Парадокс распространения света
Простой, но интересный момент из физики, чтобы напрячь мозги. Просьба подумать, как бы вы распутали эти противоречия.
Итак, имеем такую ситуацию.
1. Где-то в глубине космоса происходит некое событие, в результате которого появляется 2 (два) фотона света. Возникший луч света (а свет, как мы знаем, всегда распространяется по прямой) оказывается направлен прямо на Землю, которая находится на расстоянии L. Направление луча примем за ось Y. Посередине этого пути один фотон попадает в мерзкие скользкие холодные серые лапы пришельцев и они забирают его на опыты. А другой фотон долетает до Земли и оказывается в тёплых заботливых белых (неполиткорректно!) чёрных руках астрофизика для дальнейшего изучения:
2. Астрофизик начинает листать учебник и находит там такие выражения:
3. Астрофизик подставляет в первое уравнение "y = L" и получает, что напряженность электрического поля в точке L в любой момент времени равна E = E0 * cos (w*t - k*L). Отсюда он делает вывод, что свет распространяется с бесконечной скоростью, поскольку в тот самый момент, когда в далеком космосе появляется фотон, на Земле по изменению напряженности E = E0 * cos (-k*L) уже зафиксируют появление этого фотона. И это изменение напряженности можно даже использовать в хозяйстве, заставляя колебания электромагнитного поля вырабатывать ток в фотоэлементах.
4. Астрофизик обращается в Нобелевский комитет с просьбой выплатить ему энную сумму за доказательство бесконечной скорости распространения света, но там ему неполиткорректно сообщают что он дурак и выкладки его неправильные. "Но почему?!" - недоумевает наш герой. Его просят не верить всему что написано в учебнике и отправляют изучать работы Максвелла и Эйнштейна.
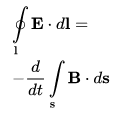
5. Пытливый ум нашего героя вычитывает, что свет движется с определённой скоростью, потому что это следует из уравнений Максвелла:
На этом месте наш астрофизик совсем запутывается, потому что из этих уравнений следует, что свет вовсе не движется по прямой, а одновременно распространяется по осям x, y и z. То есть световая волна является сферической и у неё нет какого-то одного выделенного направления. Соответственно, этот фотон мог быть пойман как на Земле, так и на созвездии Козерога.
6. Коллеги сочувствует тяжкому положению нашего героя и советуют ему почитать что-то про уравнение Шредингера, поскольку поведение фотона света с начала XX века было выведено из-под юрисдикции Максвелла и передано в ведение сумрачной германской науки:
7. "Ну и как отсюда следует, что свет должен двигаться по прямой?" - вопрошает наш герой - "Это же почти то же самое, уравнение опять трёхмерное и фотон точно так же мог быть пойман в созвездии Козерога?"
8. "Нуу", - отвечают ему, - "видишь ли, фотона вообще не существует до тех пор, пока его кто-то не поймал. То есть этот фотон действительно могли поймать в созвездии Козерога, и тогда луч света был бы направлен не к Земле, а к мерзким зелёным козерожцам. Про кота Шредингера слыхал?"
9. Когда бурление в голове нашего героя проходит, он тихо интересуется: "А что если.. что, если бы я поймал этот фотон не в момент времени T = L / c, а чуть позже? Ведь согласно уравнению Шредингера после того как фотон проскочил мимо, вероятность его обнаружения не падает до нуля? А значит скорость света равна c = 299 792 458 м/с лишь с некоторой вероятностью?"
10. Придя домой, наш герой продолжает буйствовать: "А что, если бы мерзкие серые инопланетяне в точке L/2 перехватили мой фотон? Значит в этот момент для меня все эти волновые уравнения перестали бы действовать? Что это вообще за волна такая, если её можно мгновенно погасить по всей Вселенной?"
Ну а что бы вы посоветовали курить нашему герою? И что упущено или напутано в рассуждениях?









Лига Физиков
501 пост2.5K подписчиков
Правила сообщества
Запрещено:
- Оскорблять участников сообщества, а так же пользователей Пикабу.
- Публиковать посты, которые не относятся к физике
- Рекламировать кого-либо, чего-либо
- Нарушать правила Пикабу.