Математика доказала, что мир непознаваем
Нет, я не собираюсь устраивать бесконечный философский срач между гностиками (считают, что мир познаваем) и агностиками (наоборот). Просто потому что… Мир таки непознаваем =)
Кто-то может заявить, что это непознаваемо: познаваем ли мир. Но нет, это как раз познаваемо.
Казалось бы, это всё слова и демагогия, а значит субъективно и недоказуемо. Но нашёлся в мире гениальный человек, который смог перевести категории и понятия в конкретные формы математической логики и реально доказать что мир непознаваем - Курт Гёдель. Сформулировать обсуждаемую теорему можно так: “Если формальная система внутренне непротиворечива, то в ней существует невыводимая и неопровержимая теорема”. Перефразируя: “Если с теоремой всё ок, то обязательно существует шняга, которую она не описывает и не может вывести”.
Как бы мы не расширяли “теорию всего”, она никогда не опишет мир и всегда будет неполна.
“Теорема Гёделя о Неполноте” доступно нигде толком не описана, поэтому ссылок на неё не будет [вики для галочки] =(.
По теме есть книженция “Гёдель, Эшер, Бах: эта бесконечная гирлянда” - нестандартная (как и все математики) и есть чем заинтересовать даже гуманитария, но и там есть свои проблемы.
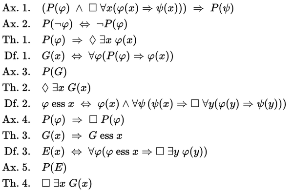
Для примера, каким вообще языком пользовался Гёдель:
Запись выше из последнего труда Гёделя: “Онтологическое доказательство существования бога”.
Уот так уот. Гуглите, изучайте, да прибудет с вами сила знание!

Наука | Научпоп
9.5K поста83K подписчиков
Правила сообщества
Основные условия публикации
- Посты должны иметь отношение к науке, актуальным открытиям или жизни научного сообщества и содержать ссылки на авторитетный источник.
- Посты должны по возможности избегать кликбейта и броских фраз, вводящих в заблуждение.
- Научные статьи должны сопровождаться описанием исследования, доступным на популярном уровне. Слишком профессиональный материал может быть отклонён.
- Видеоматериалы должны иметь описание.
- Названия должны отражать суть исследования.
- Если пост содержит материал, оригинал которого написан или снят на иностранном языке, русская версия должна содержать все основные положения.
- Посты-ответы также должны самостоятельно (без привязки к оригинальному посту) удовлетворять всем вышеперечисленным условиям.
Не принимаются к публикации
- Точные или урезанные копии журнальных и газетных статей. Посты о последних достижениях науки должны содержать ваш разъясняющий комментарий или представлять обзоры нескольких статей.
- Юмористические посты, представляющие также точные и урезанные копии из популярных источников, цитаты сборников. Научный юмор приветствуется, но должен публиковаться большими порциями, а не набивать рейтинг единичными цитатами огромного сборника.
- Посты с вопросами околонаучного, но базового уровня, просьбы о помощи в решении задач и проведении исследований отправляются в общую ленту. По возможности модерация сообщества даст свой ответ.
Наказывается баном
- Оскорбления, выраженные лично пользователю или категории пользователей.
- Попытки использовать сообщество для рекламы.
- Фальсификация фактов.
- Многократные попытки публикации материалов, не удовлетворяющих правилам.
- Троллинг, флейм.
- Нарушение правил сайта в целом.
Окончательное решение по соответствию поста или комментария правилам принимается модерацией сообщества. Просьбы о разбане и жалобы на модерацию принимает администратор сообщества. Жалобы на администратора принимает и общество Пикабу.