Кекуры мыса Знаменка
Мыс Знаменка (остров Кунашир), со стороны Кунаширского пролива (охотоморская сторона). Фото из этой весны - как раз получилось поймать чудесный отлив.
Находится на территории заповедника "Курильский", но попасть можно без проблем).
Возле них проходит медвежья тропа, а на верхушках часто сидят чайки и орланы
Базальтовое волокно Anisoprint
Два месяца назад к нам привезли один интересный груз — установку по производству и намотки композитной армирующей нити.
Такая установка абсолютно уникальна, она предназначена для технологии анизопринтинга, а значит, в мире больше нет второй такой. И как же это волнительно и увлекательно погрузиться в процесс сборки и эксплуатации подобного оборудования.
Первые партии катушек уже «сошли с конвейера».
Что же мы наматываем?
На данный момент установка используется для намотки нити на основе углеродного волокна, базальтового волокна. В перспективе — стекловолокна.
Изделия, напечатанные с применением базальтового волокна по технологии анизопринтинга, превосходят по сочетанию физико-механические характеристики металла и пластика, будучи до пятнадцати раз прочнее неармированных полимеров, в пять раз легче стали, в полтора раза прочнее и легче алюминия. Применение CBF (Composite Basalt Fiber) снижает издержки производства, а напечатанные детали получаются в несколько раз дешевле аналогов из других материалов.
Особенное свойство базальта — радиопрозрачность. Напечатанные из базальтового волокна детали не оказывают существенного воздействия на амплитуду и частоту проходящих сквозь них электромагнитных волн. Композитное базальтовое волокно — отличный материал для радиопрозрачных и изоляционных элементов.
Отдельно стоит отметить, что применение непрерывного базальтового волокна позволяет существенно снизить стоимость готового изделия.
В процессе печати армирующее волокно комбинируется с пластиком. На выходе получаются прочные и легкие детали с требуемыми химическими, тепловыми и поверхностными свойствами.
На видео ниже мы хотели бы продемонстрировать свойства базальтового волокна (СBF) ANISOPRINT.
Согнув нить, ее можно легко сломать, но потянув нить «на разрыв» это сделать очень сложно.
Таким образом, при конструировании многих видов деталей, это свойство базальта является очень ценным.
Базальтовое волокно в анизопечати
Anisoprint CCF (композитное углеродное волокно) и CBF (композитное базальтовое волокно) представляют собой композитные армирующие волокна в виде жгута, состоящего из тысяч ультратонких углеродных или базальтовых моноволокон, пропитанных специальной полимерной композицией, обеспечивающей высококачественную адгезию между полимерами и волокном.
Композитное волокно используется для усиления пластика при изготовлении детали.
Давайте остановимся на базальтовом волокне и я расскажу о нем подробнее.
БАЗАЛЬТОВОЕ ВОЛОКНО:
Назначение базальтовых непрерывных волокон - производство армирующих и композитных материалов и изделий.
Характеристики композитного базальтового волокна Anisoprint:
- Диаметр — 0.28мм
- Объемная доля волокна — 60%
- Модуль упругости — 54 ГПа
- Предел прочности при растяжении — 1557 МПа
Базальтовые волокна производятся из базальтовых пород магматического происхождения.
Это определяет высокую химическую стойкость волокон к воздействию щелочей, кислот и химически активных сред; возможности длительной эксплуатации волокон под воздействием окружающей среды, влаги и морской воды; негорючесть и высокую термическую стойкость волокон, устойчивость к вибрациям и агрессивным средам.
При этом базальтовое волокно считается экологически чистым материалам не содержащим вредных веществ.
Сочетание свойств и характеристик базальтовых волокон обеспечивают возможности производства целого спектра материалов и их широкого применения в самых разных областях.
Ещё одно интересное отличительное свойство базальтового волокна – диэлектрик, прозрачны для электромагнитного излучения, радиолучей и магнитного поля, являются основой для производства электроизоляционных материалов, а также обтекателей РЛС и антенн.
