7

Ответ oldfox2003 в «Выработка кислорода растением, которую можно увидеть в воде»

Я не буду прикреплять какие-то невероятные расчеты. Лишь приложу парочку своих фоток. У меня простенький любительский аквариум, на крутой акваскейп не претендую. Но даже у меня ежедневно пузыряют растения в аквариуме. При грамотном балансе света, удобрений и СО2 растения неизбежно начнут пузырять. В среде аквариумистов это называется перлингом.

Дорожки пузырьков в кадр попали скорее случайно, специально за ними не гонялась. Но это не какое-то уникальное явление. Чаще конечно просто листик с обратной стороны покрыт мелкими пузырьками, которые постепенно объединяются в более крупные и в итоге срываются с листа к поверхности воды. Но и мелкие дорожки увидеть можно.

Ну и ссылка на видео с профильного ресурса, где все объясняют понятным языком.

Показать полностью 2 1
8

Ответ Gebein в «Выработка кислорода растением, которую можно увидеть в воде»

Не, не будет легендарной. Garde, toucher, a droit, toucher, a droit, toucher a droit

Да, дуэли действительно не вышло, так как ни одного опровержения по сути вы @Gebein, не привели, ни альтернативного пошагового расчёта, ни указания где я был бы неправ в самом расчёте – даже если предположить такую глупость, что я считаю, что кислород вышел из углекислоты – как это меняет баланс реакции и расчёт? Никак.

У вас претензия, что я не посчитал всё с супер точностью, а целью поста было оценить сверху – такое при обычных условиях может быть или нет. Даже при завышенных параметрах – нет. Всё, дальше точно считать не имеет смысла.

А вы скатываетесь в банальные оскорбления «вы как ребёнок», «ловлю вас как второклассника», «давайте поможем нашему интеллектуалу», «высокомерный высер» и т.д. вплоть до «докопаться до орфографии», так как не понимаете некоторых переходов (например, про объём моля газа), а вместо того, чтобы вежливо спросить, раздражаетесь, злитесь и переходите на оскорбления.

1. Это ответы опять таки на комменты в виде «плохой биолог», «типичный диванный учёный» и т.д. – то есть переходы на личности, не опровержение расчётов хотя бы. Претензии, что я как-то невежливо на это отвечаю – это как претензии к тому, кто дал отпор хулигану: «а ты будь умнее, что ты его один раз ударил, когда он тебя 5 лет каждый день доставал и оскорблял?».

Никаких комментариев и претензий к расчётам у них не было. Причём я такое явление не опровергаю, я описываю условия на видео, а не когда к бедному растению подсоединили с одной стороны шланг с СО2, а с другой – «шланг света» и подают это в товарных количествах.

2. Проведённая мною оценка – это оценка сверху. Не супер точное воспроизводство и моделирование эксперимента.

3. «Вы как ребёнок радуетесь, что у вас цифры больше, якобы это что-то доказывает, но это лишь показывает, что вы отказываетесь учитывать в расчетах простейшие свойства света.» – переход на личности и игнорирование того, что мне не нужно досконально посчитать, а только оценить сверху.

4. Я взял озеро, в котором после 1 метра останется только 6 %, то есть поглотится 94 %, и посчитал, что за 20 сантиметров поглотится 10 % точно (а по факту, если прямо считать – то поглотится 94/10*2 =18,8 процентов – если для простоты считать линейно поглощение), то есть я взял меньшее значение, тем самым завысив показатели, опять.

Про вашу картинку – описка, поглощается красный цвет, конечно же, так как зеленый и синий проходят дальше всего, именно поэтому родофиты – красные водоросли – самые глубоководные.

5. Понять это можно из описания предыдущих пунктов, где сказано, что углекислота идёт на генерацию глюкозы. Фраза – только указание на баланс реакции. Попытка представить, что я не знаю, что кислород из воды в фотосинтезе – ну такое.

6. Про моль – это про растворённые доли. Если в 1 литре воды растворено 0,738 объёмов/доли газа, то в скольком объёме воды растворён моль углекислого газа? Указание и расчёт очевидны и приведены в исходном посте.

7. С диффузией всё очень просто. Растение поглощает углекислоту. Её становится в недостатке. Она начинает диффундировать по градиенту. В отсутствии перемешивания диффузия будет очень медленная при таком коэффициенте.

8. Пузырьки из шины именно такие. Более того, когда-то читал советскую книгу, где было предложено аэрировать аквариум из шины, опустив шланг от неё подотвернув золотник, а в шланге наделать мелкие дырочки – и картина была именно такая.

