Это же явное нарушение законов. Незаконное выкачивание денег из потребителя путем искусственного ограничения характеристик товара. Странно, почему их до сих пор не засудили по самые помидоры.
А ничего, что автопроизводители давно делают то де самое?
Нарушение законов, блин)))
У автопроизводителей это происходит не так явно. И доказать это не так просто. Как понять, специально ли производитель авто сделал некачественную конструкцию или нет? Может он просто использовал материал подешевле, чтобы сэкономить. А здесь явное разводилово -- предохранитель, единственная цель которого -- ограничение характеристик товара.
Намеренно идёт усложнение ремонта, ты лампочку в современном авто иногда не можешь просто поменять, надо снимать бампер, например.
Масло поменять - полдвигателя разобрать надо (у некоторых). Т.е. всё для того, чтобы ты ехал в офиц. сервис.
Это тоже явное разводилово и ничего, вроде не засудили никого.
У меня на бывшей работе был интересный случай: фирма, в которой я работал, в своих устройствах физически стирала маркировки микросхем. Защита от копирования. Но суду это не понравилось и он оштрафовал её на несколько млн. евро. Я точно не знаю деталей и правда ли это, но насколько знаю, это было потому, что:
1) микросхемы ей не принадлежали, она их не производила, а закупала и использовала в своём устройстве
2) таким образом она ограничивала право пользователей на самостоятельный ремонт
Вот такие пироги. Фирма если что ThyssenKrupp Elevator, устройство -- диагностический прибор для лифтов.
Да это сплошь и рядом, немчура трет, фины трут, французы туда-же, любое производственное оборудование половина (а иногда и все) микрухи с стертой маркировкой.
Хм... мне интересна реакция суда на микросхемы, которые разваливаются при попытке снять с них радиатор (тоже защита от копирования)
Судя по всему, это маразм руководства. Как будто стирание маркировки кого-то остановит. Смотришь корпус, где питание, где земля, где какие шины данных, потом сопоставляешь с известными даташитами, и в путь. Если уж защищать, то встроенными средствами микроконтроллера.
Послойная шлифовка корпуса и ультрафиолетовое стирание регистра конфигурации, в котором и установлен бит защиты от чтения. Процедура совсем не "доступная", но вполне результативная. Тереть булеву логику и управляющие микросхемы - это особый, абсолютно бесполезный цинизм, имхо.
И ежемесячные сервисные проверки не помогают, может у мастера как раз эта херня с затёртой микросхемой сломалась)
Просто сервисники приходят, видят то безобразие, что наворотили монтажники, понимают что переделывать за ними они не хотят, ну и на этом всё заканчивается) Монтаж это считай половина лифта, любой лифт на монтаже можно превратить в гремящее качающееся дерьмо.
В грохоте виноват не завод (в России эта фирма лифты не производит, только привозит), а наши русские монтажники-распиздяи, которые наверняка что-то не так установили или настроили. Есть максимально допустимый уровень шума вибраций, превышение которых обслуживающая фирма должна устранить. Смотрите договор на этот предмет.
ты лампочку в современном авто иногда не можешь просто поменять, надо снимать бампер, например.
водитель опеля? у меня знакомые опелеводы тоже пол машины разбирали чтобы лампочку поменять, пока наконец инструкцию не открыли, и не увидели что со стороны колеса, в арке есть лючок для замены лампочки.
toyota avensis, вот в ней точно бампер надо снимать... знаю ибо и сам снимал и в диллер сервисе видел что именно так меняют.
о поколениях неведаю, вот имел вот такую, именно на нейменяя лампочки снимется бампер, вернее откидывается... один хер заморочка.(фото спростор) избавился после аварии (геометрия поехала)
лампа птф меняется через арку или если снизу под бампером снять пластик, все лампы головного света меняются через капот
И у меня такой же авенсис (только рестайлинговый седан), если мы про лампы ближнего\дальнего света, то бампер не снимается для замены ламп. Тесно - это да, пожалуй, но вполне реально. Менял лично несколько раз.
в арке есть лючок для замены лампочки.
