Продолжение поста «Приколы от ВТБ»1
Итак, визит в банк нанесён. Не без приколов. Счёт по номеру посмотрели, с фио в паспорте сравнили - да, мой. Называется мастер-счёт, как пикабушники и говорили. Но почему мастер-счёт сам собою открылся за неделю до закрытия карточного счёта - загадка.
Далее сотрудница банка попросила подтвердить номер телефона кодом (ну ок) и сделать моё фото (а вот это не ок). На вопрос насчёт биометрии меня заверили, что это не оно. Звучит сомнительно, но без этого вроде как в карточку клиента вообще не попасть, система не пускает (ещё более сомнительно, но кто ж их знает). Будем отслеживать этот вопрос с помощью госуслуг, на сегодня биометрия там не зарегистрирована в принципе.
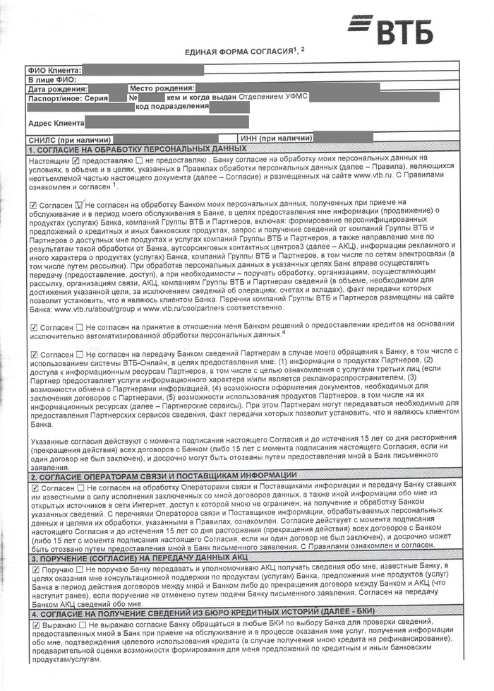
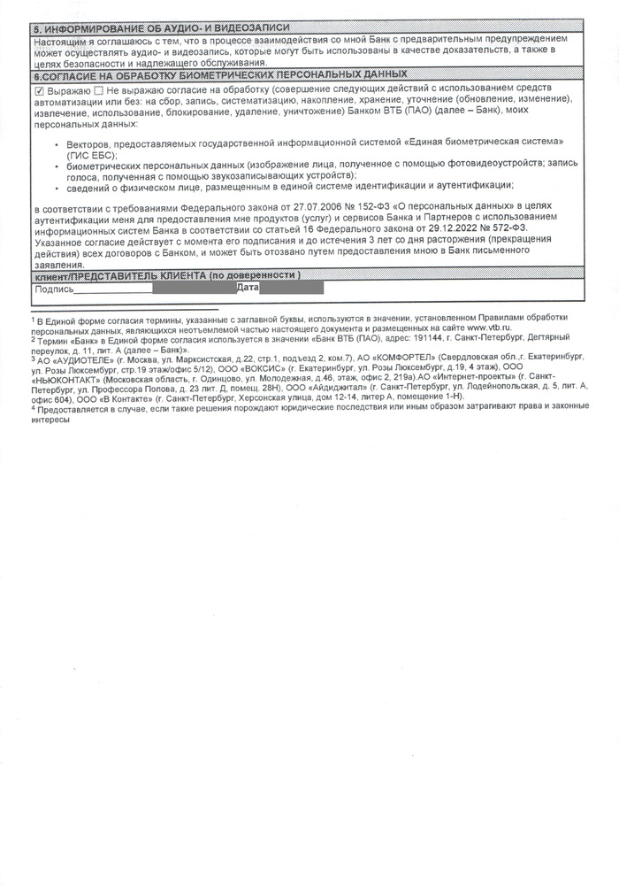
После этого нужно подписать форму согласия на обработку персональных данных. Распечатывают листы со всеми галочками в виде "согласен". Причём нельзя просто согласиться на минимальную обработку - надо и на рекламу, и на биометрию (помним про фото, да?). Как объясняет операционистка, у неё нет возможности убрать галочки совсем или переставить в одном месте, а может она только либо ткнуть переключатель в положение "на всё согласен, включая анальные изнасилования по пятницам", либо "не согласен ни на что, сожгите все бумаги и выколите себе глаза". Не знаю, правда ли ВТБ так ограничил возможности рядовых сотрудников, или просто премию не выплатит в случае чего. Саму форму прикреплю.
Ладно, подписываем согласия. Потому что иначе с моими документами работать отказываются и счёт не закроют. И вроде бы все мы знаем, что проставлять галочки за клиента не здорово, и уж тем более их навязывать, но без них тебя просто посылают: или по-нашему, или никак. В такие моменты чувствуешь себя идиотом: ты знаешь, что это неправильно, но сделать ничего не можешь. Или теоретически можешь, но не представляешь, как надо исхитриться (кто знает, чего посоветовать на эту тему - велкам в комменты).
Заявление о расторжении договора комплексного обслуживания написано, мой экземпляр мне случайно попытались забыть отдать. Ну, может правда случайно, а это я собака-подозревака. Ну ничего, я напоминаю и забираю.
Потом мы заново подписали ту же самую единую форму согласия, но уже с отказами во всех местах. Не очень доверяю такой схеме (в одну дату и согласие, и отказ, кто там будет разбираться, что было раньше - яйцо или курица), поэтому планирую дополнительно письмецо им закинуть заказное с описью по поводу отзыва персональных данных.
На сайте налоговой закрытие счёта ещё не отобразилось, будем мониторить этот вопрос тоже
Как я вечером стал детективом и чуть не поругался с друзьями (в хорошем смысле)




Недавно у нас с друзьями случился странный, но очень крутой вечер. Собрались поиграть во что-нибудь. У кого-то была новая настольная игра с документами про убийство в театре. Звучит уже интересно, да?
Игра называется «Заговоры закулисья» — от российских авторов, но оформлена так, будто ты наткнулся на настоящее уголовное дело. Там нет фишек, полей или кубиков. Есть только различные отчёты, переписки, фотографии, газеты и много всего всякого.
Сюжет
Сюжет — смерть режиссёра. И сразу понятно, что всё не так просто. Прямо с первых минут начинается: «Так, а почему она солгала про время?», «А вот этот вообще странный тип…». Короче, мы втянулись моментально.
Каждый сидит, читает, строит версии. Спорим, потом снова читаем. Один друг сказал: «Так это же как в подкастах про настоящие убийства, только ты сам копаешься». И да, ощущения именно такие.
В какой-то момент я вообще забыл, что это игра. Ощущалось как реальное дело, где нужно докопаться до правды. Финал, кстати, удивил. Не спойлерю, но было очень satisfying.
Плюсы:
- всё на бумаге, никакого телефона не нужно (если хотите ещё больше атмосферы, то есть телеграм-бот, сайт театра, ...)
- атмосферно, прям живёшь в этой истории
- реально нужно думать и сопоставлять факты
- ощущение настоящего расследования
Минусы:
- не для тех, кто не любит читать
- один кейс = один раз сыграли (но это как с хорошей книгой)
Мнение
Короче, если у вас есть друзья, которые любят «покопаться» и порешать загадки — очень советую. Это лучший вечер за долгое время.
Кто-нибудь ещё играл? Интересно, к какому выводу вы пришли 😄