9. Действительно, что я привязался к молям в газообразном виде, если оцениваю, какого объёма будет пузырёк _газа_ в воде? Бред какой-то :)

Показать полностью
17

Ответ oldfox2003 в «Выработка кислорода растением, которую можно увидеть в воде»

Здрасьте ещё раз!
С удовольствием принимаю ваш вызов.

Пройдёмся по пунктам? =)

1) Претензия, что вы невежливо отвечаете.
Знаете, это даже не претензия, а констатация факта. Вы так расстроились из-за комментария господина odinizvseh ? Конечно он весьма резкий и не оставляет возможности для дискуссий. Более того, обилие таких комментариев отбивает всякое желание что-то постить. Помнится, на эту тему уже было обсуждение на Пикабу. Между тем, вы и другим людям отвечали схожим образом. Вот пара скринов, раз уж мы кидаемся друг в друга пруфами:

Там есть ещё, если что ;)

Там есть ещё, если что ;)

Вам совершенно справедливо указывают, что вообще-то такое явление как перлинг бывает, и комментаторы лично его наблюдали, и что у комментаторов есть замечания к вашим расчетам и претензии к вашим комментариям, а вы их высокомерно отбриваете. Действительно, зачем с людьми общаться, и отвечать по существу, ведь у вас есть диплом биолога с отличием.
Я видел эту вашу манеру вести переписку, поэтому и не постеснялся это указать.

2) Что ж вы сами сказали, что вы не знаете, что там за лампа, и что вы специально завысили значения. Если вы думаете, что можете брать любые значения, какие хотите и на их основании проводить расчеты, то разочарую вас: вы получите какой-то результат, но он будет описывать ту модель эксперимента, которая у вас в голове. И не факт, что эта модель действительно описывает реальный мир. Вы апеллируете к философии и говорите про логику, но складывается впечатление, что вы плохо понимаете такие понятия как доказательность, обоснованность и достоверность.

3) Вы как ребёнок радуетесь, что у вас цифры больше, якобы это что-то доказывает, но это лишь показывает, что вы отказываетесь учитывать в расчетах простейшие свойства света. И самое интересное, что дальше только хуже:

4) Скажите, пожалуйста, а откуда вы всё-таки взяли 10% поглощения?
Вы пишите, что

Я использовал эту оценку как озера – на 1 метр глубины (и тоже занизил поглощение, то есть завысил результат).

Вот ваша картинка:

Подпись с сайта: Спектральная прозрачность предельно чистой воды в сравнении с различной природной водой

Подпись с сайта: Спектральная прозрачность предельно чистой воды в сравнении с различной природной водой

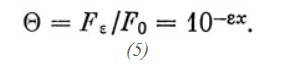
А вот по вашей ссылке ещё формула:

Формула для расчёта коэффициента пропускания водой направленного света (она же формула показателя прозрачности воды). С того же сайта.

Формула для расчёта коэффициента пропускания водой направленного света (она же формула показателя прозрачности воды). С того же сайта.

Θ - это прозрачность воды. Чем она выше, тем больше света вода пропускает через себя.
Fε - мощность светового потока, прошедшего через метровый слой воды.
Fo - мощность изначального светового потока (до прохождения через воду)

Вы пишете, что взяли "эту оценку как озера". Как я это должен понимать? Что вы взяли Коэффициент прозрачности по шкале слева, напротив кривой "Озера"? Тогда коэффициент получится 6%, а это значит, что вы у вас после прохождения света через метр воды осталась только 6% изначальной мощности светового потока. Если вы всё-таки считаете, что там осталось 90% света, то это верхняя граница предельно чистой воды, а не вода из озера.
Так как правильно?
Учитывая, что вы уже второй пост допускаете эту ошибку, а я ловлю вас как второклассника, мне кажется вы вообще не понимаете, что и как вы считаете.

На картинке оппонента тоже видно, что поглощается в хорошо основном синий цвет, который на такой глубине и даст эти процентов 10.

Давайте поможем нашему интеллектуалу прочитать данные с картинки из моего поста. Кстати, вот она, опять:

А вот цитата из моего поста:

Красный свет поглощается лучше всего, а синий хуже всего. То есть чем глубже кубышка, тем больше будет доля синего света в составе падающего на неё излучения. Вот картинка по проницаемости света разной длины волны в толщу воды.

Вас ничего не смущает? Шкала слева на картинке, например? Может ещё что-то заметили?

Русским языком написано, что синий цвет поглощается хуже всего. На картинке видно, что синий свет проникает в толщу воды за 200 метров. А красный свет поглощается ближе к поверхности. И откуда вы из моего поста опять взяли свои 10% поглощения?
У меня к вам два реально серьёзных вопроса: чем вы читаете и как вы считаете?
И это ВЫ меня в невнимательности укоряете?

