Лямбда, Лисп и Ложбан — в поисках утраченного Вавилона, или мой проект конструирования симметричного языка. Часть 1
В этом монументальном тексте я постараюсь рассказать вам о трёх непревзойдённых шедеврах XX века - математическом языке лямбда-исчисления, языке программирования LISP и искусственно сконструированном языке человеческого общения под названием "Ложбан", а также о лежащих в их основе общих принципах и идеях. Кроме того, в конце этого поста я представлю вам свой собственный проект по конструированию языка человеческого общения, в основу которого я положил фундаментальные лингвистические симметрии. Мой проект развивает идеи Ложбана и пытается исправить его недостатки, в мессианской надежде отыскать давно утерянный допотопный язык.
Утраченный Вавилон
В библейском тексте сокрыто огромное количество различных смыслов и символов. В первой главе книги "Бытие", первой книги еврейской Торы и христианского Ветхого Завета, говорится следующее: "В начале сотворил Бог небо и землю". Здесь имеется ввиду не буквальные земля и небо, а что-то совершенно иное. Слово "небо" на иврите пишется как "שמים" (шамаим) и является в мужским множественным числом от слова "שׁם" (шем), означающего "имя". То есть "небеса" на иврите буквально означает "имена". Хотя само слово "имена" в современно иврите использует женское множественное число - "שמות" (шемот).
Под "именами" здесь стоит понимать то, что древнегреческий философ Платон называл миром идей - пространством, где обитают такие вечные и независимые ни от чего идеи как, например, математические равенства 2+2=4, геометрические фигуры, логические конструкции и абстрактные понятия о любви, истине и благе. А под землей в этой строке из Библии подразумевается не почва или планета, а любая материя в целом. Поэтому символический смысл приведённой мною строки таков: "В начале сотворил Бог идеи и материю".
Во второй главе книги "Бытие" Бог дарует сотворенному им человеку Адаму власть давать имена: "Господь Бог образовал из земли всех животных полевых и всех птиц небесных, и привел их к человеку, чтобы видеть, как он назовет их, и чтобы, как наречет человек всякую душу живую, так и было имя ей". Говоря простым языком, человек в иудео-христианской философии - это мост, соединяющий идеальный и материальный миры. С одной стороны, человек может своим разумом выделять абстрактные образы вещей из конкретных материальных предметов - например, как говорил Платон, выделять идею "чашности" из наблюдения за несколькими чашками. С другой стороны, человек может преобразовывать материю по лекалам существующих в идеальном мире форм - например, в уме разработать архитектурный план дома и после возвести строение в физическом мире.
В третьей главе книги "Бытие" Адам вместе со своей женой Евой съедает плод с древа познания Добра и Зла, хотя делать это было строго настрого запрещено ему Богом: "И увидела жена, что дерево хорошо для пищи, и что оно приятно для глаз и вожделенно, потому что дает знание; и взяла плодов его и ела; и дала также мужу своему, и он ел. И открылись глаза у них обоих, и узнали они, что наги, и сшили смоковные листья, и сделали себе опоясания." В символическом плане это означает следующее: с помощью своего ума, люди начали делить всё, что видели на противоположности - добро и зло, свет и тьму, ноль и единицу, чёрное и белое, радость и горе, и на основе этих дуальных противоположностей стали строить более сложные концепции. Даже в приведённом мною отрывке Адам и Ева шьют себе одежду не потому, что им холодно, а потому, что в их головах появилась концепция наготы, а на её основе концепция срамности этой наготы. То есть Адам и Ева начали строить в своём уме то, что французский философ Жан Бодрийяр называл симулякрами. Из реальных материальных предметов абстрагируется идея, на основе этой идеи строится другая концептуальная идея, на основе той идеи строится третья и так далее, и получается копия копий - так называемый симулякр.
Идеальный пример симулякра - это тыквенный латте в Старбаксе. Сначала люди осенью ели созревающие осенью, примерно в октябре, тыквы. Из-за этого тыква стала символом осеннего урожая и скорой смены времени года. Из-за этого Старбакс выпустил свой фирменный тыквенный латте, доступный в продаже тольку осенью, на чашке с которым обычно нарисованы тыквы. Рецепт этого кофе не содержит в себе никаких тыквенных ингредиентов, однако его вкус теперь у большинства клиентов Старбакс теперь накрепко связан именно с тыквами. Таким образом, у нас получается следующая цепочка: реальная материальная тыква -> образ тыквы -> символический образ тыквы как символа осени -> тыквенный латте в Старбаксе -> вкус тыквенного латте. Этот самый вкус тыквенного латте накрепко ассоциируется у людей с тыквами, хотя не имеет к ним никакого отношения вообще. Это копия копий идеи, абстрагированной из реальной материальной тыквы - самый настоящий симулякр. Наказание, постигшее Адама и Еву было ужасно - как писал в своём романе "Трансгуманизм" Виктор Олегович Пелевин: "Слова дали нам власть над миром, но заперли в тюрьме концепций. В этом и заключен смысл библейской метафоры изгнания из рая".
