Заявка № 5574685647 о регистрации сообщества Лига юристов в Роскомнадзоре
Заявка № 5574685647 о регистрации сообщества Лига юристов в Роскомнадзоре
Заявка № 5574685647 о регистрации сообщества Лига юристов в Роскомнадзоре
Ау, янекс. Это что за кабальные условия? Вы отключили функцию удаления привязанных карт. И каждый день яндекс-залупа пытается содрать с моего банка подписку. А удалить карту не могу, т.к она единственная. Вы чё совсем берега попутали?
Господа юристы, на сколько денег можно опустить эту говноконтору?
ИМХО. По телефону вам надр их посадить на неустойку по закону о защите прав потребителей. Прписать ущерб за переписку и задержку поставки тысяч 30. Все это прописать в претензии. За задержку аванса идет пеня..тоже можно ее указать. Если дойдет до иска, то вставляйте туда моральный вред..упущенную выгоду в виде стоимости аренды подобного телефона за вырем задержки. В иске обязательно указывайте штраф за задержку исполнения решения суда о поставке аппарата -1000 руб/день. Я бы так сделал )))
С Рождеством, Пикабу! Неделю назад наткнулся на сайте на историю о том, как человеку вскрыли гараж и сообщили, что он под снос. Почитал комментарии, увидел, что большинство сошлись во мнении: гаражники сами виноваты, что вовремя всё не оформили. Пост: Прощай гараж
Решил вынести и свою детективную историю о попытке узнать судьбу наших гаражей на суд Пикабу. На написание ушла неделя, а на архивную работу ушло 6 лет. Сразу оговорюсь, гаражи нам пока не сносят, да и не планируют, но и оформить не дают. Далее очень много текста и картинок.
Место действия - Москва. Итак, в 2016 году умирает мой отец, который (как мы думали) получил в наследство один гараж №125 от деда, а второй №138 купил сам для бабушки.
Гаражи солидные, капитальные. После смерти деда в 1994 году первый гараж стала использовать мама, с 1999 года и по сей день в нём хранится её машина. Второй, после смерти бабушки в 2006 году, сдаётся в аренду.
Наследников только двое - я и мама. В 2016 году маме и мне отказывает нотариус во включении гаражей в наследственную массу. Оказывается, что гаражи всё это время были никак не оформлены. В жизни ГСК активного участия мы не принимали, только платили за электричество председательнице.
Идём в архивы искать документы, ничего не находим. Как раз в этот момент председательница ГСК находит юриста, и вместе со многими другими владельцами гаражей идём в суд. Юрист оказался очень слабым, дело проиграл. Говорили гаражники, что в районном суде судья запросила крупную взятку. Таким образом, один из двух наших гаражей признали самостроем, поскольку подавали в суд мы только на один гараж, однако никаких действий с тех пор со стороны государства не было.
В сентябре 2021 года объявляется гаражная амнистия. Сразу же идём в Департамент Городского Имущества (далее - ДГИ). Получаем отказ по пункту 9.5 приказа №214 ДГИ. Смотрим Проект Межевания Территории (ПМТ): гаражи на схеме есть, но никак не обозначены. Значит, размещение не предусмотрено, хоть 338-ФЗ подразумевает, что отсутствие гаражей на ПМТ не помеха, а Проект Планировки Территории (ППТ) - часть ПМТ (ч.3.1 статьи 3.7 Закона №137-ФЗ). В своих же отказах ДГИ пишет: "проект планировки территории не утвержден, таким образом, предварительное согласование предоставления земельного участка не представляется возможным". Зато гаражи под комплексное развитие территории (КРТ) не попадают. Помучившись, узнаем у ДГИ, что надо сначала в Росреестре поставить гаражи на регистрацию в Единый государственный реестр недвижимости. Там же отвечают, что у нас нет земли, а значит, и ставить гаражи на регистрацию невозможно. Получается известный замкнутый круг, который гаражная амнистия и была призвана разорвать, но увы...
Тут и начинается моё детективное расследование о том, как такая ситуация получилась, и почему гаражей нет ни в ЕГРН, ни во всевозможных архивах, ни в БТИ. Чтобы узнать всё это и найти все документы, разбросанные по старым пыльным папкам гаражников, я потратил последние 6 лет своей жизни. Пока что безрезультатно. Последний, на мой взгляд, очень важный документ я получил 31 декабря.
В 1959 году Исполком Мосгорсовета постановил строить гаражи.
