • Возможность сварки любых изделий любыми электродами и в любых средах.

  • Не нужен профессиональный индивидуальный инструктор который следит за процессом обучения, т.к. в тренажере уже имеется виртуальный инструктор.

  • Дополнительные модули – нарушения при проведении сварочных работ, промышленная безопасность, такелажные и стропальные работы, работы на высоте и т.д. – расширяют функционал тренажера.

  • Возможность использования в системах управления обучением (LMS) с передачей аналитики обучения в систему хранения учебных записей.

  • Совместимость с открытой платформой полигон – возможность бесшовной стыковки с другими тренажерами, в т.ч. для совместной работы.

  • Полная имитация различных типов сварочных аппаратов, свариваемых изделий, СИЗ, дополнительно: поворотные сварочных столы, монтажные столы, спец.устройства, используемые при сварке.

  • Показ последствий некачественного шва через время.

  • Показ дефектов шва в разрезе, снижение свойств шва со временем, т.е. наблюдение внутренней структуры шва и ускорение времени с показом последствий.

  • Возможность сварки любых изделий любыми электродами и в любых средах.

  • Не нужен профессиональный индивидуальный инструктор который следит за процессом обучения, т.к. в тренажере уже имеется виртуальный инструктор.

  • Дополнительные модули – нарушения при проведении сварочных работ, промышленная безопасность, такелажные и стропальные работы, работы на высоте и т.д. – расширяют функционал тренажера.

  • Возможность использования в системах управления обучением (LMS) с передачей аналитики обучения в систему хранения учебных записей.

  • Совместимость с открытой платформой полигон – возможность бесшовной стыковки с другими тренажерами, в т.ч. для совместной работы.

Эффективность по методике №3. Эффект = 75% от реального (100%), в т.ч. точность математической модели и качество реализации процессов графически было оценено экспертами-инструкторами.

Обобщенная эффективность по методике №4. Эффект = 150%, т.е. эксперты-инструкторы оценили эффективность использования тренажера на 50% выше, чем использование реального оборудования.

Эффективность по методике №5. Данные о допускаемых ошибках на тренажере и статистика реальных аварий и нарушений позволяет сделать вывод о эффективности тренажера = (2 600 000 р - 600 000 р) / 1000000 р , т.е. эффективность тренажеров в 2 раза выше эффективности обучения только на реальном оборудовании.

Стоит отдельно отметить эффективность использования VR вместо AR. Эффективность VR оценена нами в процессе эксплуатации данного тренажера в учебном центре ЦДПО г. Тюмень в течении 1х года- с VR эффективность возрастает примерно в 2 раза, по сравнению с AR.

Эксплуатация промышленного транспорта - погрузчики

Назначение компьютерного имитационного тренажера – формирование и совершенствование знаний и навыков в области охраны труда при эксплуатации промышленного транспорта. Решаемые задачи: выявление и устранение обнаруженных опасных ситуаций и опасных условий; формирование и контроль знаний по правилам охраны труда при эксплуатации промышленного транспорта; работа на дизельных и электро- погрузчиках с различными грузами. Поддерживается как работа на PC так и на VR. Видео.

Пример нарушения при работе с вилочным погрузчиком

Пример нарушения при работе с вилочным погрузчиком

Эффективность по методике №1. Эффект = (1 000 000р + 1000р * 30 дней) против (3 000 000 р. + 10000р * 90 дней), т.е. экономическая эффективность обучения на тренажере выше почти в 4 раз.

Эффективность по методике №2. Эффект = (87%-0%) против (72-0%), т.е. эффективность обучения на тренажере примерно на 10-15% превышает обучение на реальном объекте. Это объясняется возможностью тренажера за меньшее время выполнить больше учебных заданий в различных площадках и с различными грузами, а также позволяет отработку аварийных и опасных ситуаций.

Эффективность по методике №3. Эффект = 90% от реального (100%), в т.ч. точность математической модели и качество реализации процессов графически было оценено экспертами-инструкторами.

Обобщенная эффективность по методике №4. Эффект = 214%, т.е. эксперты-инструкторы оценили эффективность использования тренажера в 2 раза выше, чем использование реального оборудования.

Эффективность по методике №5. Данные о допускаемых ошибках на тренажере и статистика реальных аварий и нарушений позволяет сделать вывод о эффективности тренажера = (2 000 000 р - 1 000 000 р) / 1000000 р , т.е. эффективность тренажеров в 2 раза выше эффективности обучения только на реальном оборудовании.

