Горячее
Лучшее
Свежее
Подписки
Сообщества
Блоги
Эксперты
Войти
Забыли пароль?
или продолжите с
Создать аккаунт
Регистрируясь, я даю согласие на обработку данных и условия почтовых рассылок.
или
Восстановление пароля
Восстановление пароля
Получить код в Telegram
Войти с Яндекс ID Войти через VK ID
ПромокодыРаботаКурсыРекламаИгрыПополнение Steam
Пикабу Игры +1000 бесплатных онлайн игр Погрузись в удивительный мир настоящей рыбалки! Лови живую рыбу в естественных водоёмах, открой для себя новые рыбные места и поймай свой долгожданный трофей!

Реальная рыбалка

Симуляторы, Мультиплеер, Спорт

Играть

Топ прошлой недели

  • AlexKud AlexKud 35 постов
  • Animalrescueed Animalrescueed 52 поста
  • Webstrannik1 Webstrannik1 50 постов
Посмотреть весь топ

Лучшие посты недели

Рассылка Пикабу: отправляем самые рейтинговые материалы за 7 дней 🔥

Нажимая «Подписаться», я даю согласие на обработку данных и условия почтовых рассылок.

Спасибо, что подписались!
Пожалуйста, проверьте почту 😊

Помощь Кодекс Пикабу Команда Пикабу Моб. приложение
Правила соцсети О рекомендациях О компании
Промокоды Биг Гик Промокоды Lamoda Промокоды МВидео Промокоды Яндекс Маркет Промокоды Пятерочка Промокоды Aroma Butik Промокоды Яндекс Путешествия Постила Футбол сегодня
0 просмотренных постов скрыто
856
edmus
edmus
3 года назад
Лига Физиков

Ответ на пост «Квант времени»⁠⁠2

Автор какую-то ерунду пишет. Никакое планковское время не неделимый квант времени. Существует три фундаментальные постоянные: скорость света с, гравитационная постоянная G, постоянная планка h. Эти три связаны с фундаментальными теориями: специальной теорией относительности, общей теорией относительности и квантовой теорией соответственно.


Сравнивая масштаб явлений, измеряемый на эксперименте, с этими постоянными или их комбинациями, можем понять, какая теория необходима для описания эксперимента. Например, если скорости в системе сравнимы со скоростью света, то нужно использовать СТО. Если гравитационную постоянную G нельзя считать малой, используем ОТО. Тут немного сложнее и все зависит от размеров системы, ее масс, времени эволюции и т.п.


Есть критерий необходимости использования квантовой теории. Это когда т.н. действие системы, специальным образом рассчитываемая величина, сравнима с постоянной Планка. В простейшем случае действие -- это разница кинетической и потенциальной энергии, интегрированная по траектории частицы. Совсем уже на пальцах можно сравнивать величину E*T c h, где E -- характерная энергия системы, T -- время эволюции системы.


На сегодня полноценная теория, которая учитывает одновременно релятивистские эффекты, гравитацию и квантовые эффекты не известна, однако есть много кандидатов. Возникает вопрос: на каком масштабе энергий или размеров мы обязаны перейти к такой теории? Вообще говоря, ответить на него однозначно нельзя, поскольку ниоткуда не следует, что обычная квантовая теория поля плюс классическая гравитация не должны работать вообще всегда. Однако же, они не работают и ломаются именно на расстояниях порядка длины Планка. Причем важно, что это связано именно со свойствами теории, а не волшебными свойствами постоянной Планка. Это именно следствие нашего описания реальности и нашего выбора переменных для ее описания.


Планковские длина, масса, время -- это просто комбинации из h, G, c размерности метр, килограмм и секунда соответственно. А на этих размерах теория ломается просто потому, что возникают определенные парадоксы. Например, информационный парадокс черных дыр из-за невозможности самосогласованного описания эффектов взаимодействия классической черной дыры и квантованного поля. С одной стороны получается, что должно быть термальное излучение Хоккинга, с другой стороны классическая черная дыра излучать не может (это сильно упрощенное понимание). Или эффекты в ранней Вселенной, когда плотность была такова, что гравитация очень большая и действие одновременно маленькое по сравнению с h из-за малых времен.