это, конечно, удобнее, чем снимать бампер, но не пездец ли?
конечно же пиздец. но тему того, что опель это недомашина я думаю развивать нет смысла.
просто покупайте нормальные машины, и меняйте лампочки просто открыв капот.
Ну некоторые лонжероны сверлят что бы свечи поменять, когда нормальные люди просто ключем с карданчиком это делают
Явное, но не доказуемое. Как ты докажешь суду, что производитель специально усложняет ремонт? А не просто случайно сделал такую неудобную конструкцию, потому что не додумался до более грамотной?
1) А что мешает покупателю самому решать, как пользоваться своим устройством, за которое он заплатил деньги? Можно выводить сообщение "Дальнейшее использование фотобарабана может привести к порче всего устройства, используйте на свой страх и риск, мы ответственности больше не несём" вместо полной и безальтернативной блокировки. Это все равно что автомобиль после 100 000 км пробега будет вставать и требовать замены двигателя. Пофигу, что он ещё рабочий. Якобы двигатель может сломать в машине что-нибудь ещё или привести к ДТП и убить пользователя.
2) В данном случае очень трудно придумать легенду и обосновать такое решение. Что ещё в принтере может повредить старый фотобарабан?
Мазда ФС мотор масляный фильтр под углом вверх на задней части движка между генератором и выпускным коллектором, отвратить сам сможешь, а вот сделать это и ничего вокруг не испортить очень вряд ли.расчёт на откачку масла на сервисе
30 лет одна песня. Лампочку поменять? да хоть в колхозе.
Приходим к выводу, что машины моложе года 2005 брать нецелесообразно,при условии самостоятельного обслуживания машины.:)
Да ладно, в мире столько мастеров, которые что хочешь в кустарных условиях замутят.
Уж заменить лампочку в фаре то точно. Какая разница какое там устройство, все равно все держится на земных материалах землянами собранное
Да понято что можно в том же мерине выпаять эту лампочку и впаять новую, но нахуй нужен такой секс, причем за немалые деньги?)
Чего еще интересного расскажешь?
Просто весь мой практический опыт ограничивается вагом"А как дышал, как дышал!"
Обычно на 5 лет их хватает, а вот дальше да, сгорают, но и то только у самых мощных вариантов автомобиля и при агрессивном стиле вождения.
Что мешало сразу поставить кевларовые? В машинах за много денег это должно быть само собой разумеющимся.
Выйдет дороже в производстве + унификация. Инженеры посчитали стандартный вариант, проверили на практике, на заявленный срок в 5 лет хватает на всех типах двигателей, значит можно сэкономить.
Они будут прикрываться благовидными причинами.
Например: барабан гарантированно рассчитан на 15к копий(с запасом) , потом качество может ухудшиться. Типа всё ради нас пользователей.
да может они себе тоже лазейку оставили, мол блабла защита всей системы о статического электричества и ударов молний.
Посмотри на ютубе Технарь - двигатель . Давидыч ведет... как раз про разводилово в автосфере хорошо рассказано.
Лицензионное соглашение не может отменять действия закона. Закон всегда сильнее. Правда, я не уверен, что есть закон, запрещающий так делать.
Ну, написать всякое в лицензионном соглашении можно, но если там предполагаются действия, нарушающие закон, соглашение не имеет никакой юридической силы.
Ну правильно, а следовательно и не имеет юридической силы твоё согласие с этим пунктом. Так что возвращаемся к тому с чего начали - в лицензионном соглашении можно писать что угодно, но закон всё равно в приоритете.
Я может чего то не понимаю, но если по рекламе не тыкать и не переходить, то сайт ничего не заработает. Другой вопрос если они за показы берут, но тут думаю все норм т.к. код все равно прогружается, а уже потом блочится адблоком. Так что, думаю все норм.
Мне вообще не нравится когда пытаются навязать свои товары.
Если что то надо, я это ищу и вот только тогда я обращаю внимание на рекламу а не наоборот.
ghostery тоже поставить можно.