Можете попытаться, возразить, мол картинка у меня неправильная, но я вам так скажу:
Может вы, дорогой биолог с дипломом с отличием, слышали что-то о бурых водорослях? Знаете какого они цвета? Они бурые. А знаете почему? Потому что они живут на глубине от 5 метров и глубже. Отдельные виды вообще на глубине 200 м. До них не то что красный или оранжевый свет не доходит, там и желтого света маловато, но он есть. Поэтому их фотопигменты настроены поглощать синий и зелёный свет. А вот оранжевый и красный свет для них как зелёный для растений на поверхности. Поэтому они бурые (их ткани отражают красный+оранжевый свет)

Но это я отвлёкся.

5) Вы опять гордитесь тем, что не умеете читать научную литературу и считать?

Опять претензия, что я завысил эффективность фотосинтеза.
Опять же - я завысил, не занизил результат оценки.

Что ж за все предыдущие итерации вы неоднократно завышали мощность поступающего к кубышке света. По вашему же признанию. Чуть ниже мы придём к выводам, а пока следующий пункт:

6. Претензия, что я утверждаю «растение производит кислород из углекислоты».
Это невнимательность читателя и комментатора - смысл в том, что в реакции фотосинтеза на 1 использованную молекулу углекислого газа идёт выход одной молекулы кислорода. Откуда идёт кислород - я не пишу.

И вот это вы пишете мне после вот этих ваших слов?

- итого за час такое растение одним квадратным метром листов сможет синтезировать 0,1 моля кислорода из 0,1 моля углекислого газа.

Я может и невнимательный, но как это можно понять по-другому, я не знаю. Я могу допустить, что вы это типа не специально так написали, а опять ошиблись. Но тенденция ваших ошибок просто ужас.

7) Окей, 1 моль углекислого газа при 20 градусах Цельсия и давлении в 1 атмосферу занимает объём 22,4 литра. Вы этим что сказать-то хотели уже во втором посте. Я упорно не понимаю.

Ну то есть просто 1 моль чистого СО2 в ёмкости объёмом 22,4 литра, чтобы не убежал никуда.

А вот этот газообразный СО2 зачем нам нужен в таком виде, когда у нас растение находится в воде. И окружает её не газ, а жидкость, в которой кроме воды есть растворенные кислород, СО2, совсем чуть-чуть азота и так, по-мелочи. Для каких расчётов вам понадобилось знание о том что газообразный СО2 количеством 1 моль занимает объём в 22,4 л при н.у.?
Зачем вы это написали вообще? Чтобы что?

8) Ну я рад, что у вас получилась такая оценка коэффициента диффузии, которая составила по вашим уточнённым данным аж 10^-9 м^2/с. "довольно высокая оценка на мой взгляд", как вы ещё потом добавили.

в предыдущем вашем посте было следующее:

- в воде растворено примерно (идеальные условия) – 0,738 объёмов углекислоты, то есть один моль в 30 литрах воды (один моль любого газа это примерно 22,4 литра).

- за час, в лучшем случае будет доступен (за счёт диффузии, без принудительного перемешивания, а течения мы тут не видим - пузырьки идут прямо) процентов 10 от этого объема (не беру больший аквариум, так как вода в объеме большем, чем 30 литров явно не будет перемешиваться лучше).

То есть вы говорите о свободной диффузии НСО3- в воде. И по вашим оценкам (в лучшем случае, как вы написали) 10% этой углекислоты диффундирует в водной среде откуда-то неизвестно откуда, вы об этом не пишете, к растению. И займёт это 1 час.

А откуда этот растворенный СО2 диффундирует, если он и так равномерно распределён по объёму аквариума? Может от аэратора? Ну тогда вопрос: почему за час? И почему только 10%?
Давайте, расскажите, как вы это посчитали.

Мне кажется, вы ничего не считали и пишете цифры из головы или из первых попавшихся ссылок из поисковика. Причём вообще не понимаю, откуда вы что берёте. Отговорка "такая вот моя оценка" коэффициента диффузии меня не устраивает, потому что первый же запрос в гугле "Скорось диффузии в воде" показывает нам выжимку со странички с Википедии, где написано:

Слово "где-то" особенно доставляет.

Слово "где-то" особенно доставляет.

То есть это не ваша оценка, а просто опять какая-то величина, подсмотренная вами в интернете.

Ну так вы расскажете нам, как вы считаете?

9. Насчет логики «То есть это не просто какой-то пассивный выход газа, а налаженная работа органической машины по синтезу АТФ с помощью энергии света.» - если автор когда-то возился с велосипедами в детстве и вулканизировал шины, а до этого искал проколы в тазу с водой - то он видел, что из маленькой дырочки в шине воздух выходит ровно такой же цепочкой. Тогда в резиновой шине тоже идёт налаженный процесс органической машины по синтезу АТФ?

