Истории из практики
8 постов
8 постов
4 поста
4 поста
3 поста
По пятницам я обычно пишу посты - рассуждения на определенные темы. На Пикабу недавно улёгся скандал с лигой врачей, а я с утра по пути на работу задумался о медблогинге. Он развивался у меня на глазах, я был подписан на некоторых врачей, которые начали вести блоги много лет назад. Мой выбор падал на докторов, которые опирались на докмед и давали информацию сжато и концентрированно, что было полезно для меня в смежных специальностях. Перечитывать актуальные рекомендации по кардиологии или гастроэнтерологии муторно, намного приятней получить выжимку от врача, которому доверяешь и при необходимости залезть посмотреть что-то уже конкретное в гайдлайн.
Постепенно медблогинг стал набирать популярность и врачи поняли, что могут это монетизировать. Винить врачей в том, что они хотят зарабатывать деньги глупо, да и что плохого в том, что врач рассказывает доступным языком о болезнях и современных подходах лечения. Если раньше через блог врачи могли привлечь пациентов на прием, то теперь в медблогинг потянулись деньги и от других источников - информационное информирование, реклама препаратов, сайтов, курсов, школ, доступов к закрытым чатам и ещё много всего.
По-моему с этого момента тема и вышла из под контроля. У многих только закончивших универ возникла мысль - зачем идти стандартным путем, если его можно сократить. Взрослые доктора тоже задумались, туда ли они тратят силы. Дальше все уже зависит лишь от того, какие моральные ограничители у тебя есть. В одном из профессиональных телеграмм чатов у меня завязался спор (он касался врача-псевдоревматолога), с той стороны мне доказывали, что в этом нет чего-то вопиющего. Мол да, не очень хорошо говорить что ты ревматолог, если ты не ревматолог, но с другой стороны мол возможно девушка знает больше чем ревматологи и училась хорошо и в курсе всех актуальных изменений, нашлись даже те кто знал ее как доктора и отзывался хорошо. Когда ситуация произошла, я был уверен, что в медицинском сообществе она вызовет совершенно однозначную реакцию, но оказалось не так. Медицинское сообщество тоже поменялось (я не утверждаю что в худшую сторону), оно стало другим. Я незаметно для себя оказался в числе "врачей старой формации". Это все свершившийся факт, но мне стало интересно порассуждать, как мы пришли к этим изменениям. Разобью мысли на блоки.
1. В обществе стран СНГ дуальное отношение к врачам и медицине. С одной стороны врачей и медицину принято ругать (и есть за что), с другой ещё сохраняется некоторое уважение к профессии. Врач на студийной фотке приятного внешнего вида, с открытой улыбкой и в белом халате, со стетоскопом на шее вызывает доверие. Доверия он вызывает больше, чем тот злой затраханный врач в поликлинике.
2. Профессия врача в нашем восприятии выведена из категории обычных. Вспоминается наше "врач - это призвание", "врач от бога" и тд. Вот мы и живём в поиске того самого врача от бога, который нам поможет. Нужно найти того самого, который хоть ночью, хоть пьяный, хоть жертвуя собой, но поможет. Рабочий день закончился и врач закрывает кабинет? Какой же это врач. Оказание медицинской помощи в РФ жутко не стандартизировано, все действительно сильно зависит от того, к кому попадешь. Один назначит на простуду противовирусные, другой антибиотики, третий скажет дышать над картошкой. С медблогингом у нас появился выбор (по крайней мере его иллюзия).
3. С появлением медблогинга с пациентом стали разговаривать. Ему перестали просто говорить - пей вот это, делай так, придёшь через месяц. Это ещё одно упущение во взаимодействии нашей медицинской системы с пациентом, пациент не является субъектом, он объект, который лечат, это безусловно неправильно.
4. Оказалось, что в продаже медицинских услуг работают все те же методы маркетинга. Пока врачи старой формации отворачивались от словосочетания "медицинская услуга", другие внедрили это и начали использовать. Честно говоря, при виде телеграмм-каналов докторов из лиги врачей (с пестрящими зазывалками, акциями, продажами приемов пакетами и последними днями допуска в секретный чат) становится плохо, но с другой стороны - ведь работает. Да, жутко обидно за профессию, но работает.
5. Нормативная база снова не успела и даже не пытается. По сути ты можешь писать в интернете что хочешь. Медблогинг есть и в США и в Европе, но если врач что-то написал - он отвечает за это головой (а точнее лицензией). Если врач проводит удалённую консультацию, он не может называться на этот час информационным информатором. Сколько лет мы не можем разобраться с путаницей с нутрициологами, сексологами, психотерапевтами? Теперь сюда добавятся врачи всех специальностей.
6. Отчасти это вынужденное поведение молодых докторов. Старт врача в современных реалиях очень сложен. Отсутствует поддержка, которая так необходима молодому специалисту. Специализации короткие и бестолковые. Многие сертификаты откровенно липовые, переподготовку можно купить за копейки, не получив никаких знаний. По факту сама специализация не стоит ничего. Категория отражает лишь выслугу лет. Все "жирные" места заняты старой гвардией и их детьми и родственниками, это все есть. Но также мне смешно читать слова о том, что доктор может быть отличным узким специалистом на втором году ординатуры, когда специализации в Европе длится по 4-6 лет. Вопрос не в ее уме, самый ценный опыт для врача - пациент. Специализация как раз и даёт доступ к пациенту, к клиническому случаю и к опыту старших коллег, невозможно стать хорошим врачом, просто прочитав все последние рекомендации и метаанализы. Молодые врачи не плохи "по умолчанию", плохо когда они не осознают ограниченность своих знаний. Я очень хорошо помню это по себе.
