Мои опыты по цементации
Привет, давненько ничего не писал и вот созрел, сказ пойдет про мои опыты с цементацией стали.
Сам процесс давно известен и широко распространен в промышленности, заключается в насыщении поверхности стального изделия углеродом с целью получения определенного комплекса свойств. Как пример в голову приходят шестерни, которые должны выдерживать частые удары и толчки и при этом поверхность должна быть твердой и износостойкой.
Если сделать такую деталь из низкоуглеродистой мягкой стали, она будет стойкой к ударам, но с низкой износостойкостью поверхности, если использовать твердую высокоуглеродистую сталь – то износ поверхности будет пониженный, но от частых ударов она может преждевременно сломаться.
В таких случаях и применяют цементацию, после полной обработки изделие сохраняет и вязкость сердцевины, и получает износостойкость поверхности. Как правило, цементации подвергают низкоуглеродистые конструкционные стали, к примеру типа Ст. 1, Ст. 2, 15Х и т. д.
Стоит сказать, что существует несколько типов
цементации в зависимости от насыщающей среды – в твердом карбюризаторе,
газообразном, жидком, с использованием пасты. Я остановлюсь на самом простом –
первом.
В качестве подопытного решил использовать
бесполезный напильник от Сибртех, сделанный из какого-то низкоуглеродистого
хлама (про него была речь в одном из постов ранее). Ну и почему бы не придать
этому шедевру китайской промышленности форму ножа. Старался, как мог.
Было:
Стало:
Теперь потребуется насыщающая среда – карбюризатор, его можно купить готовым, а можно сделать самому, выбираю второй вариант. В ближайшем магазине закупаю пачку угля для мангала, а для ускорения процесса буду добавлять в смесь кальцинированную соду. Состав простейшего карбюризатора такой: 85-90% древесного угля и 10-15% кальцинированной соды.
Вообще уголь стоит брать не любой, а плотный березовый или дубовый. Другие сорта сильнее прогорают и могут привести к неоднородности в слое (так гласит теория). Уголь нужно размельчить до частиц примерно в 2-5 мм, у меня вышло чуть крупнее. Перетирать в труху, как это делают отдельные индивиды, не стоит, ведь при нагреве выделяется необходимый нам газ СО, который должен свободно просачиваться между частичками угля и взаимодействовать с поверхностью изделия, отдавая ей атомы углерода.
Компоненты хорошенько смешиваются и просушиваются в печи 3 часа при 105-110гр. Недавно попалось видео, где тип сыпет в контейнер сначала уголь, затем сверху соду, не надо так. Для большей однородности смеси соду растворю в воде и пропитаю раствором уголь, затем просушу.
Для цементации нужен правильный контейнер, это может быть стальной ящик или трубка с крышкой. Он не должен быть слишком большой, так как на каждые 100мм толщины уходит примерно 2 часа на прогрев, но и слишком маленьким он не должен быть, необходимо выполнить условия укладки, как на фото ниже, примерно по 25 мм от изделия до стенок ящика.
У меня ничего подходящего не было, для экспериментов взял трубку диаметром 30мм, в которой я делаю отжиг. Засыпаю на дно контейнера слой угля, помещаю внутрь заготовку, постепенно заполняю все смесью и периодически простукиваю, чтобы утрамбовать. В верхней части сборки у меня будет образец - свидетель для контроля глубины слоя.
В конце закрываю трубку крышкой и щели промазываю небольшим слоем огнеупорной глины. Глине стоит дать высохнуть естественным путем, если она будет влажной, как было у меня в первый раз, она вздуется и нарушится герметичность сборки, внутрь попадет воздух, а ценный СО будет выходить.
Затем контейнер отправляется в предварительно подогретую до 700гр печь и выставляется температура цементации, как правило, это 900-950гр. Скорость цементации ориентировочно берется, как 0,15мм/ч при слое менее 1мм и 0,1мм/ч при слое более 1мм. Я возьму общую выдержку 5 часов, час на прогрев и 4 на цементацию, этого должно хватить на сквозное насыщение режущей части.
По истечении времени сборку достаю на спокойный воздух, открою ее, когда полностью остынет.
Уголь частично прогорел и просел. Нож остался светлым, как будто с ним ничего не делали, а вот образец частично окислился, это произошло еще в первый раз, когда внутрь попал воздух из-за влажной глины.
Чтобы проконтролировать слой подготавливаю образец и травлю пару минут в 3% спиртовом или водном растворе азотной кислоты, проверял, работает и с раствором хлорного железа. Черный ободок и есть цементованный слой, замеряется в отсутствии микроскопа хотя бы линейкой.
Второй способ посмотреть глубину слоя – образец закалить с оптимальной для поверхности температуры и сломать (не забыть протереть от грязи и масла, чтобы не попало в излом). Цементованный слой в изломе будет мелкозернистый, ну а сердцевина крупнозернистая.
В общем, у меня получилось где-то 0,4мм. Про вариант контроля слоя на микроскопе не рассказываю, так как он не у всех есть.
Теперь надо нож закалить. Есть такой нюанс, что
на поверхности, грубо говоря, у нас высокоуглеродистая сталь типа У10, а
сердцевина низкоуглеродистая, что для центра будет нормальной температурой
закалки, для поверхности – перегрев.
Схем закалки много, расскажу про две. В первом случае деталь остывает после цементации и закаливается один раз, если нужны высокие свойства от поверхности, то с температур оптимальных для поверхности, если акцент на сердцевину, то естественно с температур, оптимальных для сердцевины.
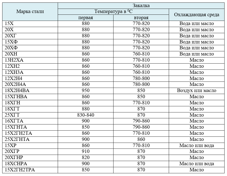
Второй вариант – это две закалки или нормализация и закалка. Первая закалка формирует свойства центра, вторая уже задает свойства поверхности. Таблицу с режимами приведу ниже.
Я сделаю по первому варианту и закалю с температуры 760гр. в масло. Затем отпуск 2 часа при 160-180гр. и всё.
В итоге получаю твердость на поверхности около 60HRC. При оценке на твердомере бутылковом ТБ-1 видны царапины.Дальше манипуляции с окончательной механической обработкой, оксидированием и изготовлением рукояти. В итоге вышло вот такое чудовище, мягко говоря, до идеала очень далеко…
В общем вот такой вышел пост, в завершении прикреплю ролик со своими мучениями и ссылку на яндекс диск, куда залил написанную по изученному материалу методичку о цементации, постарался оформить все как можно проще, так что ответы на возникшие вопросы можно найти там.
Методичка тут https://disk.yandex.ru/i/0EaokNs0phCCCw
Спасибо за внимание.















Лига технологов
195 постов1.6K подписчиков
Правила сообщества
Если вы хотите добавить пост пожалуйста убедитесь что информация в нем правдива.
Посты не по теме,с ложной информацией и т.п. будут удаляться.
Чтобы стать участником Лиги,надо написать мне в личку или призвать в комментариях с просьбой о принятии в Лигу.
Те кто приняты в Лигу,могут помогать пикабушникам от имени Лиги технологов.