Вы знаете, нет, не такой же цепочкой. Но это можно было бы устроить, если задаться целью получить такую картину воздушных пузырей, которая будет выглядеть "прямо как перлинг". Этот ваш очередной высокомерный высер ничего не опровергает и не доказывает.
Я поясню на паре аналогичных примеров:

Если между трансформаторами происходит пробой электрической дуги, значит ли это, что электрик вызвал грозу?
Если вы поели горохового супчика, а потом вас одолел метеоризм, значит ли это, что вы трубите сбор в атаку?
Я могу продолжать так долго, но мне лень.

Самое обидное, что вы ничего нового или умного не сказали. Мы с вами сейчас обсуждаем школьную программу. Мы не касаемся чего-то более сложного. В своём втором посте вы только подтверждаете свою некомпетентность. Вы не привели ни одного стоящего аргумента. Это не не интеллектуальная дуэль по факту. Вы просто цепляетесь к моим словам и всё.

Вы могли бы меня спросить о том, почему я не учитывал процесс клеточного дыхания. Я коснулся только фотодыхания. Я сознательно оставил это без внимания, ведь кто-то спросит меня, а я отвечу (Будет пост, потерпите).

Кстати, опять насчёт диффузии:

А что там насчёт диффузии СО2 через клеточную мембрану? Какой там коэффициент диффузии по вашей оценке? Ведь углекислый газ должен сначала как-то попасть внутрь клетки растения, потом проплыть по цитоплазме и пройти через двойную мембрану хлоропласта. Вы же оценивали, с какой скоростью это произойдёт, и как осмотическое давление повлияет на скорость диффузии через мембрану? Вот эти вопросы уже ближе к институтскому уровню.

Или например, как влияет переосвещённость на окислительный стресс, и как это отражается на скорости транспорта АТФ и скорости восстановления фотосистемы II?

В общем, вы не задали ни одного умного вопроса. Это грустно.

По поводу ваших завышенных оценок мощности падающего света:

- итого за час такое растение одним квадратным метром листов сможет синтезировать 0,1 моля кислорода из 0,1 моля углекислого газа. Это 2,24 литра за час, или 0,0006 литра в секунду - 0,6 мл, или пызырек воздуха 1 на 1 на 0,6 сантиметра.

Вот что вы написали в прошлом посте. У вас опять 0,1 моль кислорода занимает 2,24 литра. Чего вы привязались к этим литрам в газообразном виде?
Вы не учитываете, что часть кислорода уйдёт в раствор, а в пузырёк может попасть углекислый газ, который в изобилии есть в воде.
Вы не учитываете, что размер пузырька может быть разный, в зависимости от парциального давления, а ещё от состава воды, ведь пузырь держится в виде цельного образования за счёт силы поверхностного натяжения воды, которая может быть разная в зависимости от примесей в воде. Вы должны про это знать, ведь вы отличник, и у вас был курс коллоидной химии. Вы думаете, что внутри пузырька давление 1 атмосфера, хотя на пузырь действует давление воды и газ внутри может быть в сжатом виде и занимать меньший объём. Вы про это знаете, просто забыли курс общей физики, который вам читали в ВУЗе. Просто забыли ведь, да?

Факт в том, что вы делаете столько ошибок, что я даже не хочу разбираться и проверять всё досконально. Если человек врёт, стоит ли напрягаться и каждый раз проверять, правду он говорит или нет? Мне вполне достаточно того, что вы просто не умеете считать и в вопросе вы не разбираетесь от слова совсем. Поэтому, какие бы вы там оценки сверху ни делали, мне по барабану. Я уже доказал, что вы некомпетентны.

Всё это можно посчитать, было бы желание. Но зачем? Мне кажется вы опять напишете какой-то пост и будете цепляться к словам, а не к фактам. Как вы поступили и в этот раз.

Ну и напоследок про перлинг:
Видов перлинга несколько, пусть это вам будет известно. Некоторые из них характерны для определённых видов, а некоторые возникают при изменении условий окружающей среды. Да, пузырики, сидящие на стебле растений - это тоже перлинг. Погуглите картинки на досуге.

Да, может быть исходное видео фейк. Может там стоит шланг от аэратора в слепой зоне и потихоньку пускает пузырики. А может и нет. Я верю, что нет. Потому что не зная исходных данных, ничего доказать не могу. А гадать по кофейной гуще, как вы, считаю бессмысленным.
То что перлинг может выглядеть именно так - это тоже факт.
Вот только вы со своими горе-расчетами ничего не доказали и не опровергли. Только всех запутали, кроме тех немногих, кто разбирается в вопросе.