Наконец, квантовая теория, вообще говоря, не о том, что что-то квантуется или становится дискретным, это лишь частное проявление ее законов для связанных систем. Она про описание реальности в других, более правильных, терминах. Не в терминах скоростей и координат, а в терминах плотностей вероятности.

Показать полностью
Физика Научпоп Картинка с текстом Время Квант Длиннопост Ответ на пост Текст
188
3332
Phy6
Phy6
3 года назад

Квант времени⁠⁠2

Показать полностью 5
[моё] Физика Научпоп Картинка с текстом Время Квант Длиннопост
197
8
kricam
kricam
3 года назад

Квантовое бессмертие⁠⁠

Недавно узнал о такой штуке, как квантовое бессмертие. Все вы уже наверное знаете о мысленном эксперименте с котом Шрёдингера, поэтому не буду углубляться. Мы не узнаем, жив ли кот, пока мы не открыли коробку и не увидели его своими глазами, он находится в суперпозиции. Согласно этой теории, каждый раз, когда радиоактивный элемент распадается и кот умирает, вселенная разделяется на 2. В одной вселенной кот умирает, в другой он остаётся жив до следующего распада. Так же и с людьми.
Летом я возвращался поздно с работы, очень устал. Навигатор показывает, что через 2 км съезд с шоссе, и это последнее что я помню. Я засыпаю и внезапно меня дёргает, смотрю на навигатор, а я уже проехал 3 км с того момента, когда смотрел последний раз. Что, если именно в этот момент я попал в аварию, вселенная разделилась и в одной из вселенной я умер, а в этой до сих пор живу?
Я много об этом думал. Что, если каждый человек особенный и вселенная начнет крутиться рано или поздно вокруг него, если каждый бессмертен? К примеру, вы болеете страшной болезнью, пытаетесь бороться с ней или забиваете на нее вовсе, не суть. Для других вы либо умираете, либо ваши вселенные совпадают и вы сосуществуете вместе до определенного времени. В свою очередь, для вас, вы побеждаете болезнь и доживаете до 100 лет, до 120 лет, до 150. Соответственно, понимаете, что что-то идёт не так. Именно в этот момент вы осознаёте, что ваша вселенная, все люди крутятся вокруг вас. Для других людей в вашей вселенной это не нормально, что один человек живёт уже 200 лет и никак не уйдет из жизни, поэтому вы для них особенный только в вашей вселенной. А теперь представьте, сколько должно быть вселенных, чтобы у каждого была своя в разные периоды времени.
Не скажу, что я сторонник этой теории, мне просто интересно мнение других людей посчет этого. Пишите ваше мнение по устройству мира, или же ваши случаи, когда вы были на волоске от смерти, но вы ее чудом избежали. Задавайте уточняющие вопросы, которые появляются в процессе прочтения, попытаюсь раскрыть тему более шире.

Показать полностью
Философия Квант Квантовое бессмертие Мироустройство Кот Шредингера Текст
48
270
shebuk
shebuk
4 года назад

Таймлайн: квантовый компьютер⁠⁠

Таймлайн: квантовый компьютер
Показать полностью 1
[моё] Квантовый компьютер Квант Квантовая физика Физика Длиннопост
76
36
Mercury13
4 года назад

Физики шутят: Палеонтология и Карлсон⁠⁠

Раз уж пошла такая пьянка, напишу знаменитую копипасту.

Евгений Соколов. Палеонтология и Карлсон. // Квант, 1997, №4, с.14–15

Пожалуйста, не воспринимайте всерьёз — а формулы, если вы их не понимаете, просто пропустите.

Палеонтология — замечательная наука. По одному зубу она может восстановить внешний вид динозавра. Давайте и мы попробуем свои силы на этом поприще. Поставим себя на место палеонтологов будущего и постараемся восстановить внешний вид какого-нибудь всем нам хорошо известного существа. Ну например, Карлсона, который живёт на крыше.

