intergalactian
Замечательные уравнения прогрессий
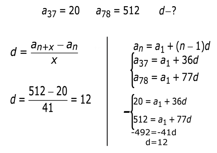
Привет, человечество. Мы с товарищем вывели несколько формул, которые значительно облегчат жизнь среднестатистическому школьнику. Очень странно, что в учебниках о них не пишут и в школах им не учат. Более того, нам нигде не удалось найти ничего подобного.
Выводятся и доказываются до безобразия просто (прикладываю свой вариант доказательства), но оказываются крайне полезными при решении задач на нахождение членов прогрессии.
В отличие от классического решения задач с помощью системы уравнений, этот метод сводит все к одному действию, а все побочные вычисления легко проводятся в уме. Так гораздо проще и быстрее. К тому же, он универсален и подходит как для задач с произвольными членами, так и для любых других. Конечно, с очень большими числами посчитать все-таки придется, но форма записи все еще остается лаконичной.
Кто-то скажет, что считать через систему привычнее, но если вы поймете, как работают эти формулы, у вас больше никогда не возникнет вопросов по поводу прогрессий.