7. Блоги большинства докторов, которые я читал "скатились". Где-то появилась сомнительная реклама, кто-то перешёл в рекламу собственных курсов, большинство делает посты-заманухи, в которых почти нет полезной инфы.
Выводов особо нет, вышло так, как вышло. Это закономерный результат недоработки нашего общества и медицинского сообщества. Просто будьте внимательны при выборе врача и помните, что ваше здоровье по сути нужно только вам.
Тема бессонницы оказалась интересна, что в общем то закономерно, от нарушений сна страдают многие. Я решил подробнее раскрыть тему бессонницы, план на ближайшее время такой: этот пост про характеристики ненарушенного сна, затем пост про нарушения сна и пост про когнитивно-поведенческую терапию бессонницы. Мне легче писать более короткие посты, так как не хватает свободного времени на написание.
Итак, для начала нужно понять что же такое ненарушенный сон. В регуляции системы сон/бодрствование участвуют различные нейромедиаторы, гормоны и нейронные структуры. Бодрствование поддерживается системами нейронов, использующих в качестве медиаторов гистамин, норадреналин, ацетилхолин и серотонин. Гамма-аминомасляная кислота (ГАМК) и препараты, усиливающие её действие, такие как бензодиазепины, вызывают седацию. Ключевым медиатором усталости является внеклеточный аденозин, накапливающийся в мозге во время бодрствования. Одним из его антагонистов является всем известный кофеин. Еще есть орексин (гипокретин) и мелатонин, которые играют важную роль в регуляции циркадных ритмов. Разные участки мозга и разные группы нейронов наиболее активны в разные периоды сна и бодрствования, при этом рецепторы одного медиатора могут оказывать разное влияние в разных структурах. Я не буду разбирать это подробно, это не имеет большого смысла, а пишу я это для того, чтобы предотвратить скатывание в примитивизацию уровня: один медиатор вызывает сон, другой активацию и тд. Все же суточный цикл очень сложный каскад реакций и взаимодействий.
Сон лишь часть циркадного ритма и он напрямую зависит от периода бодрствования. Период сна (и его отдельные фазы) влияют на период бодрствования и наоборот. Это важно понимать, часто пациенты при попытке выяснения как же протекает их бодрствование, машут рукой и просят "просто что-то для сна". Тут же логичен следующий вывод - хочешь наладить сон, измени период бодрствования. Кроме того, из взаимодействия этих двух процессов формируется проявляющийся на уровне поведения ритм сна и бодрствования конкретного человека (суточный ритм). Суточный ритм становится еще одним участником этой системы взаимодействия, влияя и на сон и на бодрствование. Существование суточного ритма может заметить, например, человек, привыкший просыпаться в определенное время, если он не спал всю ночь - в период времени его привычного пробуждения сосостояние бодрствование улучшается, даже без сна.
Клетки в супрахиазматическом ядре передней части гипоталамуса мозга формируют центральные внутренние часы организма, которые генерируют и поддерживают циркадные ритмы. Ритм сна и бодрствования возникает как результат взаимодействия работы внутренних часов и процессов сна. Внутренние часы же синхронизируются по внешним временным сигналам. Самым мощным из внешних синхронизаторов является чередование света и темноты, но также важны знание времени суток, регулярные приемы пищи, установленные часы отхода ко сну и пробуждения. Благодаря этим сигналам человек может поддерживать ритм, соответствующий 24-часовому дню. Если внешние синхронизаторы убрать, внутренние часы начинают следовать своему собственному, эндогенному ритму (он может разнится и далеко не у всех составляет 24 часа, кто-то в комментариях спрашивал про свой более длинный суточный ритм). Тут очевидна точка приложения нашего возможного воздействия, мы можем выстраивать этот самый ритм.
Думаю все замечали, что потребность во сне штука очень индивидуальная, в значительной степени она определяется наследственностью. У взрослых достаточной продолжительностью ночного сна чаще всего считается 7-9 часов, а у пожилых (примерно после 65 лет) не более 7-8 часов. Небольшой процент взрослых выходит за рамки этих значений и от природы являются либо малоспящими, либо долгоспящими. С возрастом продолжительность сна сокращается несущественно, однако его качество заметно ухудшается.
С оценкой качества бывает сложнее, считается, что человек должен уснуть в течение 30 минут после того, как лег в кровать, просыпаться не более 2х раз за ночь (имеются ввиду осознаваемые пробуждения) и бодрствовать после этих пробуждений не более 30 минут за всю ночь. Есть еще такой показатель как "эффективность сна", это процент, показывающий какую часть от времени нахождения в кровати человек спит, он должен быть более 85% (то есть минимум 85% времени, в течение которого вы находитесь в кровати вы должны спать). Еще одна важная характеристика - чувство бодрости в течении дня. Восприятие бодрости и усталости также субъективно и не всегда привязано к качеству сна и его длительности.
Кроме продолжительности, качества и восстанавливающего эффекта сна, люди различаются по своему суточному типу (хронотипу). Обычно ложатся спать между 22:00 и 24:00 и просыпаются между 6:00 и 9:00. Примерно 30–40 % взрослых "жаворонки", а 10–15 % "совы". С возрастом хронотип изменяется: в подростковом возрасте усиливается склонность к вечернему типу, а с возрастом к утреннему. Хронотип также обусловлен генетически. Если время засыпания или пробуждения значительно отличается от нормы, это может указывать на нарушение ритма сон-бодрствование.