Ограничимся минимум заранее известных фактов. Будем считать, что легенды седой старины донесли до нас лишь упоминания о неком живом существе, живущем на крышах домов, перемещающемся в пространстве с помощью воздушного винта и питающемся исключительно малиновым вареньем. В качестве «археологической находки», с которой мы начнём свои построения, возьмём обрывок страницы со словами «Я — мужчина в самом расцвете сил».

Итак, начинаем.


Что же у нас есть? У нас есть уже два числа. Действительно, слова «мужчина в самом расцвете сил» позволяют оценить массу Карлсона как m = 70 кг. С другой стороны, способность пролетать в слуховые окна крыш ограничивает размер винта, поэтому оценим радиус винта как R = 0,2 м.

Исследуем теперь физические характеристики Карлсона как летательного аппарата. Прежде всего найдём скорость воздушной струи, создаваемой пропеллером. Для оценки ограничимся случаем, когда объект неподвижно висит в воздухе. Рассматривая воздух и Карлсона как единую систему, запишем для них второй закон Ньютона в виде

Изменение импульса неподвижного Карлсона равно нулю, а изменение импульса воздуха составляет Δm·v, где Δm = ρvSΔt — масса воздуха, вовлекаемого в движение за время Δt, ρ = 13 кг/м³ — плотность воздуха. Поэтому можем записать


ρvSΔt = mgΔt,


откуда получаем скорость воздушного потока:

Это очень приличная скорость — почти 240 км/ч, т.е. скорость небольшого самолёта. А самолёт должен иметь обтекаемую форму. Отсюда второй вывод — туловище Карлсона имеет обтекаемую форму и малое лобовое сопротивление.

Обсудим затем энергетику Карлсона как тепловой машины. Развиваемую им механическую мощность оценим следующим образом. Ежесекундно им вовлекается в движение масса воздуха ρvS и ей придаётся скорость v, следовательно механическая мощность составляет

Итак, по развиваемой мощности Карлсон не уступает «Запорожцу». Для оценки полной мощности Карлсона (количества теплоты, выделяющейся в нём в единицу времени за счёт «сжигания» пищи) примем его КПД равным 30%. Тогда

Это существенно превышает не только среднюю мощность банковского служащего: 2700 ккал/сут = 131 Вт, но и мощность металлурга: 3600 ккал/сут = 175 Вт. Поэтому совсем неудивительно, что отголоски об этом удивительном существе дошли до нас через тысячелетия.


Новые уровни мощности — новые схемы систем жизнеобеспечения. На очереди — организация системы дыхания. Вначале один пример. Когда обычный мужчина «в расцвете лет» взбегает на пятый этаж за 20 секунд, он развивает механическую мощность 700 Вт. При этом частота дыхания у него возрастает до 1 вдоха в секунду, и, с учётом, того, что за один вдох он вдыхает 1,5 литра воздуха, потребление воздуха у него составляет 90 л/мин. В пересчёте на механическую мощность Карлсона получим, что потребность Карлсона в воздухе равна


Q = 50 л/c = 3 м³/мин.


Обычная система дыхания не годится. Несомненно, в этом случае природа выбрала проточную систему дыхания. Так что Карлсон — это трубка. Расчёт показывает, что для поддержания необходимого воздухоснабжения внутренний радиус трубки r должен составлять 1,5 см.

Не менее остра для Карлсона и проблема теплоотвода. Ведь тепловая мощность, которую необходимо отводить, равна

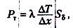
Вряд ли Карлсон светился как лампочка, поэтому на отвод тепла в виде излучения рассчитывать не приходится. Остаётся обычная теплопроводность. А это означает, что Карлсон — тонкостенная трубка с большой боковой поверхностью. Найдём толщину стенок трубки δ и её длину L. Для этого приравняем тепловую мощность тепловому потоку, идущему за счёт теплопроводности из внутренних областей наружу:

где λ — коэффициент теплопроводности воды (Карлсон, как и все живые существа, должен состоять в основном из воды), ΔT = 24 К — разность внутренней температуры, которая никак не больше 42 °С, и наружной, которую примем равной 18 °С, Δx = δ/2, Sδ = 2·2π·rL — общая площадь внешней и внутренней поверхностей. Это уравнение совместно с выражением для полной массы Карлсона


m = ρ(воды) · 2π·rδL


даёт: δ = 8,3 мм, L = 30 м.