Ghostery отслеживает «невидимую» сторону интернета, где работают шпионы, сетевые жучки, пиксели и маяки, размещенные на сайтах рекламными сетями, поставщиками поведенческой информации, владельцами сайтов и различными компаниями, которые следят за вашей активностью в интернете.
пользуюсь, тема, поддерживаю! Для тех кто не знал владелец сайта скажем инет магазина грубо говоря видит "запись" вашего поведения на сайте потом анализирует и впаривает впаривает....
Оно и есть. И про лицензию правильно сказали - лицензия не может противоречить закону. Закону данной страны. Если в стране производителе такого нет, он сможет.
Во франции в ближайший год выпустили закон, в случае намеренного ухудшения товара в целях обогащения на других жителях, на фирму налагается неподъёмный штраф и начинается анал-карнавал.
Я вроде читал что подобный закон серьезно рассматривают во всем евросоюзе. А там, глядишь, и до нашего плебейского снг здравый смысл доберется. Может быть.
На данный момент, кстати, у нас в России один из самых ориентированных на потребителя законов о защите прав потребителя. Просто законы у нас в России соблюдаются... Особенным образом.
Если компания хочет официально продавать свои товары на территории какой-либо страны - она должна следовать законам этой страны.
В противном случае что будет? Товары запретят? Ну запрети сони на территории России. Любители приставок и компов начнут выжигать огнём своё имя на стуле.
Кстати говоря, о потерях крупных рынков и принтерах:
https://market.yandex.ru/product/8527163?hid=138608
Уникальное устройство :) Продаётся только на территории СНГ, Украины и Грузии.
Замечательный эксперимент, живописующий степень наплевательства среднестатистического юзера на вышедший из-под пера юристов заковыристый сопроводительный документ, провела компания PC Pitstop. Программисты вставили в текст лицензионного соглашения одного из своих продуктов (PC Pitstop Optimize) обещание… выплатить денежное поощрение тому, кто пришлет письмо на определенный адрес. Прошло четыре месяца, за которые с сайта компании было скачано более трех тысяч копий программы, прежде чем отыскался первый (и пока единственный!) любознательный юзер, не поленившийся прочесть EULA и вознагражденный за этот подвиг чеком на тысячу долларов.
Ещё в начале 90-х такую приколюшку сделала компания ID, пописав в лицензионном соглашении (на одной из последних страниц) к знаменитой DooM 2- телефон, первый дозвонившийся по которому получает 100 долларов. Звонок состоялся 9 лет спустя...
Ой вэй, что тут такого если гои добавили изгаильскую локализацию лишь спустя девять лет. Ми всегда читаем такие документы. Таки на стол для ханукки начитываем.
а ещё одна компания вставил пункт о продаже души, и вроде тоже предложила денежные средства с несогласным с этим пунктом, и только пару человек нашли этот пункт
Ага, так и представляю: огромный договор с множеством пунктов, в одном из которых сказано:
...
"100.4 Производитель имеет право наебывать пользователя всеми доступными методами, включая, но не ограничиваясь:
- Искусственное программное ограничение количества печатаемых копий на одном комплекте картриджей (независимо от количества оставшегося в картриджах тонера);
- Предохранитель, пережигающийся после 10 000 копий и не позволяющий дальнейшую работу фотобарабана (независимо от его состояния);"
...
"200.1 Производитель имеет право убить пользователя и забрать все его деньги и квартиру"
Рекомендую посмотреть Южный парк серию Человекоайпадоножка (Human CentIPad). Там очень четко об этих соглашениях рассказывают.
Давным-давно на "Пикабу" выкладывали скрин лицензионного соглашения, в котором был пункт типа: "...при наличии вагины пользователь обязан совокупиться с разработчиком данного ПО..."
Помню купил я игру в стиме (когда их еще возвращать нельзя было).
Установил, запустилась. После запуска уже появилось окно с лицензионным сообщением. Прочел его (да, извратился и прочел) и оно мне не понравилось. Был там пункт, в котором говорилось, что не важно, что я игру купил, мне ее не продали, а лишь дали поиграть на время, так сказать в аренду. И могут отозвать обратно если захотят и т.д. и т.п. Ну и как обычно две кнопки - согласен и не согласен. Я нажал на "не согласен". И игра закрылась. При повторном запуске опять же две кнопки. И пока не согласишься - пользоваться не можешь. А денежка уже уплачена и обратно не вернуть.