Итак, мы обсудили внешние проявления, которые мы можем отследить с помощью ведения дневника сна. Однако этим оценка сна не исчерпывается, более глубокая оценка проводится с помощью полисомнографии, о которой я писал в прошлом посте, во время ее проведения регистрируется ЭЭГ, движения глаз и мышечные сокращения, частота сокращения сердца и частота дыхания. Дальнейшая часть может показаться совсем уж занудной, простите.
Когда мы выполняем электроэнцефалографию, мы регистрируем электрическую активность головного мозга, точнее доминирующую синхронную активность группы нейронов, особенно в коре. Отражаются они как ритмичные волны с определенной частотой и амплитудой, отличающиеся друг от друга. Выделяют альфа, бета, гамма, дельта и тета ритм. Краткое введение, чтобы понять о чем дальше пойдет речь.
Дело в том что сон не является статичным состоянием, это процесс, в котором разные фазы меняют друг друга, каждая из них важна, их соотношение и сменяемость называют архитектурой сна. Сон взрослого человека состоит из 4-6 циклов, которые повторяются за одну ночь, каждый цикл длится 90-110 минут. В одном цикле выделяют NREM-сон (non-rapid eye movement) - медленный, глубокий сон и REM-сон (rapid eye movement) - сон с быстрыми движениями глаз. NREM сон имеет свои фазы. Раз уж ввязались в это, разберем всё по порядку.
Бодрствование - на ЭЭГ при закрытых глазах в покое доминирует альфа-ритм, особенно в затылочной области, при открытии глаз или мыслительной активности появляется бета-ритм.
NREM-сон (составляет около 75-80% ночного сна)
Фаза N1 (2-5% от ночного сна) - дремота, человек еще слышит и воспринимает звуки, но мышечный тонус начинает снижаться, несколько замедляется сердечный ритм и дыхание, на ЭЭГ появляются тета-волны, здесь человек еще может легко проснуться. В этой фазе возникают гипнагогические подергивания (внезапные сокращения мышечных групп, иногда сопровождающиеся ощущением "проваливания". За инициацию засыпания ответственны структуры гипоталамуса.
Фаза N2 (45-55%) - легкий сон, это самая продолжительная фаза сна у взрослых. Человек уже не реагирует на внешние стимулы, но легко пробудим. На ЭЭГ появляется особенные волны, которые отражают состояние подавления внешних раздражителей. Перед мозгом вообще ведь стоит довольно сложная задача, с одной стороны отключится от внешних раздражителей, с другой - не настолько сильно, чтобы не воспринять опасность. За это отвечает таламус. В этой фазе функции органов еще замедляются, считается что в этой фазе происходит консолидация моторной памяти и обучение.
Фаза N3 (15-25% от всего времени сна) - глубокий и медленоволновой сон, здесь на ЭЭГ преобладают дельта-волны, максимально снижается артериальное давление и дыхание, человека максимально сложно разбудить. Именно в этой фазе происходит консолидация процедурной и декларативной (на факты, события) памяти, а также крайняя важная вещь - удаление метаболитов из мозга через глимфатическую систему. Это крайне важное явление, открытое в 2012 году и именно в данную фазу сна активность глимфатической системы является максимальной. При нарушениях сна страдает "очищение" мозга. В фазе также происходит "настройка" иммунной системы и регуляции работы систем внутренних органов. На этом же этапе сна возникают парасомнические состояния: снохождение, разговоры во сне, ночные кошмары.
REM-сон (около 20–25% сна)
В этой фазе сна отмечаются быстрые и хаотичные движения глаз, на ЭЭГ мы видим активность, которая напоминает бодрствование. При этом развивается полное подавление скелетных мышце, кроме диафрагмы и глазодвигательных. В этой фазе мы видим яркие, насыщенные эмоциями сновидения, которые чаще запоминаются. Считается, что эта фаза сна участвует в переработке нашего эмоционального опыта, снижая реактивность амигдалы. Также происходит консолидация декларативной и эмоциональной памяти. Этой же фазе отдают большую роль в перестройке нейронных связей и поддержания когнитивной гибкости. У новорожденных детей REM- может составлять до 50% (внимательные родители возможно замечали по движениям глаз) и в этот период критически важен для развития мозга.
Фазы последовательно сменяют друг друга (N1 → N2 → N3 → N2 → REM), а циклы несколько отличаются друг от друга - постепенно снижается длительность глубокого сна (фаза N3) и увеличивается длительность REM-сна, последний цикл может содержать до 30-40 минут REM-сна.
Так и выходит, что пока наше сознание спит в ожидании нового дня, наш мозг лишь меняет форму своего функционирования. Нарушения архитектуры сна может приводить к разным последствиям, таким как снижения памяти и настроения, нарушение обучаемости, развитие гипертонии и депрессии.
Зачем это все нужно? Во-первых понять насколько сон сложный процесс, а сложное всегда легче сломать. Во-вторых мы получили возможность отслеживать фазы сна и понять, как архитектура сна меняется при разных нарушениях. Тут писать можно очень долго, сильнее всего страдает фаза глубокого сна и фаза REM-сна. При депрессии снижается количество глубокого сна и увеличивается активность во время REM-сна, при тревожных расстройствах отмечаются частые пробуждения и напротив, снижение REM-сна. В пожилом возрасте снижается количество глубокого и REM-сна, увеличивается время сна в легкой дремоте (фаза N1) - так что пусть старики дремлют у телевизора, они просто намного меньше спят глубоким сном в кровати, это нормально, если нет совсем грубых нарушений сна. Еще одно состояние, значительно влияющее на сон - синдром сонного апноэ. Мне кажется ему уделяется незаслуженно мало внимания в России, так вот его вред в том, что он прерывает абсолютно все фазы сна, мешая нормальному процессу сна.