И последнее, но важное: правильно пишется "кондоминиум", а не "кандоминиум".

Vale

Показать полностью 5
6

Ответ Gebein в «Выработка кислорода растением, которую можно увидеть в воде»

Штош, начинается битва «двух якодзун»! Она будет леген… подожди-подожди... дарной! @Gebein, вызываю вас на интеллектуальную дуэль! En garde! Pret? Allez!

Теперь время расчехлить сданный на 5 экзамен по философии и формальной логике в кандоминиуме.

  1. Претензия, что я невежливо отвечаю: мол, посчитайте сами, проверьте.

    Этот ответ был на комментарий «Анализ - дерьмо». По моей шкале - ответ на такой комментарий у меня очень вежливый. Что в представлении оппонента было бы вежливым в ответ на такой коммент, если мой - невежливый, я оставляю ему.

2. Претензия, что я не знаю, какая лампа в аквариуме и поэтому завысил поступающую мощность.
Да, не знаю. Да, специально сделал так, чтобы оценка была слегка завышенной (я взял 1000 Ватт на кв.м., а в Сахаре 750-800 Ватт на кв.м.). Потому что если я завысил, но не получил результат как на видео, то что? Правильно, и при более низких параметрах не получу.

3. Претензия, что я разделил мощность светового потока на 4, а это грубая ошибка, потому что … в результате его расчета было бы еще меньшее значение на фотосинтез, чем после деления мною на 4.
Та же самая логика - если я завысил, но не получил результат как на видео, то и при более низких параметрах не получу.

4. Претензия, что нельзя сказать, что процентов 10 от света поглотится водой.
Я использовал эту оценку как озера – на 1 метр глубины (и тоже занизил поглощение, то есть завысил результат).

На картинке оппонента тоже видно, что поглощается в хорошо основном синий цвет, который на такой глубине и даст эти процентов 10.

5. Опять претензия, что я завысил эффективность фотосинтеза.
Опять же - я завысил, не занизил результат оценки.

6. Претензия, что я утверждаю «растение производит кислород из углекислоты».
Это невнимательность читателя и комментатора - смысл в том, что в реакции фотосинтеза на 1 использованную молекулу углекислого газа идёт выход одной молекулы кислорода. Откуда идёт кислород - я не пишу.
Тут мой оппонент разражается «справедливым гневом» на несколько абзацев.

7. Про множественный сарказм оппонента на 22,4 литра
Да, это стандартное значение объёма моля для газа в газообразном состоянии при нормальных условиях, помню ещё с 7 класса Химии. Конечно, можно расписывать все, что это 22,4 литра при н.у., и что н.у. это нормальные условия, а нормальные условия это давление 101 325 Паскаля и 293,16 градусов Кельвина, и начать рассказывать как определяются Паскали, как Кельвины и …

В общем - есть два типа людей: первые, это люди, которые могут делать выводы по неполным данным

8. Про диффузию - да, это моя такая оценка. С учетом перемешивания (наличия его отсутствия) и скорости (коэффициента) диффузии в воде в 10^-9 за секунду (то есть за секунду через квадратный метр площади из одной стороны, где есть вещество, в сторону, где его нет, будет проходить 1 _миллиардная_ часть массы диффундирующего вещества) - довольно высокая оценка на мой взгляд.

9. Насчет логики «То есть это не просто какой-то пассивный выход газа, а налаженная работа органической машины по синтезу АТФ с помощью энергии света.» - если автор когда-то возился с велосипедами в детстве и вулканизировал шины, а до этого искал проколы в тазу с водой - то он видел, что из маленькой дырочки в шине воздух выходит ровно такой же цепочкой. Тогда в резиновой шине тоже идёт налаженный процесс органической машины по синтезу АТФ?

Выходит, что я много где завысил, не получил нужного для такой картины, как на видео, объёма фотосинтеза, после чего всё равно я не прав и это фотосинтез.

Показать полностью 3
224

Ответ oldfox2003 в «Выработка кислорода растением, которую можно увидеть в воде»

Здрасте!

Для ЛЛ: ТС не прав, на видео пузырьки кислорода, выделяющиеся не из бутона, а в процессе интенсивного фотосинтеза в виде характерных "жемчужных нитей". Как по учебнику.

Не смог пройти мимо поста, потому как мало того что в нём куча неоправданных допущений и ошибок, так ещё и народ люто плюсует, а ТС не очень вежливо отвечает сомневающимся, говоря, мол, да, может я и ошибаюсь, но вы сами посчитайте и проверьте. Ну что ж... Тогда давайте глянем, что же не так:

1) Вы не знаете, что за лампа освещает аквариум, какой у неё спектр излучения и мощность. Но почему-то предполагаете, что падающий свет должен быть общей мощностью в 1 кВт на квадратный метр. Вот только такая мощность в средней полосе будет только в полдень. А что там насчёт остального времени суток? Ну и кубышка хорошо себя чувствует как на солнце, так и в полутени (если она в воде).
То есть исходная мощность для начала расчёта сильно завышена.

