МатОлимп #7
В МатОлимп #5 многие жаловались, что задачка была супер детская. Ну хорошо, сегодня задачка с международной олимпиады 2006 года. Не сказать, что задача супер сложная, но у меня она отняла некоторое время. Я бы дал ей 7/10. Вот ее условия.
Итак, надо найти все целочисленные пары (x,y) такие, что выполняется соответствующее уравнение. Дадим немного времени подумать. А пока шутка-минутка!
Ну хорошо, вернёмся к задаче. Очевидно, что икс больше либо равен 0 (иначе игрек не будет целым). Это следует из того, что
Также заметим, что если (x,y) решение, то и (x,-y) решение.
Рассмотрим случаи 0,1,2.
x=0, y=2 (значит x=0, y=-2 тоже решение).
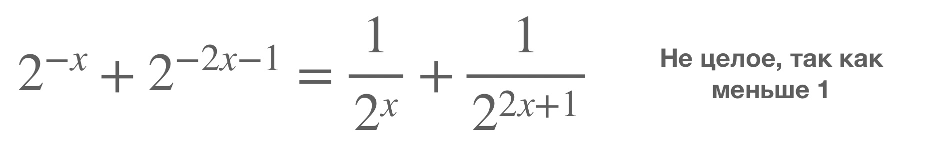
x=1, y - не целое.
x=2, y - не целое.
Будем считать, что x>2.
Рассмотрим случай, когда y четно (y=2k). Тогда
Слева нечетное число, справа четное. Значит решений нет.
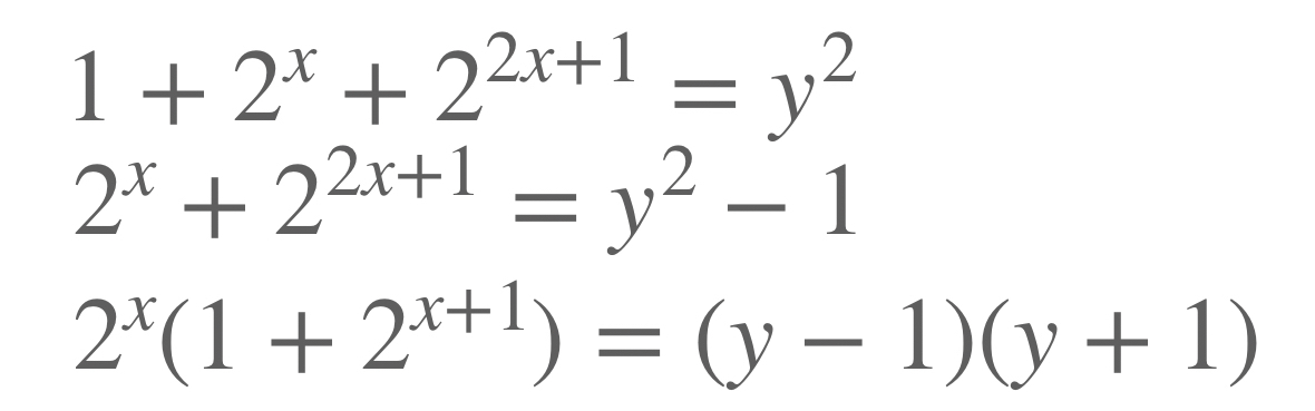
Значит y нечетное. Тогда можно написать следующие выражения.
Т.к. у - нечетное, то у-1 и у+1 чётные и они делятся на 2. Более того, это два последовательных четных числа. Значит одно из делится на 4, а другое нет. Но вот какое -непонятно. Левая часть делится на 2^x. Значит то число, Которе делится на 4 ещё должно делится на 2^(x-1) ( одну двойку мы учли на число, делящееся только на 2). Итак
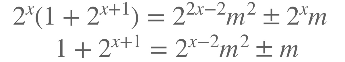
где m -нечетно (m>1). Тогда правая часть нашего уравнения имеет вид
Подставляем ее в уравнение
Учтём, что 2^(x+1)=8*2^(x-2). Тогда последнее выражение приводится к следующему виду
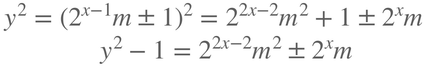
Если выбрать знак минус, то слева будет все г-жа отрицательное выражение,а справа положительное. Значит остаётся только знак минус.
Итак, остался последний шаг! Так как x>3, мы можем написать следующее неравенство.
Решая это неравенство (например, методом интервалов), получаем решение
Теперь вспоминаем, что m целое, большее 1. Но правая граница меньше 4. Значит m=3. Подставляем это значение в наше уравнение и получаем
Значит, x=4. Соответствующий игрек 23 и -23. На этом решения данного уравнения заканчиваются. Задача решена!
Предыдущий пост: МатОлимп #6












Лига математиков
914 постов2.5K подписчика