Длина великовата. Выход один: Карлсон — это громадный слоистый радиатор.

И последняя проблема — питание. Калорийность малинового варенья q = 3.5 ккал/г, поэтому скорость его потребления равна

Двух рук здесь маловато. А что, если в результате эволюции каждый палец превратился в чайную ложку? Никаким известным законам это не противоречит. Так что это последний штрих к образу легендарного Карлсона.

Наши изыскания в области палеонтологии закончены. И если созданный нами образ, возможно, не очень похож на персонаж Астрид Линдгрен, то давайте учтём, что у сказок свои законы.

Показать полностью 12
Карлсон Палеонтология Профессиональный юмор Квант Физики шутят Длиннопост Копипаста
8
495
Tech.spiritus
Tech.spiritus
4 года назад

Журналы для увлеченного технаря⁠⁠

Журналы переживают не самый лучший период времени, но я до сих пор покупаю и читаю журналы. Этот пост я пишу ради комментариев, которые, я уверен, будут информативнее самого поста.


Почему журналы?

Сейчас в интернете полно информации – соцсети, паблики по интересам, блогеры. На хабре, на пикабу, в ЖЖ можно найти много разного интересного, но у журнала есть одно важное преимущество – есть редактор. Именно редактор, как садовник отбирает материал и несет ответственность за качество материала. Я надеюсь, что именно редактор не пропустит псевдонаучный, фейковый, ошибочный материал. А это особенно важно, если материал из области, в которой я неофит.


Журнал – периодичный и коллективный, что позволяет держать ритм и тонус, в отличии от блогеров. В моем RSS агрегаторе много различных авторов, но они пишут или по настроению, или начинают халтурить, ради периодичности.


Зачем мне журналы?

Я технарь до мозга костей, и я человек увлекающийся. Я хочу расширять свой кругозор, узнавать новое за пределами узкой специальности. И был бы очень рад, если бы для меня “на блюдечке” приносили регулярно новую, систематизированную, подготовленную для легкого усвоения информацию. А проблема в том, что запрос звучит как “хочу не знаю что, удивите меня”. Откуда мне было знать о применении математики в азартных играх, пока я случайно про это не прочитал?) Или про историю примусостроения? В общем хочется иметь канал, который бы регулярно поставлял информацию для расширения кругозора, чтобы иметь понимание куда копать. И прям очень хочется, чтобы журнал не считал своего читателя за дурака и не стеснялся хардкорного физмата.


Помянем павших.

Как я уже сказал, для журналов не лучшие времена. Наиболее близкий к моим запросам был журнал “компьютерра”. Если отсеять “компьютерные” рубрики, то для меня были отдушиной темы номера, которые менялись. Именно из компьютерры например я узнал о тестах на IQ и ошибках в них (№21 2008). С удовольствием читал колонки “бёрда киви” по информационной безопасности. Будучи студентом я раз в неделю покупал свежий номер в киоске, стоил он не дорого и прочитывался за вечер.


Но увы, это последний номер журнала, журнал закрылся в 2009 году:

Сайт https://www.computerra.ru/ к журналу отношения не имеет.


С тех пор у меня ломка, с тех пор я в поисках заменителя. Ниже я хочу поделиться тем, что я для себя нашел с моим, сугубо субъективным оценочным суждением.


