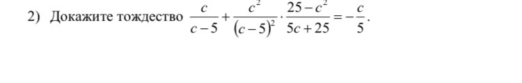
1984orwell Олимпиадная математика ПОМОГИТЕЕЕЕ 1 год назад Помогите доказать тождество [моё] Математика Пример Помощь Ещё 0
Олимпиадная математика
9 постов14 подписчиков