Междуведомственная комиссия района постановляет: разрешить постройку кирпичного гаража. Тем не менее, разрешение выдается на типовых бланках под временные гаражи, поэтому ручкой делается исправление на "бокс", "кир.бокс", внизу пишется "исправленному верить". Ставится печать, подпись. Гаражи строятся на территории воинской части у ограды школы, всего их будет 35 штук.
Гаражники покупают стройматериалы, строят гаражи за свой счёт.




Выписка на наш гараж №125, одна из многочисленных. Видно, что "без права разрытия грунта" так и не вычеркнули. Гаражники покупают стройматериалы. По фамилиям видно, что те же самые, кому разрешили построить гараж (в нашем случае Черепанов).
В 1960 году создаётся первый список гаражников. Гаражи построены к этому времени почти все.
В 1969 году для переоформления гаража отдел районного архитектора составляет чертеж гаражей.
В 1971 году поступает письмо от недовольного жителя по поводу гаражей. В ответ ему приходит письмо от Исполкома: гаражи возведены по всем правилам, учитывались при строительстве дома, в котором я сейчас живу.



Самый первый список членов гаражного кооператива (вторая страница не влезла в пост). Адреса проживания закрыл. На схеме мы можем видеть линейку гаражей, которая располагается прямо вплотную к школе.
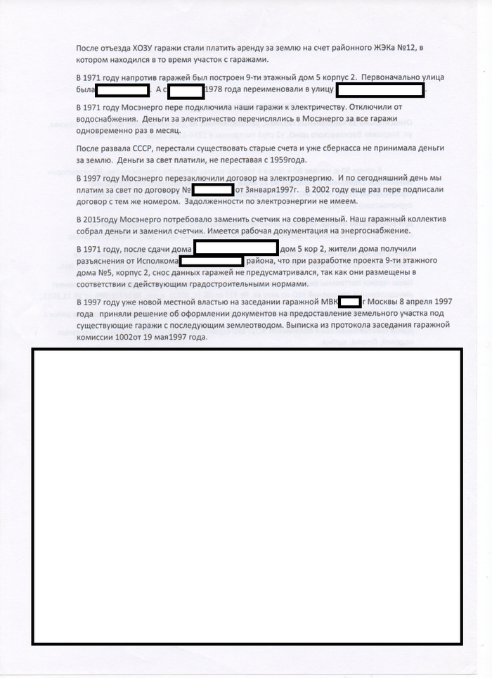
Благодаря этой зацепке, как житель дома запрашиваем план земельного участка дома (1971г. с корректировкой 1975г., 1997г. с корректировкой 2002г.) и его технический паспорт (2008г.) в БТИ. Видим, что гаражи на них есть! Более того, гаражам даже присвоен номер строения, что делается только в случае их капитальности.
В 1971 году гаражники заплатили 30 советских рублей за проводку электроэнергии в свои гаражи. Кабель проложили, составили схему.





"Служебные строения" оказались гаражами. Схема прокладки кабеля в плохом качестве
В 1978 году создаётся второй список гаражников. Все гаражи присутствуют. Более того, председатель гаражного правления делает справку: территорию обслуживает 12 ЖЭК, гаражи зарегистрированы в Райсовете у архитектора, гаражники платят 6,80 советских рублей за каждый гараж, ранее платили за водоколонку, также платят за электричество. Ищем квитанции и находим их у некоторых гаражников с 1960 года и вплоть до 1993 года: за землю, за эксплуатационные сборы и воду. Некоторые гаражники пытались платить за землю до тех пор, пока в банке в девяностые им не сказали, что платёж уже никуда не уйдет.





Интересно посмотреть, на каких машинах передвигались владельцы гаражей в те годы. Если платежи в банке всё же проходили, то куда уходили деньги за оплату земли в 1993 году?
В 1983 году мой дед получает от Минздрава рекомендацию Исполкому разрешить обмен своего гаража в другом районе в связи со сменой места жительства. По расписке он покупает гараж №125 за 3500 советских рублей. Ему отдают ту самую выписку из протокола 1959 года на руки. В БТИ или других органах, однако, печать не ставится, а почему, мы узнаем чуть позже.


Интересно, что покупку он делает в июле того года, а рекомендация от декабря.
Наступают девяностые. В 1998 году второй гараж для бабушки покупает мой отец по расписке. Ему отдают типовую выписку 1959 года, в этот раз с квитанцией оплаты гаража на 90 рублей. В 2006 году после смерти бабушки он начинает сдавать его в аренду.


Лимит на картинки почти закончился, поэтому выписку с квитанцией не прикрепляю
В 1997 году председатель кооператива, которому на тот момент 80 лет, отходит от дел и продаёт свой гараж новой председательнице. Гараж к тому моменту сменил руки много раз, но на него было отдельное разрешение. К сожалению, этот гараж председательница в суде проигрывает в 2016 году.