UPD: небольшая поправка к предыдущему абзацу. Оказалось, что из-за жалоб потребителей с 2015 года Starbucks начал добавлять в Pumpkin Spice Latte небольшое количество тыквенного пюре. С 2003 по 2015 год тыквы в составе не было.
Согласно библейскому мифу, после изгнания Адама из рая люди говорили на созданном им языке ещё много поколений, пока не решили построить в древнем Вавилоне огромную башню до неба. Реальным прототипом вавилонской башни стал вавилонский зиккурат Этеменанки, название которого на шумерском языке буквально означает "дом, где сходятся небеса с землёю". За эту наглую и нелепую попытку вернуться в Рай силовым способом разгневанный Бог заставил людей заговорить на разных языках, из-за чего они перестали понимать друг друга, не могли продолжать строительство башни, разделились на различные народы и рассеялись по всей земле. В символическом плане разрушение вавилонской башни стало метафорой неизбежного краха любых попыток постройки единых глобальных структур и проектов из-за того, что разные группы людей слишком сильно отличаются друг от друга в плане менталитета.
Легенда о вавилонской башне вдохновляла людей на творчество во все времена. Нидерландский художник Питер Брейгель Старший посвятил ей одну из своих знаменитых картин, а аргентинский писатель Хорхе Луис Борхес назвал в её честь свой великолепный рассказ про вавилонскую библиотеку.
В этом рассказе Борхес описывает гигантских размеров библиотеку, состоящую из шестигранных комнат, заставленных книжными шкафами. В каждом из этих шкафов имеется по двадцать полок, на каждой из которых находятся тридцать две книги по четыреста десять страниц каждая, с сорока строками на каждой странице, с восемьюдесятью символами в каждой строке. Каждый символ - это либо одна из двадцати двух букв некоего похожего на латинский алфавита, либо один из трех знаков препинания - точка, запятая или пробел. В библиотеке не существует двух одинаковых книг - все книги представляют из себя уникальные варианты перестановки двадцати пяти символов.
Большинство книг в библиотеке содержат в себе полную белиберду, бессмысленный набор букв. Однако, несмотря на то, что таких книг в библиотеке большинство, также там содержатся все созданные и несозданные человечеством тексты. Согласно рассказу вавилонская библиотека содержит:
... подробнейшую историю будущего, автобиографии архангелов, верный каталог библиотеки, тысячи и тысячи фальшивых каталогов, доказательство фальшивости верного каталога, гностическое Евангелие Василида, комментарий к этому Евангелию, комментарий к комментарию этого Евангелия, правдивый рассказ о твоей собственной смерти, перевод каждой книги на все языки, интерполяции каждой книги во все книги, трактат, который мог бы быть написан (но не был) Бедой по мифологии саксов, пропавшие труды Тацита.
При этом, является книга осмысленной или нет зависит не только от её содержания, но и от того, кто её читает. Несмотря на общий алфавит обитатели библиотеки говорят на разных языках - одна и та же книга может быть бессмысленным набором букв для одного, и кладезем смыслов для другого. Можно сказать, что современные LLM, большие языковые модели - это своего рода вавилонские библиотекари. При обучении в них загружается все когда либо написанные человечеством тексты, составляющие однако лишь крохотный процент от всех текстов великой библиотеки. А после своего обучения эти нейросети служат нам проводниками по осмысленным её текстам. Но что-то я отвлёкся. Давайте вернемся к основному повествованию.
В этом посте я сначала разберу два по истине существующих в мире чистых идей, Граде Божьем, творения - лямбда-исчисление и созданный на его основе язык программирования LISP. После этого я разберу постройку людьми новой вавилонской башни - сконструированного языка человеческого общения под названием Ложбан - очередную безумную попытку человечества на основе абстрагированных из Града Земного понятий прорваться в Град Божий. Ну а в самом конце, я опишу план своей собственной попытки строительства вавилонской башни - идею сконструированного языка человеческого общения, основанного на симметриях, открытых Адаму и Еве в последствии познания плода древа Добра и Зла. Очевидно, что это попытка также обречена на провал, ведь как писал в своём романе "Маятник Фуко" итальянский писатель Умберто Эко: "Кувыркаясь в своей пустоте, вы можете убеждать себя, будто состоите в общении с Единым. Но как только вы начали возиться с глиной, пускай даже электронной, вы — Демиург. И от этого никуда не деться, а кто собирается сотворить мир, тот неизбежно уже запятнан и ошибками и злом". Но художника такие мелочи останавливать не должны.
