Тяжёлые чёрные дыры: новый взгляд на расширение Вселенной
Автор: Денис Аветисян
Исследование показывает, что учёт массы чёрных дыр в спектре стандартных сирен позволяет значительно повысить точность определения постоянной Хаббла.
Оценка постоянной Хаббла и масштаба массы посредством анализа "темных сирен" позволила получить одномерные апостериорные распределения и двумерные контуры, демонстрирующие [latex]1sigma и 2sigma уровни доверия для модели FullPop-4.0 (синий цвет) и разработанной модели массы (розовый цвет).
Включение нового параметра массы в спектр чёрных дыр улучшает ограничения на постоянную Хаббла, полученные с помощью гравитационных волн, на 36,2%.
Традиционные методы измерения космологических параметров сталкиваются с ограничениями, обусловленными количеством доступных источников данных. В работе 'Heavy Black-Holes Also Matter in Standard Siren Cosmology' исследуется влияние нового параметрического моделирования спектра масс двойных черных дыр на оценку постоянной Хаббла. Показано, что учет особенностей в распределении масс черных дыр, в частности, наличие тяжелых компонентов, позволяет улучшить точность определения постоянной Хаббла на 36.2% при использовании стандартных сирен. Какие еще скрытые закономерности в масс-спектре черных дыр могут раскрыть новые горизонты в космологических исследованиях?
Космическая гонка за скоростью расширения Вселенной
Определение скорости расширения Вселенной, известной как постоянная Хаббла, остается одной из главных задач современной космологии. Существующие методы измерения дают противоречивые результаты, что вызывает озабоченность среди ученых. Однако, наблюдения гравитационных волн открывают принципиально новый, независимый способ измерения расстояний до далеких объектов и, как следствие, уточнения значения этой фундаментальной константы. Коллаборация LIGO-Virgo-KAGRA, регистрируя сигналы от слияния компактных объектов, таких как черные дыры и нейтронные звезды, предоставляет необходимые данные для этих измерений. Извлечение точных космологических параметров из этих сигналов требует сложного анализа и учета различных систематических погрешностей, связанных с особенностями наблюдательной аппаратуры и процессами обработки данных. Этот подход обещает пролить свет на природу расширения Вселенной и разрешить существующее напряжение между различными методами определения постоянной Хаббла.
Анализ данных гравитационных волн, представленный розовым цветом, согласуется с данными о скорости расширения Вселенной, полученными Planck и SH0ES, и демонстрирует схожие результаты с фидуциальной моделью GWTC-4.0 (синий), используя как спектральные, так и темные сирены.
Космические Сирены: Измерение Расстояний во Вселенной
Метод «Стандартных Сирен» позволяет напрямую измерять расстояния до источников гравитационных волн, предоставляя непосредственную оценку постоянной Хаббла, характеризующей скорость расширения Вселенной. В дополнение к этому, инновационный метод «Спектральных Сирен» использует внутренние свойства самих источников - в частности, распределение масс сливающихся объектов - для определения их красного смещения, которое связано со скоростью удаления. Этот подход особенно ценен, поскольку не требует обнаружения электромагнитного излучения от событий, расширяя тем самым горизонты наблюдаемой Вселенной. Успех метода «Спектральных Сирен» напрямую зависит от глубокого понимания распределения масс в популяциях компактных двойных систем, то есть от того, как часто встречаются объекты разной массы, сливающиеся вместе.
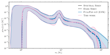
Анализ данных GWTC-4.0 позволил оценить эволюцию массы в рамках модели темных сирен, выявив наиболее вероятные значения (сплошные линии) и 68%-ные доверительные интервалы для минимальной и максимальной масс, а также для трех гауссовых пиков, характеризующих распределение масс.
Расшифровка звездной массы: новый взгляд на Вселенную
Существующие модели распределения массы звезд часто основываются на упрощенных предположениях, что может приводить к погрешностям при определении расстояний до далеких объектов. Предлагаемая новая модель, учитывающая три отдельных пика в распределении массы, предоставляет более точное представление о реальном разнообразии масс звезд. Это особенно важно для изучения так называемого «пробела в массе» между нейтронными звездами и черными дырами, что значительно повышает надежность анализа «сирен» - сигналов, используемых для измерения расстояний во Вселенной. Благодаря более точному моделированию распределения массы, включая ранее не замеченную особенность при массе около 63.3−4.8+4.8 солнечных масс, данная модель закладывает прочный фундамент для определения расстояний и уточнения параметров космологических измерений, позволяя взглянуть на Вселенную с новой степенью точности.
