Как движется тело в свободном падении или ответ на "Жесть"
Всем доброго времени суток
Как можно заметить по названию, идея для этого поста появилась не очень обычно. В ленте мне попался пост из категории жести (ссылка на него, описывать что там не буду, кому надо - тот посмотрит, кому не надо - не прочтет), где в комментариях был вопрос про скорость падения. Ну и раз вы видите этот пост то, я думаю, понимаете, кто взялся за ответ
Начну я не со скорости, а с более интересного - со связи скорости с высотой падения. Это гораздо более общая, более сложная и более интересная задача, о которой и есть смысл рассказать в посте. А уже после этого отвечу на вопросы из "жести", чтобы те, кто пришел только за физикой, могли спокойно пропустить тривиальные и не очень приятные вычисления
Связь между скоростью и высотой
В падении на тело действуют две силы: сила тяжести и сила сопротивления воздуха:
С силой тяжести все разобрались еще в школе - классическая формула равноускоренного движения. А вот аэродинамическое сопротивление - штука довольно сложная, и в полностью общем виде аналитических решений не видать. Но, как говорила моя преподавательница по физике, "Физика точна своей неточностью", а потому наложим кое-какие условия, с которыми мы сможем и рыбку съе..., а, в смысле, и аналитически решить, и точность неплохую сохранить. Для этого сначала посмотрим на наш диффур:
Здесь можно сразу заметить, что будет очень удобным назвать все буквы, кроме y, константами. А можно ли так сделать? - Да, вполне. Мы можем признать, что плотность воздуха не зависит от высоты, если расчет проводим для довольно небольших высот (а для них как раз и проводим), мы можем принять коэффициент сопротивления формы постоянным, так как скорость на таких высотах будет сильно ниже скорости звука, мы можем сказать, что площадь миделя будем считать постоянной, предполагая падение в стабильной ориентации. А, ну и еще g назвать константой, но тут это и так понятно
Итак, наше приближение готово, и работать оно будет вполне хорошо для небольших (<~1 км) высот. Теперь приступим к диффуру. А, ну только еще вот этот ворох констант заменим на одну, в остальном все
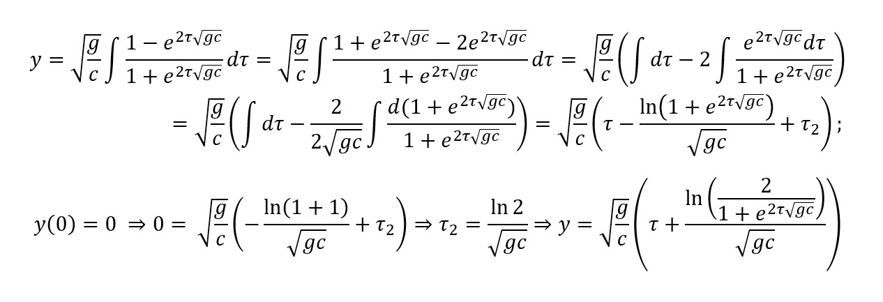
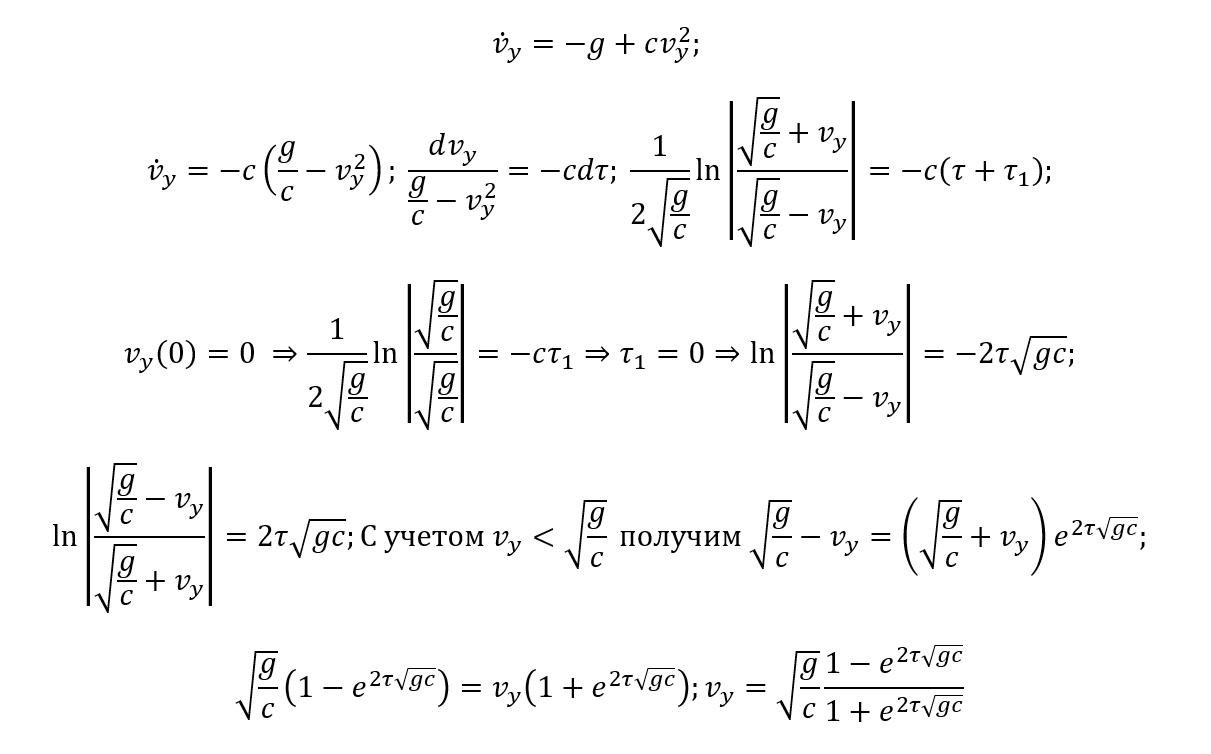
