Ответы к посту
Альфа, вы там уху не ели?
47

Ответ на пост «Альфа, вы там уху не ели?»

Альфа хороший банк. Обожаю его. Дали возможность поглумиться над мошенниками.

Звонит мне не так давно на Вайбер человек, говорит, что переходим на пластиковые страховые свидетельства, называет ВСЕ мои данные: ФИО, дату рождения, прочее. Я знатно поглумился, это да. Приятные воспоминания.

Но ложка дегтя есть, да да. В моих данных он назвал адрес моей прописки. Это был адрес центрального офиса фирмы, на которую я работал и получал зарплату на Альфа карту от них.

Спасибо и привет банку и его надежному хранилищу персональных данных. Сберу тоже привет по подобному поводу.

13

Ответ на пост «Альфа, вы там уху не ели?»

Дано:
сумма 18919,1 BYN
срок кредитования 20 лет
ставка 5% годовых
Количество месяцев пользования кредитом 240
Количество платежных месяцев 235

Кредитует не Альфа, а один из зелёных банков

Итого
Что-то не сходится

Ответ на пост «Альфа, вы там уху не ели?»
Показать полностью 1
1

Ответ на пост «Альфа, вы там уху не ели?»

По нормам Ислама, когда ты берешь какую-то сумму на какой-то срок - ты оговариваешь, сколько ты отдашь сверх этой суммы.
Обуславливается это тем, что если ты берешь деньги в долг у человека со своим бизнесом, то ты должен будешь учитывать, что он за время займа может на этих деньгах заработать и не должен понести убыток. Ну а если ты решишь вернуть раньше - то всё равно должен вернуть оговорённую сумму, ибо "уговор - есть уговор".

Удобно же, да?
Приходишь брать телефон в "исламскую рассрочку", а тебе говорят:
"Телефон твой стоит 100000 рублей, мы даём тебе рассрочку на 6 месяцев, но ты должен за этот срок вернуть нам 130000 рублей и желательно (но, по нормам Ислама, не обязательно) - равными долями ежемесячно".
И вот вернешь ты деньги завтра или через полгода - всё равно должен 30000 сверху.

И так получается, что по "богопротивным еврейским процентным ставкам" клиент отдаёт меньше, чем по "правоверным халяльным договорённостям".

Этим пользуется овердохуя хитрожопых пидарасов, которые изначально не знали, как наебать народ, а потом им на глаза попался исламский банкинг. И это стало вдруг так прикольно...

Ведь гораздо удобнее назвать это "плата за услугу" и получить больше доверчивых, религиозных и просто тупых клиентов, чем устанавливать какие-то проценты, показывать какие-то рассчеты...

И они начали пропихивать её везде. И даже рекламировать, как "рассрочка без процентов!".
Озон, Тинькофф, Альфа, Сбер... Все ударились в эту вакханалию пиздежа.
Некоторые (как Т-Банк) в своё время настолько преисполнились, что подключали людям рассрочку на крупные покупки без их согласия - достаточно было в приложении ПОСМОТРЕТЬ НА УСЛОВИЯ рассрочки. А там дальше человек даже не знал, что он уже не просто платёж по кредитке платит, но что он еще и рассрочку оплачивает (да, я лично так подъебался, пока не заметил, что у меня вдруг ежемесячный платеж по кредитке не вырос на заметную сумму).

И беда тут в том, что вот эта самая "плата за услугу" теперь так манит банкиров наебать заработать побольше - и они эту свою "плату за услугу" пропихивают везде.

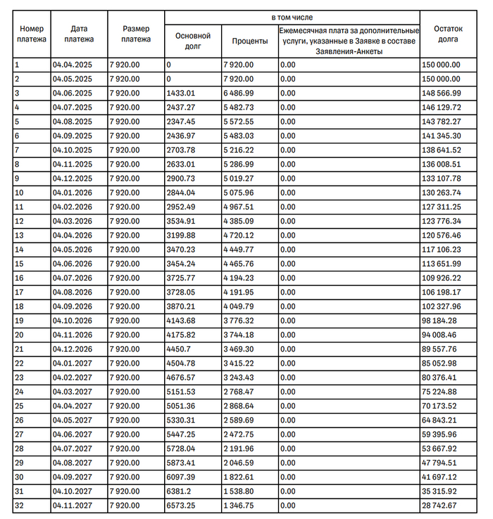
График платежей одного Т-Банка (только что рассчет делал), в который я, конечно же, не буду тыкать пальцем со словами "Смотрите, какой банк Олег Тиньков просрал!"