Вот с таким отношением на самом деле вернул бы. Как недавно в стиме брал игру - поглядел на нее и вернул обратно деньги.
Полная хрень. Т.е. купил принтер (как в данном случае) принес, стал устанавливать. Опаньки лицуха. Отказался. В итоге возможность использования только коробки?
Так делал и мой кот. Он должен был прочитать этот злосчастный пункт про кошачью шаурму. Бедный сукин сын...
понимаю, обидно когда производитель кладет на законы и тупо тянет деньги из потребителя любой страны
Хм, ну у меня как раз эпсон. Вроде такого не было, печатал всегда. Не, было что зеленым только печатало, но там брат с настройками что-то сделал и все.
Мне лень..) И зная какие у меня отношения с компьютером - это еще и опасно для самого компьютера)
Тебе повезло, что принтер из старого поколения - с новым такой гемор.... На него пока сломают прошивку - дочерта времени пройдет, ибо шли криптозащищенные они
там только оригинальный фотик бледнить начинает после 2-3 заправки. А так косяков не замеченно с ним)
Спасибо мил человек, я так на CLP 325 барабан поменял (на халяву правда), но там было видимое повреждение. А 365 в штате у меня тоже есть. Буду применять полученные знания.
А при чём тут софт? О принтере же речь? На сам принтер и его комплектующие никакие лицензионные соглашения распространяться не могут, так как это не интеллектуальная собственность.
Автор, если хочешь дешевой раходки, забудь про самсунги и ксероксы. У HP, например, нет никакой защиты от заправки. Стоят, конечно, 1-wire чипы, но принтер только предупреждение выдаёт. Ресурс фотиков такой же, как у самсунга, только термопленка в печке - расходный материал.
У многих моделей HP при израсходованном ресурсе чипа аппарат перестает калиброваться и врет цвета.
В некоторых случаях шьется принтер, в некоторых - чипы. Если чип с криптозащитой, его зачастую проще поменять и переклеить.
Чипы на коржах с криптозащитой, но в печке более надежный тефлоновый вал по отношению к HP/Canon с их термопленкой. И коротроны в коржах меньше из строя выходят. Ах да, я веган юрист.
с каких пор коржи стали отличаться от гнусмасов?
внутри одно говно, отличие в корпусах и в прошивках. и коржи не дружат с маками, поэтому в топку
ну конечно... то-то мой HPшник выдает мне, что у него кончилась краска, при этом из картриджа спустя пол года простоя она начинает капать тоннами (да, я не отрицаю, что это тоже проблема картриджа. Но факт остается фактом - говорит одно, на деле другое).
Термопленка, фотобарабаны и дозирующие лезвия в струйниках вообще-то не существуют. И пост перечитайте, автор от струйников избавился, пост о лазерниках.
гуглится легко по "прошивка clp365"
я это 2 года назад делал за деньги. как знать, может тот сайт уже не работает
Странно, почему их до сих пор не засудили по самые помидоры.
Потому что он поставляется в те страны, в которых не запрещено планируемое устаревание. Ваш К.О.
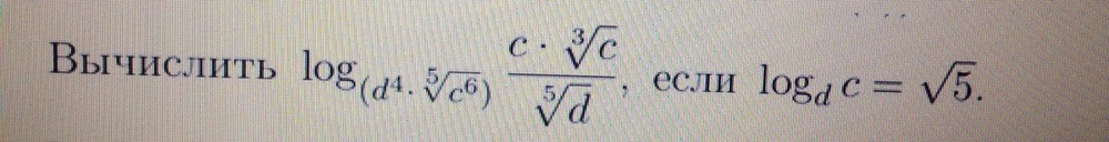
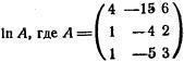
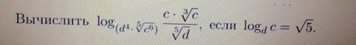
Слыш, пацанчик, давай померяемся, кто круче логарифмы решает. Чему равен логарифм от матрицы на картинке? (без наёбок, задание из учебника)
Сначала подумал, что логарифмы нельзя брать от матрицы. Т.е. операция бессмысленна, как и экспонента от бублика. Потом погуглил, и нашел, что есть матричные экспоненты, т.е. e^A, где А -- матрица. Значит и должен быть натуральный логарифм матрицы. Жесть, что курят математики.