Первым делом решим его для скорости, тут самое обычное разделение переменных (только сразу учитываем начальные условия):
Конечно, можно было сразу заменить dt = dy / v_y и не париться с решением для времени, однако более длинным способом по пути мы выведем еще и формулы связи со временем, поэтому я предпочту длинное, но более информативное решение
Проинтегрировав скорость по времени, мы получим координату, поэтому берем вытянутую S в одну руку, дифференциал времени в другую и считаем (а, ну и опять начальные условия наложить не забываем, произвольные константы нам не нужны):
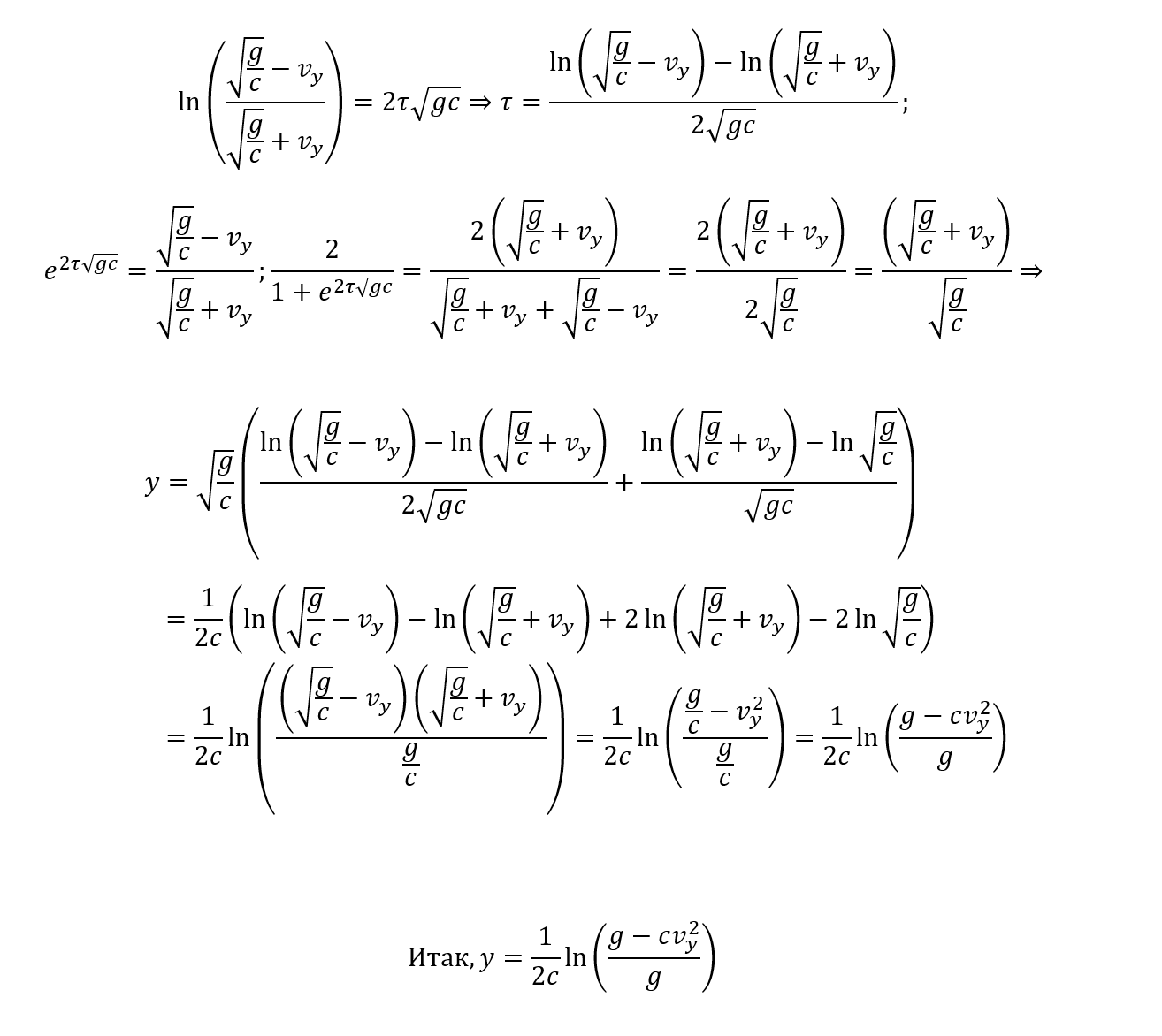
Мы получили формулы для скорости и координаты от времени (что кстати довольно приятно, ведь не всегда их можно определить аналитически). Можно ими полюбоваться, можно по ним считать, за какое время какое расстояние пролетит в тот или иной объект, а можно из них получить связь между высотой и скоростью. Мы займемся последним: выразим время через скорость и подставим в формулу для координаты:
И мы полчили довольно маленькую и красивую формулу. Тоже, как по мне, интересный факт: связь координаты со временем и скорости со временем выглядят стремно, зато вместе дают красивый результат. А еще интересно заметить то, как отличаются между собой формулы без учета сопротивления среды и с ее учетом:
Ну и удобно будет посмотреть на расхождение на графике
На этом физика заканчивается, надеюсь вам было интересно узнать про то, как что-либо падает (и как неточна школьная физика, хе-хе), если есть вопросы или дополнения - пишите в комментарии, стараюсь всегда и всем отвечать
Ну а теперь я перейду к ответу на тот пост
Определяем скорость и высоту падения из поста
Перед тем, как приступлю к вычислениям, хочу сказать, что событие, безусловно, печальное: родители уже собирались видеть своего ребенка взрослым, да и для пацана близилась взрослая жизнь, универ, тусовки, а тут... Грустно, в общем.
Но начнем наши вычисления. Чтобы приблизительно определить скорость падения, нужно, можно сказать, численно продифференцировать: взять два соседних кадра, посчитать перемещение. Я выбрал следующие два кадра:
На первом кадре проведены следующие построения. Отрезками (белые) проложен рост парня (~135,851 пикселя), желтым отрезком обозначено перемещение (93 пикселя), голубым отрезком проложена длина ступеньки у подъезда (~21,932 пикселя)
Все эти длины мы сейчас свяжем с метрами. Длина ступеньки согласно данным из интернета должна составлять 300 мм, ввиду искажения при съемке возьмем 250 мм, откуда отношение между метрами и пикселями (далее обозначу за k) будет равно 0,011399 м/пикс. Да, значение не совсем точное из-за искажения изображения, но погрешность будет не слишком большая. Также определим k, соотнеся с ростом парня. На глаз рост составляет ~165-170 см, с учетом того, что из-за поворота размер искажается, примем для соотношения рост в 150 см, тогда k = 0,011042 м/пикс. Чтобы повысить точность, будем использовать среднее арифметическое двух полученных значений. Тогда по итогу k = 0,0112205 м/пикс., а перемещение составит ~ 1,044 м. А тогда скорость приближенно равна 31,64 м/с.
Теперь на основе общей формулы из начала поста можем узнать, с какой высоты упал десятиклассник. Установившаяся скорость свободного падения по данным из интернета составляет около 55 м/с. Тогда несложно вычислить c для общей формулы:
Подставляя скорость, коэффициент сопротивления и ускорение свободного падения, получим высоту в 70 м, что составляет ~25 этажей (округление в меньшую сторону). Число этажей выглядит довольно значительным, и, вероятно, является слегка завышенным, так как выведенная формула требует постоянства коэффициента сопротивления, чего при подобном падении достичь невозможно. Ну и также 55 м/с (предельная скорость) - это для падения "плашмя", на фото человек летит не так. Скинув в 2,5 раза (цифра примерная и на глаз исходя из изменения миделевого сечения при падении боком)) коэффициент сопротивления получим 54,7 м или 20 этажей. Возможно, цифра еще меньше, но тут я упираюсь в погрешность при подсчете скорости и в собственные (масса, коэффициент сопротивления, площадь миделя) характеристики падавшего, поэтому более точные данные дадут уже только сотрудники органов
На этом пост уже точно заканчивается. Понимаю, что строить научпоп с расчетами вокруг жести не очень хорошее занятие, но надеюсь, что пост не вызовет негатива от читателей. Всем добра, и поменьше бы таких случаев, а в идеале вообще 0









