Как возводить дроби в степень
Возведение дробей в степень — это важная операция в математике, которая применяется в различных областях: от алгебры до анализа. Эта тема может показаться сложной, но если разобраться, то все становится достаточно просто. В этой статье мы рассмотрим четыре основных случая возведения дроби в степень: с положительным показателем, с отрицательным, с дробным и с отрицательным дробным показателем.
1. Возведение дроби в положительную степень
Если мы возводим дробь в положительную степень, то это делается по обычным правилам возведения чисел в степень. Рассмотрим дробь вида a/b (где a и b — это числа, причем b ≠ 0). Чтобы возвести дробь в степень, необходимо возвести в эту степень и числитель, и знаменатель:
Здесь мы возводим числитель и знаменатель в третью степень.
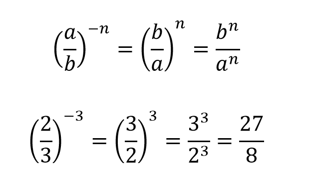
2. Возведение дроби в степень с отрицательным показателем
Когда дробь возводится в степень с отрицательным показателем, важно помнить, что отрицательная степень означает взятие обратной дроби. Например, если у нас есть дробь (a/b) с отрицательной степенью, то мы сначала берем обратную дробь (b/a), а затем возводим ее в положительную степень. Формула для этого случая выглядит так:
Здесь мы сначала меняем местами числитель и знаменатель, а затем возводим дробь в степень.
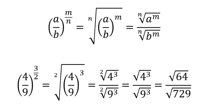
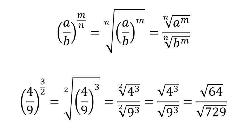
3. Возведение дроби в степень с дробным показателем
Если показатель степени дробный, то это эквивалентно извлечению корня из дроби. Например, дробь (a/b) возводится в степень m/n, где m и n — целые числа. В этом случае дробь будет представлять собой подкоренное выражение в степени m, а показатель корня будет равен знаменателю степени.
Формула выглядит так:
Здесь мы извлекли квадратные корни из числителя и знаменателя.
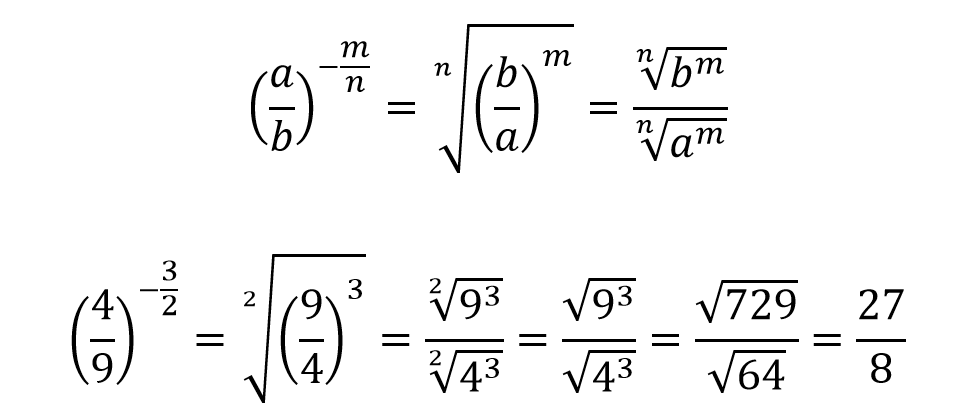
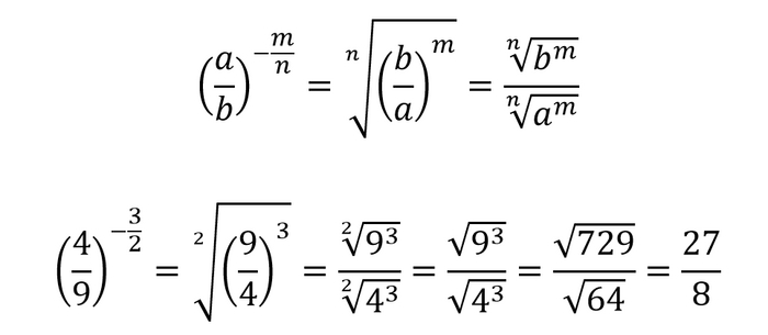
4. Возведение дроби в степень с отрицательным дробным показателем
Когда дробь возводится в степень с отрицательным дробным показателем, необходимо выполнить две операции: сначала берем обратную дробь, а затем применяем правила для дробного показателя степени. Таким образом, если показатель степени отрицательный и дробный, то сначала меняем местами числитель и знаменатель, а потом числитель и знаменатель возводим в степень и извлекаем корень.
Формула:
В этом случае мы сначала поменяли местами числитель и знаменатель, а затем извлекли квадратные корни.
Как упростить расчеты
Возведение дроби в степень может быть сложным, особенно когда показатели степени большие или дробные. Чтобы упростить этот процесс, вы можете использовать онлайн калькулятор для возведения дробей в степень. Такой калькулятор может легко и быстро вычислить степень дроби — будь то положительная, отрицательная или дробная степень — и предоставить подробное решение.
С помощью калькулятора вы можете не только быстро получить результат, но и увидеть, как проводится расчет, что поможет вам лучше понять, как работают эти операции.
Заключение
Возведение дроби в степень — это полезный инструмент в математике, который открывает множество возможностей для работы с числами. Запомнив основные правила для возведения дробей в положительные, отрицательные и дробные степени, вы сможете решать различные задачи.