Медианные формы апостериорного предсказательного распределения первичного масс-спектра, полученные с использованием FullPop-4.0 (синим цветом) и нашей модели (розовым цветом), заключены в области, соответствующие 68% доверительному интервалу.
Уточнение Вселенной: Байесовский подход к измерению скорости расширения
Для анализа данных и определения параметров Вселенной применялась иерархическая байесовская методика, учитывающая различные источники неопределенности. Этот подход особенно важен для корректной интерпретации результатов, поскольку он учитывает так называемые ‘эффекты отбора’ - влияние чувствительности детекторов на зарегистрированные события. Обработка данных из каталога GWTC-4.0 позволила получить оценки постоянной Хаббла, характеризующей скорость расширения Вселенной, в 78.8−15.3+19.0 км/с/Мпк (по методу ‘Спектральных сирен’) и 82.5−14.3+16.8 км/с/Мпк (по методу ‘Темных сирен’). Эти результаты демонстрируют улучшение точности на 36.2% по сравнению с предыдущими оценками, полученными Лиго-Вирго сотрудничеством. Кроме того, благодаря новой модели масс, область корреляции между постоянной Хаббла и параметром, описывающим массу звездных систем, уменьшилась с 104.9 до 55.8 км/с/Мпк M⊙, что свидетельствует о значительном повышении точности измерений. Использование данных о гравитационной волне, зарегистрированной в 2017 году (GW170817), позволило улучшить точность оценки постоянной Хаббла на 12.9%.
Исследование, представленное в данной работе, углубляется в сложные взаимосвязи между гравитационными волнами, спектром масс чёрных дыр и определением постоянной Хаббла. Авторы демонстрируют, что учет нового свойства в спектре масс чёрных дыр позволяет значительно улучшить точность определения этой ключевой космологической величины. Этот подход, использующий «стандартные сирены», подчеркивает необходимость строгой математической формализации упрощений в моделях, что согласуется с философским взглядом на научные теории как на временные конструкции. Как говорил Макс Планк: «Научные истины не абсолютны, они лишь наиболее вероятные на данный момент». Данная работа, наряду с концепцией излучения Хокинга, отражает глубокую связь между термодинамикой и гравитацией, указывая на то, что любое упрощение модели требует тщательной проверки и обоснования.
Что дальше?
Представленные расчёты, как и любой инструмент в арсенале космолога, лишь приближение к истине. Улучшение точности определения постоянной Хаббла на 36.2% посредством учёта особенностей в масс-спектре чёрных дыр - не триумф, а констатация того, что предыдущие модели были неполными. Каждый новый параметр, каждая скорректированная кривая - это попытка удержать свет в ладони, а он, как известно, ускользает.
Проблема «массового разрыва» остаётся тёмным пятном. Поиск чёрных дыр, заполняющих эту область, и детальное изучение их свойств, вероятно, станет следующим этапом. Однако, даже если эти «пропавшие звенья» будут найдены, не стоит полагать, что это станет окончательным ответом. Вселенная, возможно, принципиально не желает быть понятой до конца, и каждый новый «решённый» вопрос порождает лишь дюжину новых.
Стандартные сирены, основанные на гравитационных волнах, предлагают мощный, но всё же ограниченный взгляд на космос. Улучшение детекторов, расширение частотного диапазона и, что самое важное, разработка новых методов анализа данных - всё это необходимо. Но даже самые совершенные инструменты не смогут обойти фундаментальную неопределённость, присущую любому научному исследованию.
Полный обзор с формулами: avetisyanfamily.com/tyazhyolye-chyornye-dyry-novyj-vzglyad-na-rasshirenie-vselennoj
Оригинал статьи: https://arxiv.org/pdf/2601.03257.pdf
Связаться с автором: linkedin.com/in/avetisyan



















