О сумме обратных квадратов и ещё одной специальной функции
"Перед математикой помолимся!
Отче Сергий спаси и помилуй нас
И прости нам математические прегрешения наше!"
Введение
В прошлом посте я рассказал о специальных функциях и закончил на сумме выше, так её и не посчитав. Сегодня я исправлю это недоразумение и заодно расскажу об ещё одной специальной функции, которая называется дилогарифм.
Почему этот ряд вообще сходится?
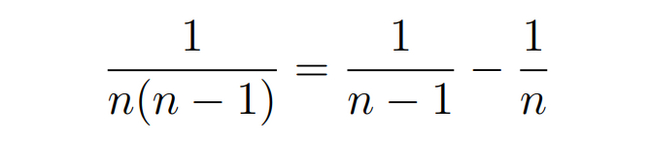
Забавно, что если убрать квадраты в знаменателях:
то сумма не будет сходиться (больше любого числа или равна бесконечности). Последнее равенство означает, что сумма при больших n "ведет"(мало отличается) себя как логарифм, но доказывать я это не буду.
Однако сумма обратных квадратов -- сходиться.
Для того, чтобы показать, сто наша сумма сходится оценим ее сверху другим рядом, который сходится:
Видно, что все слагаемые нашей суммы, кроме первого меньше, чем у суммы справа.
Покажем, что ряд справа -- сходится. Для этого распишем каждое слагаемое, как сумму:
Тогда наша ряд слева принимает вид:
Видно, что эта сумма сходится. Так как сумма обратных квадратов не превосходит 2, то она сходится.
Дилогарифм
Для начала вспомним об одном важном свойстве логарифма, а именно его разложении в ряд:
В этом смысле дилогарифм похож на обычный логарифм. Он определяется как:
(это равенство, как и равенство выше верно также для комплексных z)
График для вещественных x выглядит следующим образом:
Заметим, что значение дилогарифма в 1 -- это в точности сумма нашего ряда:
Пора считать!
Для начала докажем одно важное свойство дилогарифма, а именно следующую формулу:
Для этого рассмотрим следующую производную:
Посчитаем то что справа:
А затем проинтегрируем:
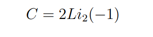
Найдем C, подставив z=1:
Перенесем Дилогарифм от -z налево и получим нашу формулу:
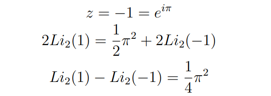
Ура! Теперь дело за малым. Подставим z = -1:
(здесь все законно, так как комплексный логарифм определен и при отрицательных z)
Теперь надо вычислить(или выразить через дилогарифм от 1) дилогарифм от -1.
Следующие выкладки дают нам, то что нужно:
(важно отметить, что так как ряд сходиться абсолютно, то мы вправе переставлять и группировать слагаемые)
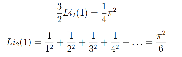
Подставим в нашу формулу и получим:
Также в процессе мы вычислили ещё одну сумму, а именно:
Примечание: подробнее про дилогарифм написано в книге "Leonard Lewin - Polylogarithms and associated functions (1981, North Holland )".