Лямбда
Лямбда-исчисление было представлено миру в середине 30-х годов XX-века американским математиком Алонзо Чёрчем, исследовавшим совместно с британским математиком Аланом Тьюрингом возможности вычислимости математических функций. По сути, лямбда исчисление представляет из себя основанный на математической нотации язык программирования, полностью эквивалентный по своим возможностям машине Тьюринга.
В основе лямбда-исчисления лежит великолепная по своей красоте идея:
Всё есть функция
В лямбда-исчислении есть всего две операции - абстракция (объявление функции) и аппликация (применение функции к аргументам). Объявления функций Чёрч записывал с помощью греческой буквы λ (лямбда), которая и дала название всему языку. Например, объявление (абстракция) математической функции f(x)=x+2 на языке лямбда-исчисления записывается как:
f ≡ λx. x + 2
А её применение к числу 3 (аппликация) как:
f 3
На самом деле в лямбда-исчислении нет ни чисел, ни знака плюс, а всё построено исключительно на функциях, но об этом я расскажу чуть позже, а пока что просто показываю вам лямбда-нотацию. Но в целях упрощения повествования в этом посте я буду использовать более понятную большинству из нас JavaScript-подобную нотацию лямбда-функций:
Абстракция
f = (x) => x + 2
Аппликация
f(3)
В лямбда-исчислении вся программа представляет из себя функцию, состоящую из вызовов более мелких функций, которые в свою очередь могут состоять из вызовов ещё более элементарных функций. Исполнение этой программы - это просто вычисление этой грандиозной фрактальной функции на каких-либо входных параметрах.
Например, результатом вычисления следующей программы будет число 22:
f = (x) => x + 2 g = (x) => x * 5 f(g(4))
Кроме того, параметрами в лямбда-исчислении могут служить не только данные, но и другие функции. Например в следующем примере результатом вычисления программы будет число 4:
f = (x) => x + 2 g = (x, y) => x(y) g(f, 2)
В лямбда-исчислении есть две формы эквивалентности - альфа-эквивалентность и бета-редукция. Альфа-эквивалентность утверждает, что два изоморфных выражения можно заменить друг другом. Например:
f = (x) => x + 2 согласно альфа-эквивалентности эквивалентно g = (y) => y + 2
Бета-редукция - это прием замены выражения на результат его вычисления:
((x) => x + 1)(y) согласно бета-редукции эквивалентно (y + 1)
Заменяя постепенно с помощью бета-редукции части программы на их эквиваленты, мы оптимизируем её до самой простой нередуцируемой функции.
Как я уже упомянул в лямбда-исчислении нет ни чисел, ни арифметических операций как базовых элементов языка. Числа в лямбда-исчисления - это тоже функции. Они задаются с помощью так называемого кодирования Чёрча, основанного на арифметике Пеано, в котором все натуральные числа можно составить из всего двух функций - функции 0 и функции next.
0 = (f, x) => x
next = (n) => (f, x) => f(n(f, x))
Соответственно, ряд натуральных выглядит так:
0 = (f, x) => x
1 = next(0) = (f, x) => f(x)
2 = next(1) = next(next(0)) (f, x) => f(f(x))
3 = next(2) = next(next(next(0))) = (f, x) => f(f(f(x)))
А операция сложения соответственно задаётся тоже лямбда-функцией:
plus = (m, n) => (f, x) => m(f, n(f, x))
Можно посмотреть как работает эта система с операцией сложения двух чисел:
result = plus(1, 2)
result = plus((f, x) => f(x), (f, x) => f(f(x)))
result = (f, x) => ((f, x) => f(x))(f, ((f, x) => f(f(x)))(f, x))
result = ((f, x) => f(x))(f, f(f(x)))
result = f(f(f(x)))
Соответственно, согласно альфа-эквивалентности:
result = 3
Подобным же образом в кодировании Чёрча задаются и значения истины и лжи:
true = (x, y) => x
false = (x, y) => y
А также логические операции над ними. Например, вот определение операции логического "И":
and = (p, q) => p(q, p)
Можно посмотреть как работает эта логическая операция:
result = and(true, false)
result = and((x, y) => x, (x, y) => y)
result = ((x, y) => x)((x, y) => y, (x, y) => x)
result = (x, y) => y
Соответственно, согласно альфа-эквивалентности:
result = false
Похожим образом в кодировании Чёрча задаются целые, вещественные и комплексные числа, дроби, операции вычитания, умножения, деления, операции логического "ИЛИ" и "НЕ", строки и все остальные возможные типы и структуры данных, а также операции над ними. Но повествование об этом выходит далеко за рамки этого поста. Могу лишь порекомендовать одно из моих предыдущих эссе под названием "Слово Божие — функциональное программирование как основа Вселенной", в котором более подробно разбираются типы данных в кодировании Чёрча и операции над ними. Кроме того в этом эссе рассказывается как всё кодирование Чёрча можно свести к набору из всего трёх SKI-комбинаторов, а их в свою очередь к одному элементарному йота-комбинатору.