Если бы ты не пинал хуи в универе а учился то подобных открытий для тебя было бы намного меньше. Ну экспоненты так экспоненты, раз логарифмы не осилил. Вот тебе самые простые матричные экспоненты из того же учебника, попробуй вычислить:
-----------------------------------------
А с чего ты вообще взял, что во всех универах проходят этот материал? Или что я вообще учился в универе? Или что я уже это проходил? Зачем грубить сразу? И нафига мне это вычислять, тем более, если я не знаю, как это делается?
Жесть, что курят математики.
А что тебя удивляет?
Всё можно, если определить эту операцию.
Что будет при извлечении корня из отрицательного числа? А при умножении вектора на вектор? Или делении на вектор или на ноль?
Меня удивляет, до чего может дойти научная мысль. Наверное те, кто с этим постоянно работает, уже давно этому не удивляются, но я узнал сегодня об этом впервые и был очень удивлен. Точно так же древний человек удивится, когда узнает, что Земля круглая.
На ноль делить нельзя -- эта операция не определена. Да и на вектор вроде тоже.
"посчитать матрицу" на быдложаргоне студентов - это найти определитель, ты не в курсе? нет, блять, реально, и не найти там жорданову форму, не найти обратную, не перемножить их даже, а найти определитель. не удивлюсь, что он(а)(о) думает, что я это спрашиваю.
Когда мы их только проходили, и я могла их решать. Сейчас - надо подумать и вспомнить вообще, что тут делать надо. Если в данный момент вы их не изучаете, не являетесь любителем математики или преподавателем, то сходу решить будет крайне сложно)
На всякий случай, для тех кто называет вычисление определителя "считанием матрицы" напоминаю - в моём вопросе нет определителя и прямых линий его обозначающих, там стоит самая настоящая матрица! поскольку ты слишком тупа чтобы осилить сущность данного вопроса и всё равно его не осилишь как ни старайся, я даже уточню - мой вопрос подразумевает разложение функции логарифма в многочлен в виде ряда тейлора и нахождение суммы данного ряда (или эквивалентный способ), а не нахождение определителя представленной матрицы и вычисление его логарифма!
Ну в США за такие проделки можно получить много денег в качестве компенсации как потребителям, так и государству (штрафы). Видимо просто никто еще этим не заморачивался.
Наоборот. Недавно читал новость, что лексмарк подала в суд на компанию, которая занималась восстановлением картриджей. По-большей части выиграли за ввоз использованных картриджей из других регионов.
В США есть закон, по которому запрещается можно пользоваться только восстановленными и оригинальными катриджами. Китайскими запрещенно. Знаю, ибо общался с представителем компании Static Control в Ростове(представитель был из USA)
Ну вообще-то у нас нет законов такое запрещающее, как и в большинстве стран мира. А вот во Франции вводят законы, что бы компании делали свою технику на наивысшем уровне (короче как в СССР), то есть запрещено искусственное снижение срока годности, там и штрафы могут нехилые впаять за такое. А на счет принтера: та же херня, вот только руки у меня не из жопы по технической части, а вот с поиском нужной информации (как все исправлять) - проблема...
"на наивысшем уровне (короче как в СССР)"
В ссср всё делали на количество, догоним и перегоним, очковтирательство процветало. Качество никого не интересовало. Сначала экономисты ставят задачу на пятилетку с заделом 5-10%, а потом план выполняют за 4 года. Ну это же бред. Отправляли с конвейера прямиком на свалку.