В целом можем вывести такую закономерность - снижение глубокого сна повышает утомляемость и снижает когнитивные функции, дефицит REM-сна вызывает эмоциональную дисрегуляцию и тревогу, нарушения цикличности сна в целом - повышает дневную сонливость и в целом нарушает восстановление во сне.
Также интересно влияние лекарств на сон. Так бензодиазепины (Бензодиазепины) значительно снижают количество глубокого сна и REM-сна, отчего пациенты, вроде бы быстро засыпая и проспав всю ночь, не чувствуют себя бодрыми и отдохнувшими. Z-препараты уже меньше влияют на REM-сон, но все также снижают количество глубокого сна. Большинство антидепрессантов так же снижают эти две фазы сна, хотя например тразадон в низких дозах даже увеличивает количество глубокого сна и не влияет на REM-сон, за что я и пациенты его горячо любим. Современные седативные антипсихотики тоже хорошо выделяются, так кветиапин и оланзапин увеличивают продолжительность глубокого сна и увеличивают длительность сна в целом.
Хотел уже закончить и вспомнил про очень важную вещь - дневной сон. Если вы посмотрите на фазы сна, то можете примерно прикинуть, как далеко мы можем зайти при дневном сне. В целом наиболее благоприятным является сон в фазах N1+N2 (до 30 минут), он дает бодрость, вы просыпаетесь в адекватном состоянии (без сонной инерции). Он же рекомендуется водителям или людям, чья профессия связана с депривацией сна для быстрого восстановления, удается получить бодрости с минимальными потерями. При сне более 30 минут мы уже можем захватить фазу глубокого сна и просыпаясь из нее как раз и ловим то самое состояние - "кто я, где я, зачем я". Сонная инерция длится еще долго и поганит ощущение от сна, плюсом ко всем такое сон уже может значительно нарушать сон ночной. Если вы проспите полный цикл, то эффект будет хороший, бы получите заряд бодрости и сонной инерции не будет, но вероятность нарушения засыпания вечером возрастает кратно. Такой вариант я бы рекомендовал людям с ночной работой, когда не ложится спать после смены не вариант. Кроме этих случаев оптимальный вариант дневного сна (если он все же необходим) - короткий сон около 30 минут до 15:00.
Есть и специфичные нарушения фаз сна, о которых я пожалуй напишу в следующем посте, так как тут снова получилось много. Простите за ошибки, вычитывать текст я уже не буду. Спасибо за внимание, я буду рад, если вы осилите это полотно =)
Интересная форма хронической бессонницы, которая приносит немало неприятностей как врачам, так и пациентам. Также она известна как псевдобессонница, а на западе как sleep state misperception, что более точно отражает суть состояния. При парадоксальной бессоннице человек испытывает выраженное субъективное ощущение отсутствия сна или его серьёзной недостаточности, несмотря на нормальные или почти нормальные объективные параметры сна по данным полисомнографии (совокупность мониторирования в ночное время различных показателей, в основном ЭЭГ, движения глаз, мышечную активность, показатели дыхания и сердечно-сосудистой системы).
Обычно на практике это выглядит так - пациент активно жалуется на отсутствие сна ночью, выраженные трудности засыпания или частые пробуждения ночью, разбитое состояние утром, но в отделении персонал отмечает, что он "спит без задних ног" или родственники говорят, что он спит довольно хорошо (часто это определяют например по храпу: "какое ты не спишь, если я из-за твоего храпа не сплю пол ночи сама"). Обычно на замечания о том что он спит пациент нехило раздражается и его можно понять, потому что по его ощущениям он действительно спит плохо, но ему говорят обратное. Утром человек действительно чувствует себя разбитым, накапливается усталость, растет тревога, значительно страдает качество жизни. Начинаются посещения терапевтов и неврологов с просьбой выписать что-то "для сна", но эффекта от снотворных нет. Если провести полисомнографию, то мы увидим достаточное количество сна и правильную (или практически правильную) его архитектуру.


Немного изображений для иллюстрации проведения сомнографии, я честно говоря не знаю насколько быстро я бы уснул со всеми этими проводами
В архитектуре сна все же фиксируются некоторые изменения, например больше альфа- и бета-активности на ЭЭГ во время NREM- фазы сна, что указывает на высокую корковую активацию, также может фиксироваться больше коротких микропробуждений, которые не фиксируются пациентом. Причины парадоксальной бессонницы до конца не ясны, но вот эта избыточная корковая активация вероятно играет свою роль, мозг как бы не "отключается" до конца и остается частично в режиме бодрствования, не снижая сенсорное восприятие до необходимого уровня. Также исследователи отводят роль когнитивным и перцептивным искажениям, предполагая что пациенты неверно интерпретируют нормальный сон как бодрствование. Отмечается и высокий уровень селективного внимания к "бессонным" ощущениям, когда пациент постоянно и чрезмерно фокусируется на признаках плохого сна, отслеживает малейшие признаки бодрствования. Подобная фокусировка усиливает тревогу, нарушает расслабление и поддерживает расстройство.
Как и в случае с обычной хронической бессонницей, парадоксальная чаще встречается у женщин, наблюдается связь с тревожными и депрессивными расстройствами, исследования показывают более высокую распространенность у молодых, хотя по моим ощущениям у пожилых встречается нередко. Считается, что парадоксальная бессонница составляет от 5% до 20% от всех хронических бессонниц, однако в некоторых исследованиях до 50% пациентов с жалобами на сон демонстрировали нормальные показатели при полисомнографии.