Начинаются попытки юридически оформить кооператив, каждый раз заканчивающиеся провалом по той или иной причине. ГСК юридически так и не создали. Однако в 1997 году на ответственного за электричество переоформляется договор. Так он и оформлен по сей день на человека, который умер в 2018 году. Семья ответственного за электричество отказывается иметь дела с председательницей, отключает себе электричество, однако председательница продолжает платить по незакрытому договору и собирать деньги с кооператива на электричество, зачастую платя из своего кармана. Учёт в каждом гараже показаний электричества не ведёт уже никто, время от времени председательница собирает фиксированную сумму, идут конфликты, когда приходят большие счета.
Также начинаются попытки как-то оформить и землю на кооператив. От нашего кооператива в префектуру поступает ходатайство предоставить землю. В 1997 году префектура постановляет: предоставить участок и землеотвод. Говорят, на хорошей машине приехал неизвестный кооперативу человек, который сообщил, что дальше придётся платить, чтобы вопрос закрыть. Кто-то был за, кто-то против, но за отказавшихся платить не хотел никто. Вопрос на этом оказался исчерпан, процесс заглох.
Бывший председатель гаражной межведомственной комиссии, давно уже в управе не работающий, мне сообщил, что тут была вина гаражников. Другие работники управы говорят, что в то время вряд ли бы получилось оформить в связи с антитеррором: гаражи вплотную стоят к школе. Однако сейчас ни управа, ни школа не имеют претензий к гаражам и не против были бы дать землю, но этим заведует ДГИ. В ДГИ неофициально сообщили, что они тоже не против, но их юристы в судах будут отрабатывать каждый рубль, а приказ есть приказ, и посоветовали судиться именно с Росреестром, оспаривая его отказ, мол, его проще победить в суде; сначала выиграть право собственности на гараж, а потом уже землю у них взять в аренду, тем более, так уже сделали некоторые из соседней линейки... тут появляется зацепка. Про соседнюю линейку мы узнаем чуть позже. Даже в самом Росреестре подсказывают, что надо получить отказ по их единой процедуре, а потом в суде его оспорить. Тем временем, гаражники продолжают собираться регулярно, на повестке дня постоянно вопрос: как оформить гаражи?
Председательница ГСК была уверена, что в архивах что-то от неё прячут, и двадцать с лишним лет по ним ходила. Всех ответов тут не привести, всех косвенно имеющих отношение документов тоже. Так и не получилось у неё найти первичный документ на землю и землеотвод, который так нужен.
Многие гаражники пошли в суд, многие проиграли. Почему? Никто не смог доказать, что гаражи не самострой. Хотя то, что построено до 01.01.1995, самостроем быть не может, а поскольку гаражи покупались до 31.01.1998, до 122-ФЗ, то право могло быть не зарегистрировано в ЕГРН. Естественно, обращение к депутатам не помогло тоже.
Иногда на гаражи составлялся акт купли-продажи, как на гараж 149, на котором присутствовала печать Домоуправления Минобороны. К сожалению, в моём случае этого не было сделано, и тут мы узнаём, почему. Опрашивая очевидцев, получаем исторические справки. Узнаём, что Хозяйственное управление Минобороны (ХОЗУ МО) уже уехало к 1966 году, поэтому печати на акты купли-продажи более не ставили, а военный отряд, который строил гаражи, уехал в 1962 году. Воинской части больше нет, а за эксплуатацию гаражники платят в ЖЭК. (К сожалению, наследники владельца 131 гаража документы не сохранили на землю.)





Очень детальные исторические справки, а также печать, которую раньше ставили в Хозуправлении.
И всё же остаётся последняя тайна. Как же так вышло, что гаражи нигде не обмеривались, кадастровые инженеры не вызывались, в БТИ нет ничего, про землю никто не знает, хотя за неё платили исправно? Что случилось со всеми документами? Говорили, будто какой-то работник управы обиделся и, уволившись, забрал все документы с собой, а потом приходил и требовал за них взятку, в чём получил отказ. Но что было на самом деле? За ответом на этот вопрос идём в соседнюю линейку, которую тоже строило Минобороны, вспомнив о том, что у них нумерация гаражей как раз идёт до нашей (до 117 гаража - их, с 118 гаража - наши). За услугу получаем копию судебного решения 1988 года на 116 гараж, находящийся на другой улице в другой линейке.