Я говорю вообще не об этом, как бы в СССР не делали но их приборы и до сих пор отлично работают я про это и еще про то, что теперь производители намерено уменьшают срок службы своего товара, что б оно быстрей выходило из строя и народ покупал более новые модели - я это имел в виду
Они могут списать на то что мы мол после этого периода не гарантируем хорошее качество печати, потому меняйте барабан.
Извиняй что ответил на коммент 2х годичной давности, но на пост кинули ссылку.
и после этого барабан работает еще 2 года без потери качества
запланированное устаревание во всей красе
ИМХО они отбрехаются тем, что они ограничили ГАРАНТИРОВАННО хорошее качество, типо делали исследования и после 1500 листов для картриджа и 15к для барабана падает качество на 0,03%. Компание считает падение качества неприемлемо и для сохранение имиджа компании были ВЫНУЖДЕНЫ сделать такое ограничение.
Потому что надзирающие за этим органы подчиняются государственности, которая прямо заинтересована в действующей промышленности и наличию рынка сбыта произведенного этой промышленностью. Непрерывный поток продаж комплектующих, подразумевает непрерывные налоговые отчисления за их производство и продажу, и наличие рабочих мест производящих, логистов и продавцов. Семимильными шагами такими же становятся и автомобили. Ну а если на это глянуть издали, то понятно, что человечество гораздо быстрее чем могло бы, переваривает ресурсы планеты.
Забавно сегодня идет тренд что любое преступление можно оправдать "в целями безопасности"
мы будем контролировать ваш трафик "в целях безопастности" мы поставим в ваши айфоны прослушку "в целях безопастности" мы запланируем износ вашей техники "в целях безопастности" любой коп может на улице расстрелять толпу людей "в целях безопастности"
Конечно, вдруг у вас есть достаточные основания считать, что банк этими деньгами будет мошеннические действия совершать или терроризм спонсировать?
Таким образом можно считать ограбление банка - самообороной!
Пойду защищусь от парочки банков, кто со мной?)
как говорил Бенджамин Франклин (умный мужик) - "Кто готов поступиться свободой ради безопасности, не получит ни того, ни другого"
Откроет врата в ад, от туда придет Люцифер и выебет пользователя в жопу. Ибо упущенная прибыль производителя его расстраивает.
Сие действо не подходит под "в целях безопасности". Пользователь, посредством наказания" получает слишком много артефактов: ВПЧ, ВИЧ. Да, и Люцифер не мальчик на побегушках.
Ещё один поборник законов. Ты в расии живешь тут нет законов. Это страна рабов и ишачить они будут от зари до зари, при этом визжать от восторга, что у нас есть тополя и мы американцев в говно сотрем.
Даже в советское время искусственно занижали, а сейчас тем более. Дед работал главным инженером, так один раз и пришло требование к уменьшению срока службы товаров, ибо при таком длительном сроке использования возможны простои производства. А сейчас то тем более.
Как уже сказали: все прелести описаны в соглашении, а значит, что наёбывают вас по вашему же согласию.
Другое дело - когда вместо того, чтобы сделать долговечный принтер и взять за него много шекелей, но при этом люди будут его покупать потому, что он надёжный и выгоднее других, производитель выбирает гляпать каждый день по 100 дешевых принтеров и навариваться на хомячках.
Эппл, например, выпускает Айфоны по 60К рублей и их покупают, потому что это действительно годные смартфоны.
А алкатель, падла, выпускает либо говнокалькулятор за 800, либо уже более-менее телефон на уровне нокии 3310 - но уже за 1500р.
пф Наивный
По такому принципу 95% современной электроники делают
Смартфон за 10 баксов может отличаться от смартфона за 50 только наличием внутри ограничивающей перемычки
По крайней мере в Великобритании есть: https://ru.wikipedia.org/wiki/%D0%9F%D0%BB%D0%B0%D0%BD%D0%B8...
Насчет России не знаю, но наверняка можно как-то подвернуть это под какой-нибудь закон. Вообще, у нас дума в последнее время постоянно придумывает всякие дурацкие законы, почему бы ей не придумать закон на этот случай с картриджами?













