МатОлимп #13
Разберем еще одну легкую задачу. Итак, вот условия.
Перед тем как перейти к решению, сделаем небольшую паузу. Мем посвящается моему коту.
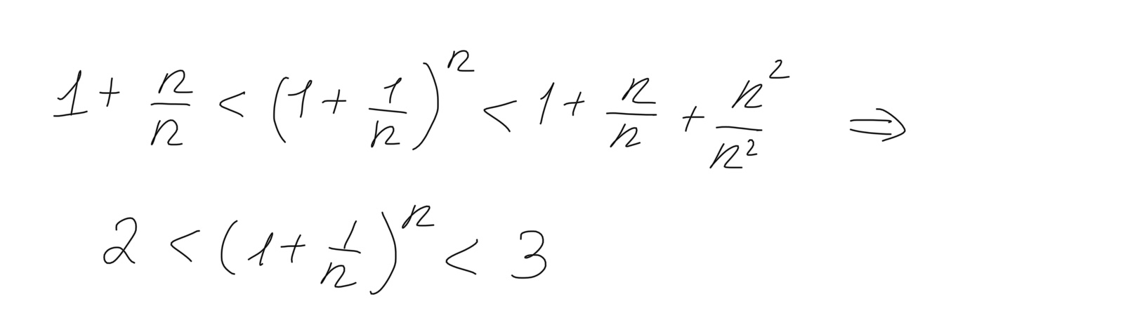
Итак, перейдем теперь к решению! Для начала докажем следующее неравенство:
Будем доказывать его с помощью индукции.
В одну сторону мы доказали, теперь в другую.
Итак, мы доказали наше неравенство по индукции. Заметим, что наше доказательство также остается верным и при k=n. Ну а раз так, то подставим это значение в наше неравенство!
Задача доказана, пора пить кофе!