Судебное решение на соседнюю линейку
Вот как оно оказалось на самом деле. Гаражникам снесли в 1958 году их деревянные, сборно-металлические гаражи, которыми они владели с 1948 года, без какой-либо компенсации. Главвоенстрой Минобороны стал незаконно строить гаражи, что пресёк Райсовет. Получились незавершённые гаражи. Их отдали достроить индивидуальным владельцам за свой счёт. Они платили за всё: навес водосточных труб, настил бетонных полов, выкладка кирпичных стен, сооружение кровли, проводку электроосвещения и так далее. Им также сказали возместить в форме арендной платы затраты Главвоенстроя, а также платежей за эксплуатацию в Квартирно-эксплуатационную часть (КЭУ).
Получилось, что гаражи-недострой на баланс никакого предприятия, производственного жилищно-ремонтного объединения (ПЖРО) не попали, как и на баланс Административно-хозяйственного управления (АХУ) Минобороны. Никакого акта о завершении строительства, приёмки не было. В аренду передали незавершенные постройки, которые арендоваться не могли, а гаражники их достроили за свой счёт, при этом ПЖРО не ремонтировало гаражи и затрат не несло. Суд постановил, что это форма расчета с государством, возникает право личной собственности, ведь гаражники платили не аренду, а возмещали строительные затраты. 13 гаражей стали оформленными в соседней линейке, и далее их владельцы взяли в аренду землю (хотя мне кажется, что по закону им полагается собственность на землю). Остальные так и стоят без оформления.
Подводя итоги, ищу юриста, заинтересованного в восстановлении справедливости, который со мной пройдет все инстанции вплоть до Верховного суда, у которого есть опыт в деле оформления гаражей и в спорах с ДГИ. Я считаю, что дело выигрышное, несмотря на московские суды, и для меня это принципиальный вопрос. Нужно заставить суды обращать внимание на законы советского времени, когда гараж строился. Мне кажется, что здесь можно по 234-ГК доказать приобретательную давность, ведь как раз КС РФ от 26.11.2020 № 48-П в деле про гаражи расширил толкование добросовестности, и тот факт, что на моих расписках отсутствуют штампы соответствующих организаций, а значит переход права собственности не был оформлен должным образом, не помешает действию понятия "приобретательная давность", а по наследству срок включается. За электричество платили, поддерживали гараж в хорошем состоянии своими силами. Возможно, получится сослаться на дело соседней линейки.
P.S. Что в пост не поместилось из-за лимита на картинки: квитанция на 90р за гараж 1959 года первого владельца (есть только по одному из двух гаражей), чеки и платежные поручения на электричество (платит только председательница, мы ей наличными, но чеки у неё есть), скриншоты проигранных дел (в основном там написано, что истец не предоставил никаких доказательств, что объект капитальный, не самовольно построенный, нет землеотвода, а также, что владеет им больше 15 лет, и что продавец был собственником гаража - когда в 2016 году пошли в суд, никакие документы не показали, да и судя по всему, никто не проделал такую работу и все документы не собрал воедино, а наёмный юрист в них и не вникал, отбывал номер), протоколы ГСК, а также отписки: Росреестра, ДГИ, ГлавАПУ, Префектуры, Управы, архива Минобороны, ЦГА, БТИ, а также документ, где ДГИ пишет, что прежде, чем корректировать ПМТ, необходимо в Росреестре поставить гаражи на учёт в ЕГРН, схема ПМТ, обращения к депутатам (муниципальным, Госдумы) и ответы ДГИ на депутатские запросы с отказом по п.9.5 приказа №214 ДГИ, некоторые общие архивные решения о строительстве гаражей без указания адреса.
Прошу заинтересованных юристов откликнуться по почте: golovchenko55555@mail.ru или в комментариях.
Пообщался в комментариях повертел в голове ситуацию и вот какая раскладка мне видится, следите за руками:
ИП, продавая этот айфон, знал, что в России его продажи фактически запрещены, а поставки от официальных дилеров недоступны, а значит, были нарушены:
1) закон о правах потребителя (возврат средств, неустойка, потребительский штраф)
2) закон о "честном знаке" (до 300к по ст 15.12 КоАП). Этого товара нет в списке на параллельный импорт.
3) Наверняка вопросы возникнут по налоговой и таможенной линии (здесь для меня совсем темный лес, не знаком с этими сферами права).
4) самый цимус: продавец заранее знал, что поставка товара в Россию невозможна, а продажа в серую фактически запрещена, но принял деньги, а после попытался вытащить еще денег из покупателя.