Для диагностики надо исключить другие причины (апноэ, депрессия и тревожные расстройства, злоупотребление психоактивными веществами), вести дневник сна, а затем сравнить его с результатами полисомнографии (субъективная и объективная оценки будут значительно расходится).
Первой линией терапии и "золотым стандартом" как и при хронической бессоннице будет когнитивно-поведенческая терапия бессонницы, только фокус и акценты терапии будут значительно различаться. Фармакотерапия чаще даже мешает, особенно седативные препараты, кстати бензодиазепины и Z-препараты в целом имеют свойство искажать восприятие сна и тут могут только усилить это искажение. Для лечения сопутствующей патологии в виде тревожных расстройств и депрессии показаны антидепрессанты и психотерапия.
У меня была мысль написать подробнее про сон, какой он "нормальный", про структуру и частые нарушения, будет ли это интересно?
В черновиках лежит большой текст про психиатрический "учёт" и комиссии, не знаю допишу ли его когда-нибудь, начал, но душа не лежит. Захотелось порассуждать о стигматизации, а если точнее, зайти к ней с другой стороны.
В постах я часто упоминаю явление стигматизации пациентов. Уточним, что стигматизация - это отрицательное отношение к человеку или "приписывание" ему определенных характеристик, в данном случае на основании наличия психического расстройства. Стигматизация облегчает для нас категоризацию, даёт готовое, стереотипное отношение. Навесили ярлык, вопрос закрыт, думать не надо. Понятно, почему это вредит пациентам, но я часто размышлял о том, что вредит и тому кто транслирует стигматизацию. Мне кажется взгляд на проблему под этим углом интересным, ведь правда довольно сложно менять себя для кого-то, а вот если изменения могут быть полезны для себя, то стоит задуматься.
Первое что приходит на ум - принятие стигматизирующих установок ограничивает наше собственное реагирование. Казалось бы, какая разница, как ты относишься к другим. Однако, когда мы принимаем эти установки по отношению к другим, они начинают работать и в собственную сторону. "Депрессия - не болезнь", "у кого есть чем заняться этой дурью маяться не будет", "сильные не обращаются за помощью к психологу/психиатру/психотерапевту", "начнёшь к ним ходить и нормальным уже не будешь" - у многих это настолько глубоко в основах мировосприятия, что воспринимается истиной. Затем происходит неприятное событие в жизни, переутомление на работе, любой срыв адаптации - человек не может признаться себе в этой слабости, ведь тогда он попадает в этот круг "слабых". Он не то что не пойдет к врачу, он ещё и будет испытывать жуткий дискомфорт от того, что видит в себе черты тех, кого уже определил к несостоятельным. Возможно необходимости идти к врачу и нет, достаточно просто выдохнуть, дать себе отдохнуть или высказаться близкому человеку, но даже это за гранью "дозволенного".
Выраженная стигматизация также сеет в нас зерно страха. Если по нашему убеждению "эти" люди такие слабые, безнадёжные и больные, то и страх перед психическими расстройствами больше. Вдруг я заболею депрессией или паническими атаками? Это крест. Все, впору ложится в гроб. Особенно печально когда это касается родственников, нет ничего хуже для пациента, чем близкий человек, мыслящий стереотипами. А ведь это ваши самые близкие люди. Если человек принимает стигматизирующие установки как данность, он буквально хоронит живьем близкого. Опять же, иногда речь просто о том чтобы поддержать, а не выдавать что-то вроде: "Соберись", "не ленись, займись делом" и тд.
Стигматизация также множит негатив в обществе. Это как шоры, которые не дают нам видеть картину целиком. Имея ограниченное и искаженное представление, общество принимает ошибочные решения.
Также зачастую из-за стигматизации мы лишаем себя интересного опыта. Чудаковатый человек может быть необычайно глубоко погружен в какую-то тему и с ним очень интересно говорить. Девушка, не вылезающая из депрессий, может очень тонко чувствовать мир. Умственно отсталый может стать очень ценным, исполнительным и ответственным работником, если найти ему подходящее место. Иногда мы встречаем человека не в лучшей форме, но это вовсе не значит, что он всегда такой. Возможно, стигматизация строит забор не вокруг них, а вокруг нас, мы просто опасаемся встречи с кем-то отличающимся.
Захотелось рассказать один из случаев БАР из практики.
Молодой человек 22 лет, проживает с матерью, сестрой и братом в небольшом городе, в частном доме. У семьи свое частное дело, назовем "семейный бизнес", но в целом это громко сказано, ИП по оказанию услуг. Ранее развитие без особенностей, окончил школу 11 классов, пошел в армию (хотел отслужить). Психических заболеваний в роду не установлено. Служба прошла спокойно, по возвращению работал в рамках семейного дела, думал о том как устроить жизнь дальше.
К нам в отделение попал со следующим ухудшением состояния: примерно в течении предыдущих двух недель стал активнее, мало спал, много времени проводил на улице с друзьями и знакомыми. При этом выполнял всю работу, но со слов матери стал более рассеянным. Поначалу мама списывала все на хорошее настроение, все-таки было лето, закономерно молодому парню гулять и веселиться. Примерно за неделю до госпитализации состояние стало вызывать беспокойство, пациент начал высказывать нереалистичные бизнес идеи, попробовал взять кредит в банке, но ему отказали. Просил мать оформить кредит на себя, собирался открыть ночной клуб в городе. Мама заметила его в компании с незнакомыми раньше людьми, практически каждый день он был пьяный, хотя раньше пил нечасто, домой практически не приходил, перестал выходить на работу, не спал. В один из дней матери позвонили знакомые, сказали что сын в неадекватном состоянии на берегу озера рядом с городом в купальном месте, ходит голый и что-то кричит. Вызвали полицию и скорую помощь, доставили в ЦРБ. Там сначала подумали на наркотическое опьянение, проверили, анализы чистые. Направили к нам.