Таким образом базальтовое волокно это отличный армирующий материал для композитных материалов, имеющий невысокую стоимость и высокую долговечность.
Столбчатая отдельность
На фото — один из каскадов исландского водопада Хейнгифосс прорезает застывший поток базальтов с интересной структурой, напоминающей стену из соединенных призматических колонн. Такая структура называется столбчатой отдельностью и, несмотря на слишком закономерный для природного образования вид, является результатом достаточно обычного процесса, происходящего при застывании лав или магм. Геологические обнажения с красивой столбчатой отдельностью часто являются популярными туристическими достопримечательностями, из которых наиболее известны «Мостовая гигантов» в Северной Ирландии, «Башня дьявола» в Вайоминге, США и Фингалова пещера в Шотландии.
Знаменитая «Башня дьявола» в Вайоминге — останец, то есть оставшийся фрагмент более прочных горных пород после разрушения окружающих в результате выветривания. Фото с сайта ru.wikipedia.org
Правильные геометрические формы многометровых размеров относительно редки в неживой природе, за исключением разве что кристаллов в пегматитах, и скопления равносторонних колонн, естественно, привлекали внимание людей с древности — с каждым доступным проявлением столбчатой отдельности всегда связана какая-то местная легенда. В европейском фольклоре часто встречается версия, согласно которой эти объекты — древние мосты и дороги, построенные сверхъестественными существами. Наиболее вероятно, что эта версия возникла из-за сходства поперечного сечения скоплений колонн и поверхности римских дорог, мощенных каменными многоугольниками.
Слева — «Мостовая гигантов» в Ирландии, справа — улица в Помпеях. Фото с сайта en.wikipedia.org и en.wikipedia.org
Концом мифологической истории и официальным началом научного изучения столбчатой отдельности скорее всего следует считать 23 декабря 1689 года, когда на заседании Лондонского королевского общества, созданного незадолго до этого, в 1660-м, было зачитано сообщение сэра Роберта Рединга (Robert Reading) о «Мостовой гигантов», в котором давалось краткое описание этого геологического объекта. В протоколе собрания сохранилось только краткое изложение самого письма, и первым официальным научным подробным описанием является статья ирландского врача сэра Томаса Молинё (Sir Thomas Molyneux) в «Философских записках Лондонского королевского общества» 1698 года.
В этом письме подробно излагаются свидетельства местного населения, описывается форма колонн, их расположение, устанавливается факт того, что они состоят из базальта, однако не дается сколь-либо четкого ответа относительно того, как же они образовались. Но учитывая уровень развития науки в конце XVIII века — это вовсе не удивительно: более или менее ясная картина формирования столбчатой отдельности сложилась лишь три столетия спустя.
Столбчатая отдельность наиболее часто встречается в магматических породах семейства базальтов. Однако хорошо известны проявления такой отдельности в магматических породах иных составов (к примеру, в риолитах) и даже в игнимбритах. Так что устоявшееся выражение «столбчатая отдельность в базальтах» является, в принципе, не совсем корректным.
Во всех проявлениях столбчатой отдельности просматривается ряд закономерностей, как в форме колонн, так и в самой структуре застывшего потока или дайки. Колонны обычно имеют пяти- или шестигранную форму, а в самом геологическом теле выделяют три части — верхнюю и нижнюю колоннады и среднюю часть (антаблемент) между ними. Эти три части не всегда наблюдаются вместе, изменчивы и их пропорции.