Стоит отдельно отметить эффективность использования VR вместо экрана. Эффективность VR оценена нами в процессе эксплуатации данного тренажера в учебном центре ЦДПО г. Тюмень в течении 2х лет - с VR эффективность возрастает примерно в 1.5-2 раза, за счет интереса обучаемых и их более полного погружения.

Аналогичные результаты получены для тренажеров специального и промышленного транспорта, причем с ростом стоимости реального оборудования кратно увеличиваются преимущества тренажеров.

Тренажерный комплекс снегоболотохода

Тренажер снегоболотохода – это техническое средство обучения персонала, которое имитирует работу снегоболотохода. Это устройство представляет собой специальный тренажер, который позволяет симулировать различные условия для вождения снегоболотохода, такие как глубокий снег, ледяные поверхности, кочки и другие препятствия. Тренажер снегоболотохода позволяет обучаемому научиться правильно управлять транспортным средством в различных условиях, а также развивает навыки реакции и координации движений. Он оснащен специальными датчиками и программным обеспечением, которые позволяют точно воспроизводить движения снегоболотохода и создавать реалистичные условия для тренировки. Использование тренажера снегоболотохода позволяет снизить риски для обучаемого и повысить эффективность обучения, так как он позволяет тренироваться в безопасных условиях, не выезжая на открытую местность. Кроме того, этот тренажер может быть использован как для начинающих, так и для опытных водителей, которые хотят улучшить свои навыки вождения снегоболотохода.

Используются три телевизора для передачи картинки в режиме ПК и шлем Pico4 в режиме трансляции при использовании в VR.

Эффективность по методике №1. Эффект = (1 500 000р + 2000р * 30 дней) против (14 000 000 р. + 50000р * 90 дней), т.е. экономическая эффективность обучения на тренажере более чем в 10 раз превосходит реальное оборудование.

Эффективность по методике №2. Эффект = (70%-0%) против (60-0%), т.е. эффективность обучения на тренажере примерно на 10% превышает обучение на реальном объекте. Это объясняется возможностью тренажера за меньшее время выполнить больше учебных заданий (разные условия, погодные, климатические и т.д.)

Эффективность по методике №3. Эффект = 70% от реального (100%), в т.ч. точность математической модели и качество реализации процессов графически было оценено экспертами-инструкторами.

Обобщенная эффективность по методике №4. Эффект = 200%, т.е. эксперты-инструкторы оценили эффективность использования тренажера в 2 раза выше, чем использование реального оборудования.

Эффективность по методике №5. Данные о допускаемых ошибках на тренажере и статистика реальных аварий и нарушений позволяет сделать вывод о эффективности тренажера = (14 000 000 р - 2 000 000 р) / 1000000 р , т.е. эффективность тренажеров более чем в 10 раз выше эффективности обучения только на реальном оборудовании.

Стоит отдельно отметить эффективность использования VR вместо экрана. Эффективность VR оценена нами в процессе эксплуатации данного тренажера в учебном центре ЦДПО г. Тюмень в течении 3х месяцев - с VR эффективность незначительно выше.

Электромонтажные работы

Видео

Назначение компьютерного имитационного тренажера “Электромонтажные работы” – формирование и совершенствование знаний и навыков по электромонтажным работам. Точность математической модели электросхем обеспечивается за счет использования библиотеки SPICE.

Учебно-тренировочные задачи:

  • Применение измерительных приборов.

  • Установка и подключение розетки, выключателя.

  • Параллельные и последовательные электрические цепи.

  • Монтаж автоматов защиты.

  • Монтаж щитков.

  • Подключение различных типов двигателей, насосов.

  • Подключение УЗО и диф. автоматов.

  • Технические требования и технология прокладки электропроводки типа ПРД, ПРВД, АППВ, ППВ и др.

  • Правила монтажа и маркировки кабеля в общей сети.

  • Установка и подключение электрооборудования.

  • Монтаж ячеек ГРЩ, ВРУ, ШУ; Установка и подключение приборов учета электроэнергии.

  • Монтаж заземления.

Реализованные сценарии

  • Ознакомление с применяемым оборудованием инструментами

  • Изучение видов, назначения и принципа действия модульных элементов

  • Сборка схемы электроснабжения коттеджа

Тренажер может быть использован в двух режимах: с использованием стандартных средств ввода-вывода и с использованием системы формирования виртуальной реальности (VR).