В больнице был возбуждён, речь быстрая, бессвязная, свое поведение объяснить не мог, был уверен что здоров, но госпитализацией не тяготился. В отделении усиленно со всеми знакомился, был супер доброжелателен и позитивен, даже в давних и дефектных пациентах находил интересных собеседников. В одной из бесед рассказал, что похоже он может лечить других людей через воздействие на ауру, чем и планировал активно заниматься в отделении. Очевиден эпизод мании с психотическими симптомами, начали лечить. Состояние улучшилось на глазах, через пару дней уже был спокоен и адекватен в поведении, появилась критика к состоянию, попросил о переводе к "более адекватным пациентам". Позже рассказал, что эти пару недель перед госпитализацией почувствовал необычайный прилив сил, веру в себя и огромное количество планов, которые хотел реализовать. Через какое-то время начал чувствовать себя особенным, но пока не понимал, в чем эта особенность. Спать совершенно не хотелось, столько всего надо было сделать. В день госпитализации осознал, что он "Иисус", поехал на ближайший водоем чтобы проверить это, попробовав ходить по воде. Разделся, потому что тогда казалось, что так нужно. Рассказывал все это со смущением, понимая болезненность переживаний. Также в анамнезе отследили несколько довольно тяжёлых депрессивных эпизодов, по поводу которых не обращался за помощью. Диагностическое представление сложилось в пользу биполярного аффективного расстройства первого типа, подобрали поддерживающую терапию, выписали быстро, недели через три.
Катамнез я смог отследить года через два, он позвонил мне в отделение, проконсультироваться по поводу возможностей трудоустройства с диагнозом. Весь этот период ухудшения не было, принимал терапию, поступил на учебу. Рассказываю я этот случай чтобы показать, как иногда внезапно и без повода "накрывает" болезнь. С другой стороны, адекватное и своевременное лечение позволяет взять ее под контроль и продолжать полноценную жизнь.
Просто забавный случай с дежурства. Психиатрическая больница, дело ближе к ночи, около 11 вечера (все забавное и удивительное происходит поздним вечером и ночью, волшебное время). Скоряки привозят бабулю, вызвали их сотрудники круглосуточного магазина, так как бабушка своим поведением вызывала беспокойство. Была она крайне неопрятна, с собой таскала спортивную сумку и ещё одну сумку, вроде такой клетчатой, какие раньше были в ходу у челноков. В магазине что-то требовала у продавцов, скандалила, говорила всякую чепуху, сейчас уже не помню. По бабушке было понятно что она не в себе, при этом она категорически отказывалась называть адрес, показывать документы и на предложение отвести домой заявила что дома у нее нет, ключ она от квартиры выкинула и вообще ничего вы ироды окаянные не получите. У бабуси оказался бред ущерба, все хотели ее обокрасть, все отобрать, собрала она самое ценное в сумки и пошла в народ. Выяснить сколько она уже курсирует по городу не удалось, повезли скоряки ее к нам.
Небольшое отступление, при поступлении все вещи пациента описываются, деньги и ценности же вносятся в квитанцию и кладутся в сейф. Утром это добро приходит забирать человек из бухгалтерии, хрен знает как называется это официально, у нас ее называли бухгалтером. Были разные прецеденты, у нас пациенты как ни поступят через одного миллионер, всех обкрадываем само собой, потом иногда требуют 10 рублей монетами, которые точно были во внутреннем кармане куртки, но при выписке он их не обнаружил. Так что с деньгами все строго.
Вот бабушка эта со своим бредом ущерба и огромными сумками доставлена в приемный покой. Пообщалась с медсестрой и санитаркой, как то они ее удобрили, я пообещал обратится в полицию для прояснения ситуаций со злодеями и убедил, что больница лучшее место переждать мировой заговор. Охнули с количества вещей, которые надо переписывать, достала она паспорт и все документы, квитанции за ЖКХ за последние 5 лет тоже с собой. Самое веселое было впереди, в одной из сумок у нее был обычный магазинный полиэтиленовый пакет (точнее два, вложенные в друг друга), и был он конечно не весь, но прилично заполнен мелочью. Медсестра, которая мысленно уже шла спать на кушетку за стенкой, начала впадать в истерику. Этот кулёк надо было пересчитывать. Скоряки начали ржать, но поздно сообразили и не успели уехать. Естественно бабуля видя внимание к ее деньгам вновь стала подозрительна. Медсестра начала предлагать мне отвести бабулю домой, благо адрес уже известен, бабушка же настаивала, что ключ она все равно утилизирована, а деньги эти ее сбережения и в квартире она их не оставит. На сейф согласилась, оценив его надёжность.
Короче сели мы вместе со скоряками, у которых благо не было вызовов, пересчитывать злато. Бабуля копила видимо бездумно, монеты были разного номинала, по 10 рублей было совсем мало, попадались и 5 копеек, а так все больше рубли, 2 рубля и 5. Считали кстати относительно недолго, впятером. Насчитали мы ей почти 9к рублей, может где и ошиблись, там уж сложно было в ночи. Самый прикол, что утром бухгалтеру это тоже надо пересчитывать, только уже одной, интересно было бы увидеть ее реакцию. В психиатрическую больницу чего только не возят с собой, но такое количество монет видеть не приходилось. У одного пациента в приемнике из рукава куртки вылезла крыса, оказалось это его питомец, в смысле домашняя и он "ходил с ней гулять". Другой привез чайный гриб. Разное вообще было, но монеты эти запомнились надолго.