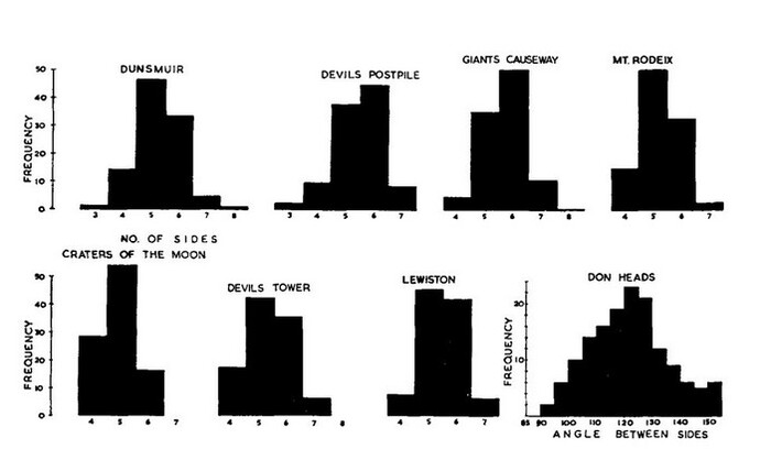
Количество граней у колонн на различных проявлениях столбчатой отдельности — пяти- и шестигранные колонны представлены примерно в одинаковых количествах (первые 7 гистограмм); угол между гранями колонн (восьмая гистограмма, Don Heads в Тасмании) для данного обнажения составляет в среднем 120°. Изображение из статьи A. Spry, 1961. The origin of columnar jointing, particularly in basalt flows
Самые наглядные хрестоматийные случаи отмечены в крупных лавовых потоках, вроде наблюдаемых в обнажениях базальтов реки Колумбия (Columbia River Basalt Group) в американских штатах Орегон и Вашингтон.
Трехчастное строение типичного проявления столбчатой отдельности: сверху вниз — верхняя колоннада (Colonade (Upper)), антаблемент (Entablature), нижняя колоннада (Colonade (Lower)). Рисунок из статьи A. Spry, 1961. The origin of columnar jointing, particularly in basalt flows с одного из обнажений базальтов реки Колумбия
Да и колонны в этих «колоннадах» не обязательно параллельные — достаточно часто они изгибаются и пресекаются с клиновидным окончанием. Каждая из колонн также разбивается на небольшие фрагменты горизонтальными трещинами, возникающими из-за неравномерности охлаждения. В целом, если присмотреться, несмотря на кажущуюся упорядоченность, симметрия в обнажениях столбчатой отдельности нарушается постоянно.
Зигзагообразные базальтовые колонны в обнажении Базальтовые Скалы (Турция). Фото с сайта en.wikipedia.org
Процесс, приводящий к возникновению колонн, достаточно прост в первом приближении, но сложен в точном математическом и физическом описании. Неслучайно статьи про разные аспекты формирования столбчатой отдельности до сих пор иногда публикуются в Nature.
Формы, образованные изгибающимися колоннами. (а) перевернутый шеврон, (b) шеврон, (c) косой шеврон, (d) розетка, (e) веер, (f) перевернутый веер, (g) бассейн. Рисунок из статьи A. Spry, 1961. The origin of columnar jointing, particularly in basalt flows
Для понимания того, как образуются ограненные параллельные колонны, необходимо сказать несколько слов о том, из чего они образуются. Лавовый поток или интрузивное тело, к примеру, базальтов, до полного застывания состоит из смеси нескольких компонентов: магматического расплава, кристаллов и также часто пузырьков флюида (вода, углекислый газ или что-то более экзотическое). Расплав — это среда, из которой растут кристаллы, и при медленном охлаждении, как в случае интрузивных магматических горных пород, происходит его полная кристаллизация: так из базальтовой магмы получается интрузивная горная порода габбро. При более быстром охлаждении, которое происходит при излиянии магмы на поверхность или быстром внедрении в холодные породы, магматический расплав не успевает закристаллизоваться и происходит его стеклование. Таким образом, базальт точнее воспринимать не как гомогенную субстанцию, а как кучу кристаллов в матрице из стекла — неоднородную среду с неравномерным распределением вещества, в которой хорошо образуются трещины. Лавовый поток, излившийся на поверхность, застывает с двух концов — с одной стороны его охлаждает воздух, а с другой — более прохладные подстилающие породы. Но в случае со стороной, охлаждаемой воздухом, процесс теплопотери идет гораздо эффективнее и застывание происходит быстрее.
