Задача Пуаро (теория вероятности)
Убийство в “Восточном Экспрессе”. Версия для полиции.
В вагоне 14 мест, один пассажир потерял билет и выбирает купе случайным образом, другие 13 человек занимают свои места. Но если место занято, то пассажир выбирает другое свободное.
Последним в поезд входит Джонни Депп.
Его хотят убить. Незнакомец (15ый пассажир) пробирается в вагон и протыкает того, кто спит в купе Джонни.
Какова вероятность, что это будет он, а не другой пассажир?
Пассажир, потерявший билет, был СЛУЧАЙНЫМ (может быть и Джонни), он выбирает новое место в вагоне СЛУЧАЙНО. Другие пассажиры, если их место уже занято, выбирают новое место тоже СЛУЧАЙНО.
Решение.
Задачу я придумала, опираясь на оригинал про безумную старушку и самолёт. Ее мне загадали однажды 2 программиста, когда я была совсем далека от программирования (привет Косте и Серёже).
Итак, я немного изменила условия, что повлияет на результат (если мои рассуждения верны). Но начало решения общее.
Пассажиры занимают свои места. Никаких других вариантов развития событий нет, пока в поезд не заходит пассажир без билета. Назовём его Пуаро.
Пуаро может:
— занять своё место, тогда все займут места согласно билетам, а Джонни убьют.
— занять место жертвы и тогда убьют Пуаро.
— занять чьё-то ещё место.
Следующий пассажир, чьё место занято, занимает:
1) место Пуаро.
2) место Джонни Деппа.
3) чьё-то чужое.
Вероятность (1) и (2) одинаковы. Вероятность (3) повыше, но это не важно, тк в случае (3) места Пуаро и жертвы остаются свободными, игра продолжается.
Если пассажир, на чьё место сели, займёт место Пуаро, порядок восстановится, оставшиеся пассажиры будут занимать свои места, и Джонни убьют.
Если пассажир, на чьё место сели, займёт место Джонни, убьют этого пассажира.
Предпоследний пассажир #13 (если до него никто так и не сел ни на место жертвы, ни на место Пуаро) выбирает одно из этих мест. И таким образом решает, кто умрет. 50 на 50.
Получается, что вероятность того, что на место Джонни Деппа сядет кто-то другой - 50%.
Но пассажиром без билета может быть и сам Джонни (в 1 случае из 14). И тогда все остальные пассажиры занимают свои места, а его со 100% вероятностью убивают.
Джонни без билета - квази Пуаро в вакууме.
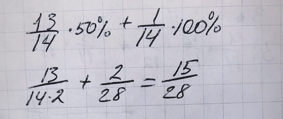
То есть в 13 из 14 случаев его убьют с вероятностью 50%. И в 1 из 14 - 100%.
Вероятность Джонни быть убитым 15/28 или 54%.