График платежей одного Т-Банка (только что рассчет делал), в который я, конечно же, не буду тыкать пальцем со словами "Смотрите, какой банк Олег Тиньков просрал!"

Обратите внимание, что первые 2 месяца проходит только оплата процентов, а не основного долга, ибо практика показывает, что люди стремятся закрыть кредиты досрочно, а банку хочется поиметь по максимуму - так что если не выплатите кредит полностью за первый месяц - просто "подарите" банку дополнительную "премию" (да, если пятого мая закрыть кредит - подарите банку 15840 рублей, что является чуть больше, чем 10% - и это за 2 месяца, что для банка равно примерно 60% годовых; а если не погасите досрочно - банк тоже не в проигрыше).

Так и живём. Честность? Это только в книжках.
Так что читайте, блядь, условия внимательно - таких наёбщиков наказывать можно только рублём.
И помните - спрос рождает предложение, а конкуренция - это наше всё. Жаль только, что у нас тут налицо картельный сговор банков... Ну да хуй с ним. Надо верить в хорошее.

Показать полностью 1
144

Ответ на пост «Альфа, вы там уху не ели?»

Альфа Банк - делал директором монгенштерна, вы чего от них хотите то? Он позиционирует себя для йоу молодежи. А йоу молодежь - не думает, поэтому и рекламу такую дают, как для стада. Человек, который уважает себя, после этого не будет иметь никаких дел с данным банком.

Альфа Банк не считал коронавирус форс-мажором и требовал с клиентов немедленной оплатой. Зато одновременно с этим, требовал снизить аренду на 50% для банкоматов, оправдывая тем, что из-за короновируса банкоматом меньше стали пользоваться.)))

5706

Альфа, вы там уху не ели?

Что-то подгорело у меня.
Случайно промахнулся в приложении Альфа-банка.
Оказывается, предлагают рассрочку. Но какую-то странную.

Никакого подвоха...

Никакого подвоха...

Путем простых математических вычислений получаем переплату 8420руб за 3 месяца, что в годовом выражении получается 33,7% 😤
Решил почитать дальше. И вот что пишет банк:

Объяснение для человека, не дружащего с математикой

Объяснение для человека, не дружащего с математикой

Т.е. проценты они не берут. Просто плата за услугу! Браво, аплодирую стоя!
Ловко придумано!

UPD:

Специально для финансово грамотных.
Я написал про переплату за год в 33,7%.
И да, такая рассрочка в 100000руб по сумме ежемесячного платежа в 36140руб равносильна кредиту с аннуитетным платежом под 50% годовых.
Спасибо @DAumkraft за комментарий (#comment_339462696) со ссылкой на "Обратный кредитный калькулятор":

http://bcalc.ru/credit/revcrcalc.php

Показать полностью 2
Отличная работа, все прочитано!

Темы

Политика

Теги

Популярные авторы

Сообщества

18+

Теги

Популярные авторы

Сообщества

Игры

Теги

Популярные авторы

Сообщества

Юмор

Теги

Популярные авторы

Сообщества

Отношения

Теги

Популярные авторы

Сообщества

Здоровье

Теги

Популярные авторы

Сообщества

Путешествия

Теги

Популярные авторы

Сообщества

Спорт

Теги

Популярные авторы

Сообщества

Хобби

Теги

Популярные авторы

Сообщества

Сервис

Теги

Популярные авторы

Сообщества

Природа

Теги

Популярные авторы

Сообщества

Бизнес

Теги

Популярные авторы

Сообщества

Транспорт

Теги

Популярные авторы

Сообщества

Общение

Теги

Популярные авторы

Сообщества

Юриспруденция

Теги

Популярные авторы

Сообщества

Наука

Теги

Популярные авторы

Сообщества

IT

Теги

Популярные авторы

Сообщества

Животные

Теги

Популярные авторы

Сообщества

Кино и сериалы

Теги

Популярные авторы

Сообщества

Экономика

Теги

Популярные авторы

Сообщества

Кулинария

Теги

Популярные авторы

Сообщества

История

Теги

Популярные авторы

Сообщества