Бедный студент просит помощи
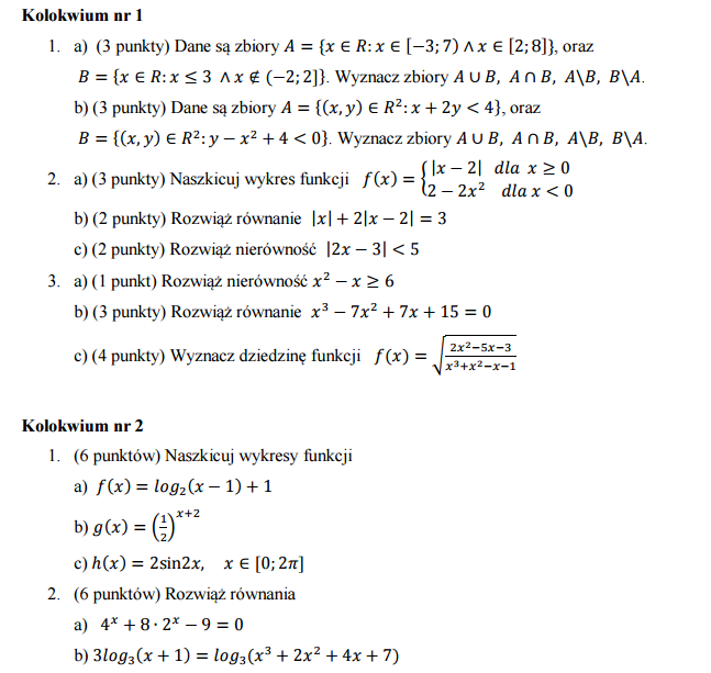
Это не очередная котоламповая история, просто хочу попытать удачу и попытаться найти человека с доброй душой, огромным терпением и хорошими познаниями высшей математики. Если посмотреть мои последние записи, то можно понять, что я хотела поступать на ветеринара (и поступила как бы), но не поехала учиться, а волей судьбы (а точнее моих родителей) оказалась в политехе. Я гуманитарий до мозга костей (проще говоря - тупая), математику я знаю на уровне класса 8, но к сожалению программа моего учебного заведения такова, что у меня вышка на два семестра и мы начали изучать циклометрические функции. Я не могу позволить себе вылететь или остаться на повторный курс, никто из моих ближайших знакомых и друзей в математике не разбирается достаточно хорошо, чтобы объяснить мне новый материал. А денег на репетитора я не имею.
В общем, очень прошу и взываю к помощи неравнодушных технарей - помогите бедной тугодоходящей студентке!
Отблагодарю как смогу, но пока не знаю как.
(Для особо умных добавлю - вариант "садись и зубри, хули ноешь" не катит. Я уже пыталась не раз. Статейки в интернетах запутывают ещё больше :(
Коммент для минусов я оставлю.

