156

Почему Пи = 4?

Или что такое расстояние
Почему Пи = 4?
Вы смотрите срез комментариев. Показать все
0
Автор поста оценил этот комментарий

Почему это окружность? Дефиниция окружности - фигура, все точки которой равноудалены от центра. Здесь явно не окружность.

раскрыть ветку (119)
2
Автор поста оценил этот комментарий
А что такое "удалённость"? Т.е. что такое расстояние?
раскрыть ветку (118)
Автор поста оценил этот комментарий
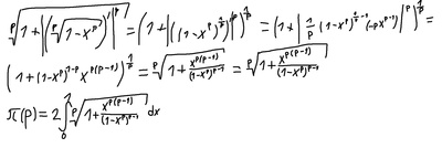
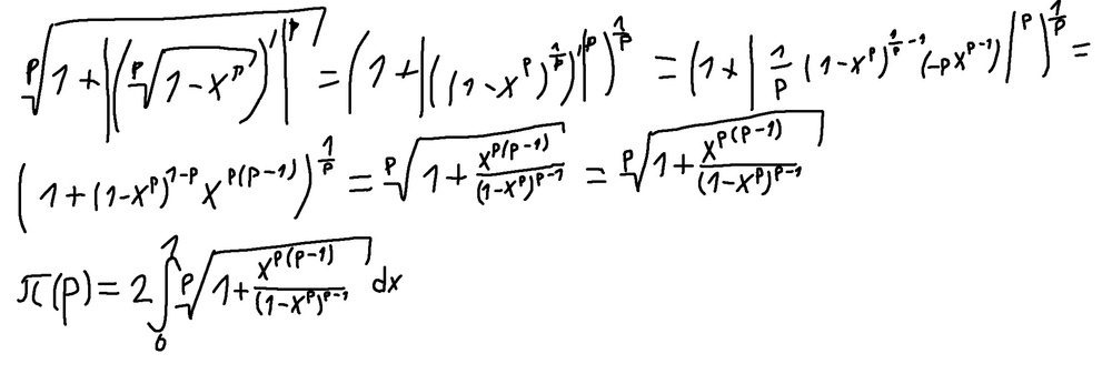
Расстояние - длина отрезка от точки до точки. Для того что бы его измерить в кординатной плоскости нужно взять squirt(x^2+y^2)
раскрыть ветку (117)
2
Автор поста оценил этот комментарий

Вот. А кто сказал, что длина измеряется именно так? В современной математике и анализе это ниоткуда не следует. И поэтому при желании длину можно брать разную. А следовательно, вид окружности будет меняться в зависимости от того, что мы назовём длиной.

раскрыть ветку (116)
0
Автор поста оценил этот комментарий

Тогда дефинируйте понятие длины. Что значит брать разную? Из головы взять? Тогда что угодно можно назвать окружностью.

Или вы о другой системе координат?

раскрыть ветку (115)
3
Автор поста оценил этот комментарий

Вот тебе математическое определение "длины": https://ru.wikipedia.org/wiki/Метрическое_пространство - раздел Определение.

Как я уже сказал, под него подходит не только наша привычная евклидова длина, но и куча других конструкций, которые я и описал в посте.


А окружность - это геометрическое место точек, равноудалённых от заданной, ты совершенно прав.

раскрыть ветку (114)
0
Автор поста оценил этот комментарий

В определении не сказано, что такое длинна.

евклидова длина

Значит мы уже не в евклидовом пространстве.

раскрыть ветку (113)
2
Автор поста оценил этот комментарий

В математике это называется метрика. И всё там сказано.

Ну и да, никто не говорил, что речь идёт об евклидовых пространствах.

раскрыть ветку (112)
0
Автор поста оценил этот комментарий
Я не поняла. Объясните как для идиота. Что такое расстояние?

И если мы не евклидовом - то в каком? Ни на пространства Лобачевского, ни Минковского это не смахивает.

раскрыть ветку (111)
1
Автор поста оценил этот комментарий

Расстояние (метрика) - это функция, которая получает на вход 2 точки (на самом деле вектора, но не заморачивайся), а выдаёт число. При этом эта функция должна быть равна нулю только для одних и тех же точек, результат не должен зависеть от того, в каком порядке мы берём эти точки, а ещё должно выполняться неравенство треугольника.

раскрыть ветку (110)
0
Автор поста оценил этот комментарий

Расстояние ab=bc=ac(и то и другое - диамерт)

В свою очередь неравенство треугольника гласит.

В свою очередь это означает, что окружность abc - прямая.

Иллюстрация к комментарию
Иллюстрация к комментарию
раскрыть ветку (109)
Вы смотрите срез комментариев. Чтобы написать комментарий, перейдите к общему списку

Темы

Политика

Теги

Популярные авторы

Сообщества

18+

Теги

Популярные авторы

Сообщества

Игры

Теги

Популярные авторы

Сообщества

Юмор

Теги

Популярные авторы

Сообщества

Отношения

Теги

Популярные авторы

Сообщества

Здоровье

Теги

Популярные авторы

Сообщества

Путешествия

Теги

Популярные авторы

Сообщества

Спорт

Теги

Популярные авторы

Сообщества

Хобби

Теги

Популярные авторы

Сообщества

Сервис

Теги

Популярные авторы

Сообщества

Природа

Теги

Популярные авторы

Сообщества

Бизнес

Теги

Популярные авторы

Сообщества

Транспорт

Теги

Популярные авторы

Сообщества

Общение

Теги

Популярные авторы

Сообщества

Юриспруденция

Теги

Популярные авторы

Сообщества

Наука

Теги

Популярные авторы

Сообщества

IT

Теги

Популярные авторы

Сообщества

Животные

Теги

Популярные авторы

Сообщества

Кино и сериалы

Теги

Популярные авторы

Сообщества

Экономика

Теги

Популярные авторы

Сообщества

Кулинария

Теги

Популярные авторы

Сообщества

История

Теги

Популярные авторы

Сообщества