Эффективность по методике №1. Эффект = (100 000р + 2000р * 30 дней) против (1 200 000 р. + 2000р * 30 дней), т.е. экономическая эффективность обучения на тренажере более чем в 10 раз превосходит реальное оборудование.

Эффективность по методике №2. Эффект = (90%-0%) против (70-0%), т.е. эффективность обучения на тренажере выше на 20%.

Эффективность по методике №3. Эффект = 90% от реального (100%), в т.ч. точность математической модели и качество реализации процессов графически было оценено экспертами-инструкторами.

Обобщенная эффективность по методике №4. Эффект = 400%, т.е. эксперты-инструкторы оценили эффективность использования тренажера в 3 раза выше, чем использование реального оборудования.

Эффективность по методике №5. Данные о допускаемых ошибках на тренажере и статистика реальных аварий и нарушений позволяет сделать вывод о эффективности тренажера = (1 000 000 р - 100 000 р) / 100 000 р , т.е. эффективность тренажеров более чем в 8-9 раз выше эффективности обучения только на реальном оборудовании.

Стоит отдельно отметить эффективность использования VR вместо экрана. Эффективность VR оценена нами в процессе эксплуатации данного тренажера в учебном центре ЦДПО г. Тюмень в течении 2х лет- с VR эффективность обучения значительно выше, увеличение составляет около 80-90%.

Заключение

На этом первая часть закончена. Благодарю за внимание. Если тема вызовет интерес, могу подробно рассмотреть эффективность тренажеров (VR\PC) из других областей, например:

  • Тренажер водогрейного котла КВ-ГМ-58.2-150 с газомазутными горелками.

  • Тренажер процесса приготовления препарата из бактерий и метод окраски

  • Доврачебная помощь на борту самолета

  • Тренажер цеха кузовного ремонта и покраски

  • Кустовая площадка нефтегазодобывающих скважин

Литература

  1. Гаммер М.Д. Сызранцев В.Н. Голофаст С.Н. Имитаторы на базе программно-аппаратной платформы в техническом образовании. – Новосибирск: Наука, 2011. – 275 с.

  2. Новиков Д.А. Закономерности итеративного научения. М.: Институт проблем управления РАН, 1998. – 77 с.

  3. Новиков А.М. Анализ количественных закономерностей процесса упражнения. Методические рекомендации. М.: Высшая школа, 1976. – 22 с.

  4. Гиниятов И. Г. Разработка тренажерного оборудования для повышения безопасности технологических процессов на нефтегазовых объектах: Дис. … канд. техн. наук. – Уфа, 2009. – 231с.

  5. Г. Салвенди. Человеческий фактор. В 6-ти тт. Т. 3. Моделирование деятельности, профессиональное обучение и отбор операторов: Пер. с англ./Эдвардс У., Кинг Сунь Фу, Гарг-Янардан Ч. и др. – (Часть I. Модели психической деятельности). – М.: Мир, 1991, –  487 е.: ил.

Показать полностью 17
Отличная работа, все прочитано!

Темы

Политика

Теги

Популярные авторы

Сообщества

18+

Теги

Популярные авторы

Сообщества

Игры

Теги

Популярные авторы

Сообщества

Юмор

Теги

Популярные авторы

Сообщества

Отношения

Теги

Популярные авторы

Сообщества

Здоровье

Теги

Популярные авторы

Сообщества

Путешествия

Теги

Популярные авторы

Сообщества

Спорт

Теги

Популярные авторы

Сообщества

Хобби

Теги

Популярные авторы

Сообщества

Сервис

Теги

Популярные авторы

Сообщества

Природа

Теги

Популярные авторы

Сообщества

Бизнес

Теги

Популярные авторы

Сообщества

Транспорт

Теги

Популярные авторы

Сообщества

Общение

Теги

Популярные авторы

Сообщества

Юриспруденция

Теги

Популярные авторы

Сообщества

Наука

Теги

Популярные авторы

Сообщества

IT

Теги

Популярные авторы

Сообщества

Животные

Теги

Популярные авторы

Сообщества

Кино и сериалы

Теги

Популярные авторы

Сообщества

Экономика

Теги

Популярные авторы

Сообщества

Кулинария

Теги

Популярные авторы

Сообщества

История

Теги

Популярные авторы

Сообщества