При застывании магмы или лавы ее объем изменяется — итоговая горная порода более плотная и занимает меньше места. Охлаждаясь, ровная поверхность потока растрескивается из-за накапливающегося стресса. В самой верхней части потока эти трещины расположены достаточно хаотично, но с глубиной множество маленьких трещин объединяются в системы и, в итоге, в крупные трещины, которые и ограничивают колонны. Центры колонн приблизительно равноудалены друг от друга, а их пяти-, шестигранная форма объясняется тем, что это наиболее эффективное распределение трещин для релаксации стресса при таком режиме охлаждения. Детальному описанию разных аспектов этого процесса посвящены сотни статей и при желании почитать поподробнее можно воспользоваться библиографическим списком к статье 2018 года Disclosing the temperature of columnar jointing in lavas, в котором перечислена хорошая подборка наиболее важных из них.
Схематическая диаграмма формирующейся базальтовой отдельности. Верхняя часть более холодная (Cold), нижняя — более горячая (Hot). Расстояние между будущими центрами схематических идеальных шестигранных колонн (dhot) больше ширины застывшей колонны (dcold) на величину W — ширину возникающей трещины. Когда накапливающийся стресс превышает величину механической прочности породы (εfailure), происходит формирование трещины. В уже растрескавшейся части формируется проницаемая сеть трещин (Permeable network), по которой часто циркулируют гидротермальные растворы, стимулирующие их дальнейшее раскрытие. Tjointing — температура формирования трещины, около 890–840 °С, Tsolidus — температура окончания кристаллизации (для базальтов из этой статьи — 980 °С). Изображение из статьи A. Lamur et al., 2018. Disclosing the temperature of columnar jointing in lavas
Столбчатая отдельность — не очень редкий геологический объект не только на Земле, но и на других планетах. В 2009 году на снимках аппарата HiRISE в марсианской долине Марте (Marte Vallis) были идентифицированы типичные ряды параллельных столбиков, которые вряд ли являются чем-то иным, исходя из наших знаний о марсианском вулканизме и распространенности там базальтов.
В левой части снимка показан крупный участок долины Марте; A — наиболее репрезентативное обнажение с колоннами 25–30 метров в длину и около двух в ширину, B — веерообразные пучки колонн более метра в ширину, С — тонкие колонны, скорее всего средняя часть структуры (антаблемент). Изображение из статьи M. Milazzo et al., 2009. Discovery of columnar jointing on Mars
И можно с уверенностью утверждать, что в будущем мы увидим эту забавную закономерную геологическую структуру не только на Марсе, но и на других планетах, так как законы природы везде фундаментально одинаковы.
Автор: Кирилл Власов
Природный памятник "Лавовый поток у Мезины"
Базальтовые столбы часто фигурируют в конспирологии - мегадеревья, кремниевая жизнь, древняя добыча ископаемых техникой и подобное. В действительности это лишь застывшая магма в виде "ячеек Бенара". Большая часть этих столбов образуют правильные шестиугольники (природа строит идеальные фигуры), хотя и не все. Ячейки Бенара образуются в слое вязкой жидкости равномерно подогреваемой снизу, по факту обычная конвекция, а если ещё медленно остудить, то образуются такие столбы. Явление интересно тем что происходит везде вне зависимости величины объекта, будь то точки геологической активности на коре Земли, циклоны атмосферы или соус в тарелке. Место: потухший (надеюсь) 1,8 млн лет назад вулкан, Брунталь, Чехия.
Ответ на пост «Пляж в Исландии»1
В далеком 2015 году, увидела я этих ребят и осталась в восторге. Предлагаю и Вам посмотреть, как парочка решила пожениться в Исландии, и что из этого вышло.
Там еще много красивых фотографий)



