Что ж, пройдемся еще немного по попсовым темам, тем более она косвенно связанна с предыдущим постом. Этот термин был предложен впервые японским робототехником Масахиро Мори в 1970 году. В своей статье он описал гипотезу, согласно которой по мере того как объект (например, робот или анимация) становится более человекоподобным, симпатия к нему растёт, но только до определенного момента. Когда объект становится почти неотличимым от человека, но при этом сохраняет некоторые несовершенства, выдающие в нем искусственность, возникает чувство "жуткости" и отторжения. Именно этот участок на графике симпатия/похожесть он и назвал "зловещей долиной", здесь симпатия резко падает. Тогда статья не получила должного внимания, ведь вопрос не был настолько актуален, однако к термину вернулись спустя десятилетия.
Оригинальная статья доступна в английском переводе и при прочтении конечно удивляет, насколько автор опередил время. В статье он приводит в качестве антропоморфных примеров механическую руку-протез с искусственной кожей и традиционные куклы из театра Bunraku, которые для нашей культуры вообще слабо можно назвать похожими на реального человека, но видимо это вопрос культурального восприятия. Их он кстати относил уже к выходящим из зоны "долины".


Японский кукольный театр Bunraku
Закономерно исследователи вернулись к изучению вопроса уже в 21 веке. Исследователей интересовало происхождение феномена и его нейрофизиология: почему это происходит? для чего это нужно? какие участки мозга за это отвечают?
В исследовании, результаты которого были опубликованы в 2009 году (Steckenfinger, S. A., & Ghazanfar, A. A. (2009). Monkey visual behavior falls into the uncanny valley) макакам показывали три вида моделей: модель реальной головы макаки, грубую 3D-модель, напоминающую голову макаки и модель головы макаки, приближенную к реалистичной. Далее исследователи оценивали как долго макаки удерживают взгляд на изображениях и было зафиксировано, что изображение реальной головы и грубой модели макаки рассматривают дольше, а от реалистичного изображения стремятся взгляд отвести. Эту реакцию исследователи объяснили эффектом "зловещей долины", а наличие этого феномена у приматов натолкнуло на эволюционную обусловленность феномена.
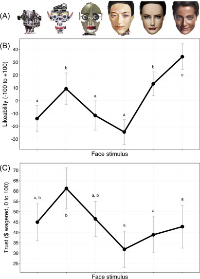
Впрочем, дальнейшие исследования были крайне неоднозначны и многие ученые высказывали скепсис в отношении феномена, кто-то его вовсе отрицал, кто-то объяснял социальными и культурными аспектами. В исследовании 2016 года (Mathur, M. B., & Reichling, D. B. (2016). Navigating a social world with robot partners: A quantitative cartography of the Uncanny Valley) было случайным образом по поисковым запросам выбрано 80 изображений "лиц" роботов, разной степени схожести с человеком. Через онлайн-платформу, где пользователи выполняют короткие задания за оплату, людям предлагалось оценивать эти изображения (оценивались такие параметры как "похожесть на робота", "похожесть на человека", "симпатичность", "уровень доверия" и еще несколько) . Проводилось несколько экспериментов в рамках исследования, но думаю если описывать их подробно, будет излишне нудно. Исследование довольно интересное, оно есть в открытом доступе, перейдем сразу к выводам. Итак, механические "лица" вызывали нейтральную реакцию, далее до определённого момента симпатичность "лиц" возрастала по мере увеличения сходства с человеческим образом. Однако, по мере того как лица становились более человекоподобными, они начинали восприниматься как явно неприятные. И, наконец, когда лица становились почти полностью человеческими, симпатичность резко возрастала, достигая окончательной положительной точки.
Также примечательно, что на оценку изображений, попадающих в зону "зловещей долины" испытуемые тратили достоверно дольше времени, что косвенно подтверждает гипотезу о том, что феномен связан с трудностью категоризации по результатам восприятия, человеческому мозгу сложно определить кто перед ним, робот или человек, это вызывает замешательство и неприятное чувство тревоги. Уровень "симпатичности" и "доверия" к роботу закономерно проваливался в зоне "долины". Также между делом отметилось и то, что к женским изображениям уровень доверия значительно выше. Итак, выходит эффект "долины" вызван лишь несовершенством изображения и если изобразить робота реалистично, его можно избежать?
Идем дальше и обратимся к последнему в сегодняшнем посте исследованию, в котором пытались оценить какие же зоны мозга вовлекаются в процесс распознавания, а также оценить роль движения объекта (Saygin, A. P., Chaminade, T., Ishiguro, H., Driver, J., & Frith, C. (2012). The thing that should not be: Predictive coding and the uncanny valley in perceiving human and humanoid robot actions). Сначала небольшое введение в вопрос: считается, что у приматов за восприятие движения тела отвечает нейронная сеть, которая включает в себя латеральную височную, нижнюю теменную и нижнюю лобную доли мозга. По крайней мере нейровизуализация показывает, что именно эти области активируются при наблюдении действий. Исследователей заинтересовал вопрос, как же оценивается механическое движение, есть ли разница в восприятия движения естественного и механического. Снова пробую максимально упростить и сократить.
Итак, в исследовании использовали функциональную магнитно-резонансную томографию (фМРТ), в ходе которой участникам показывали короткие видеоклипы, где люди или роботы выполняли узнаваемые действия. При этом показывали видео с человекоподобным роботом, роботом "без человеческой оболочки" и с настоящим человеком.