Напоследок лишь скажу, что вместо циклов, широко применяемых в произошедшем из концепции машины Тьюринга императивном программировании, функциональное лямбда-исчисление использует рекурсию - то есть вызов функции самой себя. В чистом лямбда-исчислении функция не может вызвать сама себя по имени. Поэтому для рекурсии используется знаменитый Y-комбинатор неподвижной точки.
Определяется Y-комбинатор так:
Y = (f) => ((x) => f((y) => x(x)(y)))((x) => f((y) => x(x)(y)))
Он позволяет функции вызывать саму себя.
Так как в чистом лямбда-исчислении нельзя сделать что-то типа этого:
f = (x) => f(x) + 1
С помощью Y-комбинатора можно реализовать эту функцию так:
f = Y((self) => (x) => self(x + 1))
Внимание! Эта функция просто пример, а не нечто осмысленное. Она не вычислима, так как рекурсия тут бесконечна.
Лямбда-исчисление стало настоящим прорывом в математике и легло в основу информатики и Computer Science. Знакомство с лямбда-исчислением и кодированием Чёрча помогает людям осознать то, как компьютеры и вычисление работают на самом фундаментальном уровне.
Лисп
Язык программирования LISP был создан в конце 50-х годов XX века американским математиком Джоном Маккарти на основе идей из лямбда-исчисления. LISP - это даже не столько язык программирования, сколько спецификация языка, на основе которой существует целое семейство языков, в которое входят Common LISP, Scheme, Racket, Clojure. В этом посте я буду использовать синтаксис языка Racket - одного из самых современных лиспов.
Для записи выражений Лисп использует префиксную нотацию и круглые скобки. Например, выражение (x + 2 + 3) * (y + 4) в этой нотации будет выглядеть так:
(* (+ x 2 3) (+ y 4))
Как мы помним в лямбда-исчислении есть две основных операции - абстракция и аппликация. В Лиспе абстракция сведена к аппликации функции define к имени выражения и его значению. Например, объявить константу по имени number и значением 1 можно так:
(define number 1)
Записать в константу результат вычисления выражения можно так:
(define result (+ 1 2 3))
Похожим образом объявляются и функции:
(define (square x) (* x x))
Эту же функцию также можно объявить как безымянную лямбда-функцию:
(lambda (x) (* x x))
В таком виде её удобно прокидывать в качестве аргумента в другие функции. Однако лямбда-функции можно дать имя:
(define square (lambda (x) (* x x)))
А после использовать как:
(define squareOfTwo (square 2))
Основной структурой данных в Лиспе служит список. Задать его можно простым способом:
(define numbers (list 1 2 3))
Но на самом деле, функция list - это синтаксический сахар. В своей основе списки в Лиспе представляют из себя бинарные деревья, задающиеся принимающей два аргумента функцией cons и функцией nil (в Racket nil называется empty), обозначающей конец списка. Предыдущее выражение раскрывается в следующую конструкцию:
(define numbers (cons 1 (cons 2 (cons 3 empty))))
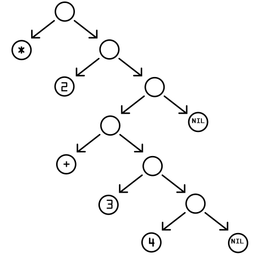
Во внутреннем представлении LISP-интерпретатора любое выражение представляет из себя S-выражение - список операций и их аргументов. Каждое S-выражение всегда возвращает какое-либо значение, если оно вычислимо. И каждое S-выражение можно подставить в качестве аргумента в другое S-выражение. Например, выражение (* 2 (+ 3 4)) в виде S-выражения внутри LISP-интерпретатора будет выглядеть подобным образом:
Использование S-выражений позволяет представлять сам код LISP-программы в виде списка, то есть в виде данных, а значит и работать с ним как с данными. Благодаря этому в Лиспе мощнейшая система макросов. Каждый макрос представляет из себя функцию, на вход которой подаётся синтаксическое дерево других функций и выражений, а на выходе получается код новой функции или выражения.
