Какой плов надо считать "настоящим"?
В очередной раз в обсуждении приготовления плова столкнулся с огромным количеством знатоков "правильного" плова. Да, иногда попадаются знатоки профессиональные, по образованию или по роду деятельности. Но у них то как раз и шире кругозор по рецептуре и способам приготовления. А "диванные эксперты", знающие только один рецепт, сразу кричать начинают: "А царь-то плов-то ненастоящий". Пост о плове. Сказка о плове.
Стало мне интересно, когда и в каком виде попал плов на землю Русскую.
Начну с цитаты уважаемого Карима Махмудова из книги "Плов на любой вкус" , изданной в Ташкенте в 1987 году. Кстати, в этой книге размещены рецепты 58 видов плова, в том числе с репой, редикой, свеклой, картофелем.
Узбекский плов, как блюдо, незаменимым компонентом которого является рис, известен с незапамятных времен. Хотя и скудные, но сведения об этом блюде встречаются в народных сказаниях, изречениях, в эпосе. Есть сведения, что в Х-ХI веках на больших угощениях это блюдо готовили из риса сорта девзира. В XV веке плов считался почетным блюдом, его подавали как на свадьбах и больших праздниках, так и при поминальных обрядах.
Уже в XVI веке были описаны рецепты и технология приготовления плова с рубленым мясом, рисом сорта девзира и лущеным горохом.
У географа и историка XVII века Махмуда ибн Вали также есть сведения о том, что в те времена в Мавароуннахре (междуречье Сырдарьи и Амударьи) возделывали различные овощи, фрукты и злаковые, в том числе и рис сорта девзира.
Средняя Азия, рис, баранина, тепло - это всё здорово. Но нас интересует появление плова в России.
Представьте себе Россию конца XVIII века. Для большинства жителей слово «пилав» — такая же диковинка, как ананас или фарфоровая кукла. Оно, как название блюда, не появляется даже в четырехтомном словаре всех языков и наречий.
Страница со словом "плов". Кому интересно - ссылка https://rusneb.ru/search/?q=%D0%BF%D0%BB%D0%BE%D0%B2&exact=exact&access%5B%5D=open
Готовили его, если готовили, только в самых богатых домах, списывая рецепты от руки в фамильные «Кухмистерские книги». Там плов был сложным действом: слои риса, баранины, урюка и шафрана. Блюдо для особых случаев, почти ритуал.
Всё изменила книга, которая появилась почти в каждом образованном доме — «Подарок молодым хозяйкам» Елены Молоховец (1861). У неё плов (она пишет «пилав по-турецки») уже не просто экзотика, а практический рецепт. И здесь происходит первая великая адаптация. Хозяйкам предлагали не искать курдючный жир и строить паровую баню, а просто обжарить мясо с луком и потушить всё с рисом в бульоне. Шафран часто заменяли на куркуму или томат — для цвета и доступности. Плов начал входить в повседневный обиход городского человека, переставая быть сказкой Востока.
Книга пережила множество переизданий, это обложка 27 издания. Последний раз книга переиздавалась в 1917 году. Сейчас возможно найти переиздания-новоделы.
Настоящую народную любовь плов обрёл в советское время. Его сделали всеобщим достоянием. В легендарной «Книге о вкусной и здоровой пище» он скромно занял место среди других блюд из круп. Технология стала простой и понятной для кухни в хрущёвке: обжарил мясо (чаще уже говядину, а не баранину), засыпал рис, залил водой и ждал, пока выкипит. Это был демократичный, сытный, «инженерный» плов. Его даже зафиксировали в строгих ГОСТах для столовых — с точностью до грамма на порцию. Казалось, традиция уступила место стандарту.
В 1939 году по указанию Анастаса Микояна была выпущена уникальная «Книга о вкусной и здоровой пище» с его собственным предисловием, в котором нарком пищевой промышленности призвал народ к социалистическому изобилию. К каждому из разделов книги было подобрано в качестве эпиграфа какое-либо из высказываний Микояна или Сталина. Книга была написана опытными кулинарами-практиками совместно со специалистами отраслевых институтов, учеными ВНИИ питания Народного комиссариата здравоохранения.