В результате исследования были выявлены отличия в зонах активации, особенно явные для человекоподобного робота. Исследователи делают вывод, что в случае "механический робот" и "человек" ожидание системы распознавания полностью совпадало с воспринимаемой реальностью (движением объекта). В случае "человекоподобного робота" происходило расхождение в системе распознавания - движение не соответствовало ожиданию, что требовало включения дополнительных структур для оценки движения, внешность человеческая, но движение механическое. Данное исследование не было направлено непосредственно на изучение феномена "зловещей долины", однако подтвердило концепцию об "ошибке предсказания" как основе феномена.
Теперь с вашего позволения позволю себе вольное обобщение. Итак, вполне вероятно, что феномен "зловещей долины" обусловлен эволюционно. При распознавании лиц и движений человеком важно оценить "безопасность" объекта. Внешне объект может выглядеть как человек, однако едва уловимые черты и особенности движений могут выдавать в нем неестественность, раньше это были особенности внешние, сейчас же чаще едва уловимые детали мимики, движений глаз. Процесс распознавания происходит крайне быстро и неосознанно, несоответствие между ожидание/реальность вызывает чувство опасности. Безусловно, эволюционно это не имеет связи с роботами, однако вероятно этот механизм помогал избегать трупов, умирающих и тяжело больных особей как потенциально опасных. Помните я упоминал о связи с прошлым постом? Явление "зловещей долины", как и феномен "дежавю" тесно связан с концепцией активного внимания. Дело в том, что наш мозг не просто воспринимает внешние стимулы, он мгновенно их обрабатывает, делает некоторые выводы и прогнозирует. В случае с "дежавю" при восприятии видимо происходит сбой в системе выуживании воспоминаний, при "зловещей долине" затруднение в прогнозировании из-за сложности в обработке необычной входящей информации. Так что если андроиды хотят захватить планету незаметно, у них есть одна нерешенная проблема (либо она уже решена, но мы об этом не знаем).
P.S. Получилось довольно длинно, но надеюсь интересно! Прошу прощения за возможные ошибки, писал пост долго, после работы и устал, вычитывать сил нет. К тому же тема не совсем моя, но было очень интересно в нее окунуться, по итогу вместо написания короткой заметки погрузился в изучение вопроса. По-прежнему жду авторов в сообщество, рад обратной связи. Удачи!
Продолжаем знакомство с психопатологическими синдромами. Данный синдром был описан шведским неврологом Карлом Экбомом в 1938 году. Он же кстати описал синдром беспокойных ног, поэтому использовать сочетание " синдром Экбома" чревато путаницей. Вообще считается, что данный синдром встречается довольно редко, однако возможно часть пациентов просто не попадают в поле зрения психиатров, курсируя между дерматологами и инфекционистами.
Бредовые идеи пациентов заключаются в стойкой убеждённости, что они заражены паразитами (чаще насекомыми или червями, реже бактериями и вирусами). Бред этот монотематический и если он первичен, то других проявлений у пациента не будет, в повседневной жизни он производит совершенно адекватное впечатление, особенно в начале болезни. Для этого бреда характерно постепенное начало с хорошей систематизацией и рационализацией. Пациент начинает испытывать некие неприятные ощущения в теле, чаще под кожей или "в коже". Обычно это описывают как "ползанье", "перемещение", "кусание", "оставление следов", "строительство гнезд". Закономерно человек идёт к кому угодно за лечением, но не к психиатру. В старых статьях и заметках описан симптом "спичечного коробка", пациенты часто на прием приносили доказательства в спичечном коробке, обычно там были кусочки кожи, волосы или что-то подобное, при этом пациент настойчиво требует исследования доказательства.
Медицинских подтверждений заражению не находится, в конце концов пациенту предлагают обратится к психиатру, но он воспринимает это крайне негативно. Часто в бред оказываются втянуты родственники, так как в остальном поведение пациента вполне рационально, они перенимают веру в бредовые заблуждения пациента. К сожалению довольно часто встречаются самоповреждения, пациенты могут пытаться достать мнимого паразита из под кожи, лечить сомнительными методами с нанесением раздражающих кожу веществ, расчесывать кожу. Появившиеся повреждения лишь усиливают ощущения, что усугубляет ситуацию, а также осложняют диагностику для дерматолога. Часто по мнению пациента лечащие врачи просто не обладают должной компетенцией, он начинает искать информацию и собирать доказательства заражения.
Конечно при наличии подобных симптомов требуется дифференциальная диагностика, нужно исключить кожные заболевания, нейропатии, побочные действия лекарств, однако обычно бредовая основа понятна по мере развития проявлений, когда интерпретации начинают носить откровенно бредовый характер.
Бред паразитоза встречается при разных состояниях: органических поражениях (посттравматические, ишемические, различные виды деменций), шизофрении, употреблении каннабиноидов, амфетамина и кокаина.
При первичном дерматозойном бреде типичным пациентом является ухоженная, аккуратная женщина в возрасте 60+. Если говорить про шизофрению, проявления будут более разнообразны и вычурны, поведение также будет более импульсивным. Я помню пациента, который наносил разрезы на коже ног, пытался достать червей, которые там ползают. Для употребления наркотиков (особенно кокаина, амфетамина, метамфетамина) характерны тактильные галлюцинации поверхностного расположения (в коже, под коже), тут речь идёт уже о чувственном бреде, который основывается на этом галлюцинозе. Таких пациентов я тоже встречал, эти ощущения они описывают как очень страшные. Подобные кстати встречаются и при синдроме отмены алкоголя.
Лечение проводится антипсихотиками, при вторичных формах бреда важно лечение первичного заболевания. Самое сложное - убедить пациента начать лечение у психиатра, иногда это удается только тогда, когда болезнь заходит очень далеко.