2) Да, большинство растений используют синие и красные области спектров видимого света.
Однако растения поглощают не мощность, а кванты света. А вот мощность квантов излучения разных частей спектра неодинакова, мягко говоря.
Кванты синего спектра имеют гораздо большую мощность. А уже невидимый человеческому глазу ультрафиолетовый спектр так вообще охренеть какой мощный (а УФ тоже входит в тот самый падающий свет).
То есть делить 1кВт на 4 - это грубая ошибка.
Можно было бы воспользоваться поисковиком и узнать, что кубышка использует только свет из диапазона 400-700 нм, а это 45% падающего солнечного света (отсекаются УФ и ИК диапазоны), при этом не весь этот свет поглощается. Часть его отражается, часть проходит насквозь, а часть поглощается, но не участвует в фотохимических процессах и переходит в тепло. В итоге от всего падающего света остаётся только 10-15%, которые участвуют в фотохимических процессах.
То есть "на дело" идут уже 100-150Вт из заведомо завышенных 1000Вт.
Не говоря уже о следующем пункте:

3) Да, вода частично поглощает свет. И поглощает она его тоже неодинаково. Красный свет поглощается лучше всего, а синий хуже всего. То есть чем глубже кубышка, тем больше будет доля синего света в составе падающего на неё излучения. Вот картинка по проницаемости света разной длины волны в толщу воды.

Ответ oldfox2003 в «Выработка кислорода растением, которую можно увидеть в воде»

Понятное дело, что в аквариуме расстояния маленькие, но каждые лишние сантиметры воды будут по чуть-чуть менять распределение света по мощности, а значит нельзя просто сказать "ну процентов 10 поглотится в воде" а потом на полном серьёзе это считать.

4) А что это за эффективность фотосинтеза в 25-30%?
У растений с фотосистемами по С3 механизму КПД фотосинтеза от 0,5 до 2%.
Вы имели ввиду, что 30% падающего света поглощается растением? Ну ок, выше уже написал, что растения использует не более 15%.
И кстати, на фотосинтез из этих 15% приходится от силы треть (остальное идёт на фотодыхание, но об этом позже).
То есть 5% от солнечного излучения в лучшем случае. При расчёте КПД фотосинтеза учитываются потери от образования связей при синтезе глюкозы, поэтому цифры КПД такие маленькие. И тем не менее, на образование кислорода потратится не более 50Вт, а никак не 75Вт.

5) А далее сюрприз: а зачем мы это всё считали, если дальше в посте идёт какой-то бред?
ТС утверждает, что растение производит кислород из углекислоты! То есть из растворённого в воде СО2!
Окей, ладно, давайте по порядку, как в школе (да, то, что я сейчас напишу ниже, проходят на уроках биологии).
Чтобы растение существовало, росло и размножалось ему нужно 2 вещи: материал и энергия.
Материалами служат весьма простые вещи: молекулы воды, молекулы СО2, а также то, что можно получить из земли: азот, фосфор, натрий, калий и микроэлементы типа некоторых металлов.
И вот чтобы из всего этого неорганического добра сделать органику, из которой состоят клетки, нужно затратить энергию на образование ковалентных связей. А универсальная единица для переноса энергии внутри клетки - это молекула АТФ (аденозин-3-фосфат). Синтезируется АТФ из АДФ (аденозин-ди-фосфат) и фосфат-иона. Это очень просто: растение поглощает свет своими фотосистемами и за счёт этой энергии соединяет АДФ и фосфат, получая АТФ. Потом этот АТФ можно куда-нибудь транспортировать и разложить опять до АДФ и фосфата, высвободив энергию. Эдакая универсальная батарейка.
А куда, собственно, тратится АТФ? Ну на синтез глюкозы из воды и СО2, например. А из глюкозы потом можно сделать какую-нибудь клеточную структуру. Или опять её разложить на воду и углекислый газ, высвободив энергию.

И синтез АТФ и синтез глюкозы происходит в органеллах, называемые хлоропластами. Но оба эти процесса не связаны друг с другом напрямую. У них как бы отдельные цеха для производства внутри завода-хлоропласта.

Так вот: при синтезе АТФ происходит поглощение синего и красного света и много-много интересных физических и химических реакций, но общий баланс этого процесса такой:

12H2O + 12НАДФ⁺ + 18АДФ → 6O2 + 12НАДФН + 18АТФ

То есть кислород получается не из углекислого газа, а из воды. И именно на это тратится энергия солнечного света!