Вопрос: Товарищи юристы, а не 159 ч.2 УК ли это часом? Не стоит ли автору исходного поста вместо стандартных действий по ЗПП (или вместе с ними) обратиться для начала в ОБЭП, или как они сейчас называются?
P. S. В комментах к исходному посту открылся портал в ад, поэтому отвечаю постом. Тег без рейтинга поставил. Интересно больше всего мнение юристов именно уголовной направленности. Настроения участвовать в параде юродивых нет, оставляю за собой право просто кидать в игнор троллей со всепропальщиками и активно буду этим правом пользоваться. Давайте конструктивно по букве закона и фактам.
UPD: совершенно забыл, что ИП не юрлицо. Спасибо тем, кто напомнил.
Уууу! Вот эта херня (бланк заказа) - лютая дичь! В том плане, что пункт 7 противоречит закону о защите прав потребителей. Пишите досудебную претензию с требованием предоставить вам именно товар и именно тот, за который вы УЖЕ заплатили, в двух экземплярах, идите в магазин, требуйте её зафиксировать (продавец должен написать на ней дату, свою должность, расписаться и поставить печать) - этот экземпляр забираете себе. Если станут выделывается, вызывайте полицию, чтоб те либо заставили принять претензию, либо зафиксировали факт отказа. То, что они себе в минус сработают вас ебать не должно, ибо товар был оплачен, тем самым вы автоматически заключили договор на его поставку. Если продавец отморозится, то с этой досудебкой - в суд. А там он либо отдаст вам телефон, либо прилипнет на большие бабки, вплоть до того, что его помимо телефона, заставят вам выплатить сверху вплоть до его полной стоимости (в зависимости от того, насколько он проебёт сроки).Я не юрист, но можете проконсультироваться со специалистом, он вам скажет то же самое.
Вопрос к юристам, прошу о помощи. Я в юриспруденции полный ноль. Пыталась гуглить, чтобы как-то разобраться со своим вопросом, но, честно, сложно. Мозг кипит от стресса и страха, и не могу найти главную нить.
Три недели назад от нас с сыном ушел муж. Оставил меня с финансовыми обязательствами на 70 тыс. в месяц (это кредиты, которые мы брали в браке), забрал нашу машину, за которую я плачу кредит. Но самое страшное в этой истории это то, что он отказывается платить за реабилитацию ребенка. У нашего сына аутизм, ему крайне необходимо заниматься с нейропсихологом, АВА-терапевтом, ходить в бассейн, иначе не будет коррекции, что в будущем поставит крест на его жизнь.
Когда муж только ушел, я платила за все сама, старалась лишний раз конфликт не раздувать. Но сейчас новогодние каникулы, я не работаю, у меня нет денег, и прошу мужа, а он отказывается, говорит: "У меня тоже нет". Хотя сам может поднять свою жопу и пойти на работу, ибо работает на заводе где свободный график, захотел пришел поработал, деньги налом получил и ушел. Работает он неофициально, у него есть судебные постановления у приставов за неуплату кредитов. У сына офицально оформленна инвалидность. Я самозанятая, работаю на себя. В браке покупали вместе машину. До брака я покупала себе квартиру, но после рождения сына вкладывали туда мат капитал. Могу ли я вообще рассчитывать, что при его неофициальной работе я смогу хотя бы МРОТ алиментами получить? Или все очень печально? Спасибо, что дочитали, и спасибо за ответ
Важно понимать: пешеход имеет приоритет только находясь на переходе, а не при подходе к переходу и выходе на него.
Выходить на переход поперек транспорта пешеход не вправе.
Всем привет. Жена попала в ДТП не сильное. Немного помято железо. Но случилось все за городом в Лен. Обл. Виновник вину признал. ОСАГО у всех есть. ГИБДД вызвали протокол оформили. В страховую позвонили. Машина оказалась не на ходу. Нет тормозов. Пробит блок АБС. Я кое-как докатил машину до дома. Еще раз созвонились со страховой, но они отказываются присылать на осмотр оценщика к нам за город. Если нужен выезд за город - приезжайте к нам в офис для оформления выезда за город. Проблемы две: - они работают только с 12 января и скорее всего у них в офисе будет аншлаг из-за всех праздников. И вообще не понятно когда пройдет оценка, что бы можно было начать ремонт. - проблема два: машина нужна как можно быстрее, т.к. нужно возить забирать детей из школы. Собственно вопрос - обязательно ли для оценки ждать оценщика страховщика или можно обратиться в независимую, получить бумаги, начать ремонт, а потом заниматься возмещением со страховой? Или в таком случае будет больше проблем, чем дождаться оценщика от страховой?
