Интриган хуже "пикабушника"1
Помимо прочих численных характеристик, предлагаю pikabu.ru ввести в профиль "персональный индекс пакостника". Он же "аналитик без портфолио". Он же "контролёр без билета".
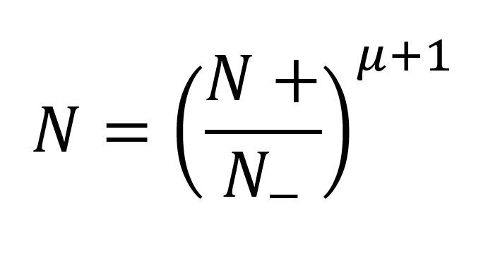
С целью повышения ответственности за бесплодное критиканство предлагается формула для расчёта коэффициента порядочности арестанта пикабушника.
где N - коэффициент порядочности
N+ количество поставленных плюсов
N- количество поставленных минусов
"мю" - общее количество написанных постов
Как это работает:
Если результат N лежит в пределах от 1 (включительно) до бесконечности, перед вами профиль порядочного пикабушника.
Напротив же, чем результат дальше от единицы в сторону нуля, тем позорнее и постыднее должен себя чувствовать персонаж без стыда.
Защита формулы: собственные практические наблюдения. Но это уже другая история.
А тем, кому математика пригодилась, могут представить свои варианты. Согласен, формулу можно уточнять.