А где тогда участвует СО2?
При синтезе глюкозы, конечно!
Вот итоговый баланс этого процесса:

6CO2 + 18АТФ + 12НАДФН → C6H12O6 (это молекула глюкозы)+ 18АДФ + 12НАДФ⁺ + 6H2O

Второй процесс называется цикл Кальвина. Это на случай, если кто-то захочет погуглить и почитать.

Собственно, материал для именно этих двух процессов берётся из воды. Да, вода из воды, и растворённый в воде углекислый газ из воды.

Следующие тезисы:
6)А почему 1 моль любого газа - это 22,4 литра?
Точно любого? А этот газ растворён в воздухе или в воде? Ну ладно, в воде. А почему в 30 литрах должен быть именно 1 моль углекислого газа?
Аквариумисты ставят аэрацию, чтобы СО2 было 25-35 мг/л. Если возьмём 30 мг/л, а это 900 мг на 30 литровый аквариум, то получится, что в нём должно быть 0,0204 моль. Страааанно.

Кстати, а это при какой температуре? Вы же знаете, что растворимость газов очень зависит от температуры?
А имя Ибрагим понятие парциальное давление вам о чем-нибудь говорит?
Нет? Ну хорошо. Я просто должен вам сказать, что 1 моль углекислого газа в 30 литрах воды - это очень много, на самом деле. Скажем так, при 25 градусах Цельсия и 1 атмосфере максимальное содержание СО2 в воде 0,034 моль/л. Это 0,912 моль на 30 литров. Остальное тупо сразу выйдет из аквариума в воздух, и выглядеть это будет, будто аквариум сейчас закипит.

7) Ах, диффузия CO2. Такое ощущение, что вы спите на посту, а к вам подходит генерал и кричит:
"- Солдат! Доложить о диффузии СО2!
- 10%, товарищ генерал!"
Откуда, почему, как это посчитано, я хз.

8) Я думаю понятно, почему я даже не хочу обсуждать какая диффузия, в каком объёме и откуда она там идёт. Не хочу, но буду.
Итак, кубышка водное растение, которое получает углекислый газ из воды. И ей не нужны для этого устьица, но они у неё есть на тот случай, если во время засухи оно окажется частично над водой.
В норме она получает СО2 непосредственно из воды напрямую, путём диффузии в клетку через мембрану.

А может ли кубышка выделять обратно углекислый газ и образовывать пузырьки?
И да и нет. Кубышка может выделять СО2. Это происходит, когда в воде высокая температура (в районе 35 градусов) и низкое содержание СО2. В цикле Кальвина есть один фермент, называемый рубиско. Он катализирует (помогает) присоединять к молекуле RuBP (это обозначение такое) СО2, и запускает цикл дальше, и в результате тратится АТФ и синтезируется глюкоза. Но в вышеупомянутых условиях рубиско вместо того чтобы присоединять СО2, присоединяет О2, то есть окисляет RuBP (ты не в ту сторону воюешь, дебил). Образуется, в целом, нужный 3-ФГК и токсичный 2-ФГ. И вот от токсичной молекулы надо избавиться. К счастью, есть такой механизм, но на его работу тратится много АТФ. То есть, вроде бы мы произвели АТФ для синтеза глюкозы, а в итоге потратили его на утилизацию всякой дряни, получили 3-ФГК и никакой глюкозы. Ну хоть живы остались, и то хорошо. Но занимателен тот факт, что при утилизации 2-ФГ образуется СО2, который растение выделяет во внешнюю среду. Это называется фотодыханием. При этом углекислого газа не так уж много, а он хорошо растворяется в воде, поэтому никаких пузырьков не появляется.

Другое дело - кислород. Он как бы окислитель, и может окислить то что не надо, поэтому после фотосинтеза от него тоже надо избавиться. И даже быстрее, чем от СО2. Кроме того, его образуется реально много, однако он тоже неплохо растворяется в воде. Поэтому мы не видим пузырьков постоянно, кислорода маловато.

Но вот если мы как дадим освещение посильнее, как запустим процесс фотосинтеза на полную катушку, то кислорода станет так много, а выпихиваем мы его так активно, что он аж образует маленькие пузырьки. И мы, к нашей радости, видим потрясающую картину как на видео в исходном посте в виде жемчужных нитей. А самое удивительное, что можно заметить равное расстояние между пузырьками. То есть это не просто какой-то пассивный выход газа, а налаженная работа органической машины по синтезу АТФ с помощью энергии света.

А ведь казалось бы, это же просто кубышка.

Ну и по классике:
Это мой первый пост. Пинайте посильнее. Люблю здоровую критику.

