Красивейшее доказательство истинной природы числа е
Сегодня хочу рассказать Вам о замечательном доказательстве иррациональности знаменитого числа Эйлера е = 2,71828..., которое дал великий Шарль Фурье. Доказательство доступно каждому, кто знаком с курсом математики в объеме школьной программы. Поехали!
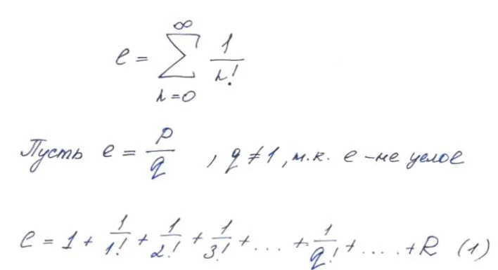
Итак, напомню, что рациональное число - это число, которое можно выразить в виде p/q, где p - целое, q - натуральное. Доказательство Фурье великолепно в том числе потому, что использует классическую схему "доказательства от противного", которая лично мне всегда приносит наслаждение. Итак, предположим, что е = 2,71828... = p/q и используем известную из математического анализа формулу:
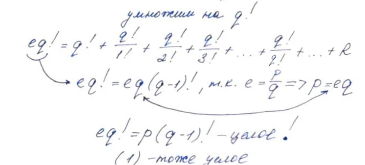
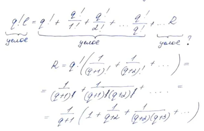
Очевидно, что q не равно 1. Запомните, этот твист понадобится в конце доказательстваТеперь необходимо поработать с последним выражением. Умножим его на q!:
Например, выражение q!/3! - целое, т.к. равно (1*2*3*...q)/(1*2*3). Во второй строчке мы делаем подстановку: вместо eq подставляем p (исходя из предположения, что e рационально и равно p/q). В третьей строчке произведение целого числа p на факториал (q-1)! - тоже целого числа.
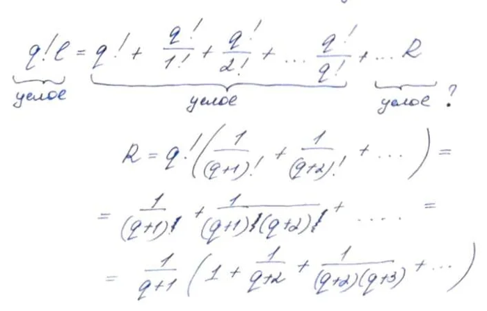
Получается, что в формуле (1) левая часть целая, а значит целой является и правая часть. Вот к ней и пристально присмотримся:
За R обозначим всю бесконечную часть суммы. Однако, есть сомнения, является ли R целым числом, ведь, если мы докажем, что R дробное, то придем к противоречию: целое число = целое число + дробь.
Записав бесконечную часть R в удобном виде заметим, что R всегда меньше следующего выражения:
Например, пусть q = 2, тогда 1/(q+2)(q+3) = 1/20, а соответствующее ему выражение из последней формулы равно 1/(2+1)^2 = 1/9. Получается, что каждый член последней формулы больше члена из R. Это важнейший этап доказательства
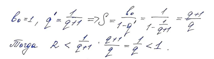
Мы специально ограничили R сверху удобным выражением, бесконечную сумму которого может найти каждый девятиклассник, ведь это геометрическая прогрессия с первым членом 1 и знаменателем 1/(q+1) < 1. Это даёт нам право применить формулу:
q' обозначил знаменатель прогрессии, чтобы не вносить путаницу.
Таким образом, бесконечный остаток R из формулы (1) строго меньше единицы. Вкупе с тем, что R > 0, получаем, что R - дробное число! Чувствуете, как запахло жареным?
Целое и дробное число не могут в сумме давать целое! Значит, наше первоначальное предположении о рациональности e неверно, и число Эйлера является иррациональным числом.
Еще больше интересностей, например, о том, почему вещественные числа делятся на рациональные и иррациональные - в телеграм-канале Математика не для всех