Например, можно задать функцию unless, обратную обычному if:
(define-syntax-rule (unless condition body ...) (if (not condition) (begin body ...)))
Его использование:
(define x 0)
(unless (> x 0) (displayln "x is not positive"))
Кажется, что его использование не отличается от того случая, если бы мы задали unless не в виде макроса, а в виде функции. Отличие в том, что макрос unless раскрывается в код на этапе компиляции, а не в рантайме.
LISP - функциональный язык программирования, основанный на лямбда-исчислении. Поэтому в нём в отличии от императивных языков, основанных на машине Тьюринга, нет понятия переменных и констант. Все объявления именованных выражений в Лиспе - это именно присвоение имени какому-либо выражению. Поэтому все данные в Лиспе иммутабельные, то есть неизменяемые. Благодаря этому все функции в LISP математически чисты - то есть, при одних и тех же входных аргументах они всегда возвращают одни и те же значения. Это даёт программисту на LISP множество преимуществ - простоту дебаггинга, возможность композиции функций, мощнейшую выразительность языка.
Главным учебником по Лиспу вот уже долгие годы является выпущенный в MIT много лет назад учебник SICP - "Structure and interpretation of computer programs" - "Структура и интерпретация компьютерных программ". На этом учебнике выросло несколько поколений программистов.
Под вдохновением от лямбда-исчисления и языка LISP было создано множество других прекрасных инструментов и языков программирования. Унаследованные концепты и идеи лежат в основе языка программирования JavaScript, редактора кода Emacs и операционных систем Unix:
Лямбда-исчисление - все есть функция
LISP - все есть список
Emacs - все есть атомарная команда (даже например, передвижение курсора влево)
Unix - все есть файл
JavaScript - все есть объект-хешмапа (JS создавался его автором Бренданом Эйхом как "Scheme в браузере" и унаследовал от LISP очень многое).
Когда-то давно под LISP даже создавали специализированные компьютеры - лисп-машины:
С Лиспом меня связывает глубоко личная история. Долгие годы я пытался создать свой собственный идеальный язык программирования. Я брал за основу разные языки программирования и, как скульптор высекающий из камня прекрасную статую, начинал создавать из взятого за основу языка свой идеал, постепенно улучшая каждый из определенных мною параметров качества. И какой бы язык я не брал за основу, в конце-концов после улучшений и отсечения всего лишнего я всегда получал одно и то же - LISP.
Во второй части я описываю два проекта сконструированных языка общения - Ложбан и Лиспик.
P.S.: Больше интересных постов и видео про философию, буддизм и математику вы можете найти в моём телеграм-канале.
Почему на физ-ре не учат правильно тренироваться?
Нормальные учителя: учимся читать, учимся писать, учимся считать.
Физрук: Хочешь пятёрку? Подтянулся 14 раз и бегом 3 км за 12,20! Плевать как ты это сделаешь!
Краснодар, край и все города Блэк ищет дом
Молодой статный парень(1год 7месяцев)
Здоров, есть все прививки, ежемесячно обрабатывается
Вес: 26кг
Добряк, не смотря на свой грозный вид. К людям и детям с позитивом. Ладит с сородчами и семейством кошачьих.
Хорошо переносит поездки в машине.
Находится на передержке в вольере , с 2-3х разовым выгулом.
Если найдутся подходящие условия и ответственные люди, доставим в любой город бесплатно
Строго НЕ на цепь
Ответ Аноним в «Про медиков и женское стеснение»52
Вопрос на засыпку.
С реанимацией, конечно, вариантов нет.
Но вот эти истории с кабинетом ЭКГ, медосмотром по двое и т.д.
Почему никто не говорит НЕТ. Я не пойду на этот студенческий медосмотр. У вас нет права заставить меня принудительно проходить медицинскую процедуру.
Нет, я не согласна раздеваться для ЭКГ, закройте дверь, поставьте ширму.
Все жалующуюся дамы, почему-то, тихо подчиняются, а потом плачутся на Пикабу.
Крысуля


Раз мордашка, два мордашка! Будет весело! 😊
Код
Пикабутяне помогите
Без рейтинга.
Есть прикольный канал шортсов Тату-мастера Виктор Лодин
Там локальный мем про Олега и швабру, сука, к каждому ролику упоминают, а я через поиск именно про швабру эту долбанную не могу найти, все задолбусь смотреть (((
Кто в курсе, скиньте ссылку именно на этот шортс!!?? Заранее спасибо...