Показать полностью 1
6117

Ответ на пост «Выработка кислорода растением, которую можно увидеть в воде»

UPD:

Нашёл откуда автор запостил оригинал – судя по всему это тред на реддите https://www.reddit.com/r/Damnthatsinteresting/comments/1kfdn... где самый поддержанный комментарий в том же ключе, но без расчётов, от аквариумиста: это выделение газа из растения, давно скопившегося там, чтобы всплыть/поддерживать себя на плаву, и скорее всего выходящего из-за повреждения оболочки растения.

Ну штош, расчехлить мой диплом биолога с отличием.

Для ЛЛ - в идеальном случае (который не на видео) пузырьков синтезированного кислорода за время видео было бы всего 8 (восемь) штук и они были бы много меньшего размера - на видео сотни пузырьков.

Это молодой бутон кубышки, который хапнул воздуха в пространство между лепестками и отдает его.

- Это аквариум в помещении. Даже если считать, что лампа, и это соответствует количеству солнечного излучения на средней широте, то это для простоты около 1000 Ватт на квадратный метр.

- пригодный для фотосинтеза - в основном синий и красный спектр, то есть примерно половина от спектра видимого света, и это половина от солнечного (итого делим на 4). Это уже 250 Ватт на квадратный метр.

- вода поглощает уф и красный спектр лучше всего. Даже чистая вода на 20-30 см (на видео больше) процентов 10 поглотит. Итого 225 Ватт на кв.м. Это сверх идеальные и условия.

- интенсивность фотосинтеза - примерно 25-30 %, итого на генерацию кислорода пойдет в лучшем случае 75 Ватт, за час это 75 Ватт*час.

- на один моль углекислоты, для генерации глюкозы, нужно 100 ккал, или 115 Ватт*час.

- за час будет сгенерировано квадратным метром листов - 75/115=0,652 моля кислорода. И это если углекислота в избытке – теоретический предел.

- в воде растворено примерно (идеальные условия) – 0,738 объёмов углекислоты, то есть один моль в 30 литрах воды (один моль любого газа это примерно 22,4 литра).

- за час, в лучшем случае будет доступен (за счёт диффузии, без принудительного перемешивания, а течения мы тут не видим - пузырьки идут прямо) процентов 10 от этого объема (не беру больший аквариум, так как вода в объеме большем, чем 30 литров явно не будет перемешиваться лучше).

- итого за час такое растение одним квадратным метром листов сможет синтезировать 0,1 моля кислорода из 0,1 моля углекислого газа. Это 2,24 литра за час, или 0,0006 литра в секунду - 0,6 мл, или пызырек воздуха 1 на 1 на 0,6 сантиметра.

- тут штучка размером 2-3 кв.сантиметра, хорошо - 5, - это примерно ещё в 2000 раз меньше, или пузырек размером 1 на 1 на 0,3 мм в секунду.

- как минимум половина из него пойдет на дыхание и растворится в воде, без выделения непосредственно.

- итого 0,5 на 0,6 на 0,5 мм - это крошечный, еле видимый пузырек.

- видео идёт 8 секунд, и должно было бы быть 8 пузырьков, а тут их сотни, и явно крупнее.

На видео - зарождающийся бутон у кубышки (судя по остаткам чашелистников у растения на заднем фоне), который хапнул воздуха в пространство между лепестками и теперь отдает.

Показать полностью
Отличная работа, все прочитано!

Темы

Политика

Теги

Популярные авторы

Сообщества

18+

Теги

Популярные авторы

Сообщества

Игры

Теги

Популярные авторы

Сообщества

Юмор

Теги

Популярные авторы

Сообщества

Отношения

Теги

Популярные авторы

Сообщества

Здоровье

Теги

Популярные авторы

Сообщества

Путешествия

Теги

Популярные авторы

Сообщества

Спорт

Теги

Популярные авторы

Сообщества

Хобби

Теги

Популярные авторы

Сообщества

Сервис

Теги

Популярные авторы

Сообщества

Природа

Теги

Популярные авторы

Сообщества

Бизнес

Теги

Популярные авторы

Сообщества

Транспорт

Теги

Популярные авторы

Сообщества

Общение

Теги

Популярные авторы

Сообщества

Юриспруденция

Теги

Популярные авторы

Сообщества

Наука

Теги

Популярные авторы

Сообщества

IT

Теги

Популярные авторы

Сообщества

Животные

Теги

Популярные авторы

Сообщества

Кино и сериалы

Теги

Популярные авторы

Сообщества

Экономика

Теги

Популярные авторы

Сообщества

Кулинария

Теги

Популярные авторы

Сообщества

История

Теги

Популярные авторы

Сообщества