Ни одна другая советская книга не переиздавалась так часто – почти каждый год на протяжении полувека. За этой книгой гонялись все. В магазинах, забитых партийной литературой и стихами малоизвестных советских писателей, такая книга не продавалась. Ее «доставали по блату». Ре6цепты плова из этой книги
Однако на дачах и в походах рождался другой плов — ароматный, с дымком, из казана. Это был образ праздника и дружбы народов.
Несмотря на развал Союза и появление разногласий с бывшими союзными республиками, плов остался одним из любимых блюд в России.
А потом наступил XXI век с его повальным интересом к аутентичной кухне. И случилась «пловная революция». Её возглавил Сталик Ханкишиев — через журнал «Гастрономъ» и свои книги он не просто дал рецепт, а объяснил физику идеального плова. Он с энтузиазмом археолога откопал канон: правильную девзиру, желтую морковь, курдючный жир, слои зирвака и риса. Его рецепты стали для многих откровением — оказывается, тот самый «советский» плов из кастрюли был лишь тенью настоящего блюда.
Но современная кухня не терпит одного правила. Пока одни свято блюли канон, другие принялись экспериментировать. На свет появились пловы с курицей и черносливом, с морепродуктами, даже вегетарианские. Плов стал методом, а не догмой.
В своей "Книге о вкусной и здоровой пище", изданной в 2014 году Алла Погожева приводит рецепт плова из риса с фруктами, без мяса.
Так за три столетия плов проделал удивительный путь: от заморской диковины до строгого рецепта в книге Елены Молоховец, и далее до возрождённой священной традиции у Ханкишиева и бесконечного поля для экспериментов сегодня.
История плова - это история самой России: расширяющей границы, ищущей простые решения, тоскующей по исконному вкусу и с удовольствием пробующей что-то новое. И теперь в любую погоду - и в дождь над дачным костром, и в метель на городской кухне - запах плова остаётся запахом большого и щедрого праздника.
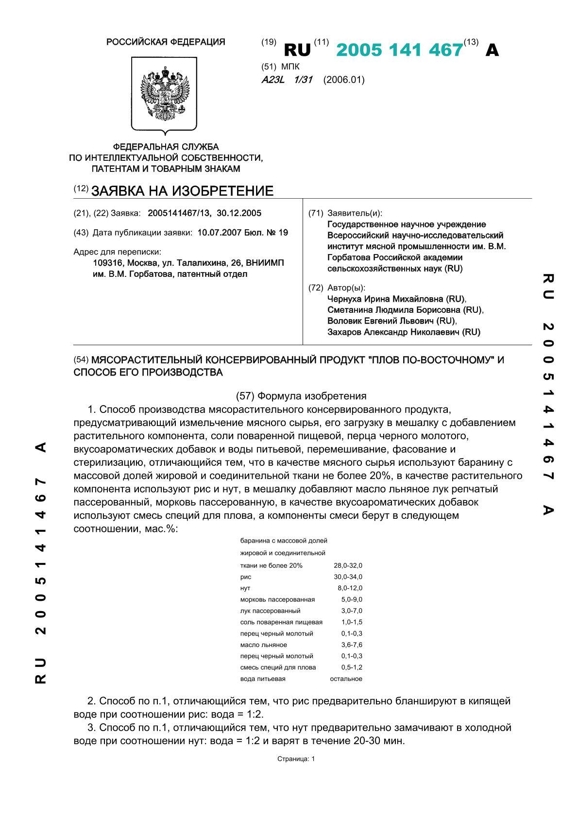
И при этом рецепты плова до сих пор регистрируются как изобретения
Поэтому, предлагаю настоящим пловом, считать рецепт, защищённый патентом. А всё остальное будет - рисовая каша с мясом или без мяса, которую при желании можно назвать пловом.











Поваренная книга Пикабу
9.9K постов23.3K подписчик
Правила сообщества
Действуют основные правила Пикабу