Популярная механика

Этот журнал я тоже покупал на регулярной основе, он ЕМНИП выходил раз в месяц. Журнал поверхностный, но вроде как про технику. Я еще про себя ругался, что DIY cлишком простой и вообще главный редактор (тогда был Апресов) мог бы поднимать уровень журнала. Но как я ошибался! Когда главным редактором стал Грек – журнал скатился в такое дерьмо, что умер для меня окончательно и я перестал его покупать. (Перед публикацией этого поста я скачал и посмотрел свежий номер – без изменений) Журнал стал слишком гламурным – мне интереснее блин какой марки осциллограф на столе разработчика, чем какой фирмы на нем штаны и жилетка.


Сайт журнала https://www.popmech.ru/


Химия и жизнь

Это журнал живой с советского времени, и по междисциплинарности он наиболее близок к тому, что я ищу. Журнал хорош довольно высокой планкой качества (авторы часто кандидаты и доктора наук), не стесняется формул. Именно в Химии и жизни я прочитал про использование пленки в лечении ожогов. В общем моя самая горячая рекомендация.

Сайт журнала: https://hij.ru/


Квант

Этот журнал тоже выходит с советского времени и посвящен математике (и физике). Относительно недавно он чуть не умер, но судя по всему проблемы устранены и журнал снова выходит периодически. Я какое-то время получал его в бумажном виде.

И на мой взгляд, гораздо интереснее “библиотечка квант” – книги, которые издавались в дополнение к журналу. На книги стоит обратить внимание. Так именно благодаря книжке Полищука “Как исследуют вещества” 1989 года узнал про методы анализа веществ, про хроматографию, спектроскопию и другие способы.

Сайт журнала: http://kvant.mccme.ru/


Кот Шрёдингера

Журнал, похоже чувствует себя не очень хорошо, с полок Ашана пропал. Позиционирвоал себя как научно-популярное издание, но мне показался чрезчур нацеленным на детскую аудиторию, и что называется “не зашел”, хотя в общем то выбор не так велик. Но однозначно стоит посмотреть.

Сайт журнала: https://kot.sh


Наука и жизнь

Издается еще с дореволюционной эпохи (ну или с 1934, это как со сбербанком – как выгоднее), и я уверен, в представлении не нуждается – каждый ребенком видел подшивки этого журнала. Журнал испытывает не самые лучшие времена, судя по прайсу на размещение рекламы в самом журнале. Из всех журналов он наиболее полно сохраняет стиль и структуру издания советского времени. Кто то назовет это традицией, а кто-то отсталостью. Я помню еще ребенком листал журнал, особенно цветные полосы вклейки. Именно из этого журнала я узнал об атомной силовой микроскопии, оптоволоконные системы связи, причинах чернобыльской аварии и многое другое.


Сайт журнала: https://www.nkj.ru/


Химия и химики

Это очень интересное явление – цифровой журнал, полностью издаваемый вот уже более 10 лет увлеченными химиками. Дизайн вырвиглазный, но все, что делается не ради денег, а на энтузиазме заслуживает внимания.


Есть правда ложка дегтя, Роскомнадзор заблокировал доступ к сайту, поэтому придется проявлять изобретательность. А все из-за одной статьи, в которой [удалено по требованию Роскомнадзора] Причем там не было [удалено по требованию Роскомнадзора]. Автор принципиально не стал удалять спорную статью, так что сайт теперь под блокировками.

Сайт журнала: chemistry-chemists.com


Уральский следопыт

Этот журнал не про технику, но про краеведение. Существует с советского времени, но пока жив и издается. Так как живу и работаю на Урале, то лично для меня журнал интересен.

Сайт журнала: https://www.uralstalker.com/


Аттракционы и развлечения


Обзор я решил закончить отраслевым журналом. Так как я работаю в этой сфере – то одним глазом, через журнал, поглядываю за тем, что происходит в отрасли. Такие отраслевые журналы часто для неспециалистов скука смертная (впрочем для специалистов часто тоже) но важны для развития отрасли. Только объединяясь, можно доносить до власти проблемы отрасли.

Сайт журнала: https://raapa.ru/journal/


Йо-хо-хо и торренты.

Меня радует открытость информации в интернете, и я отдаю должное всем, кто вопреки законам, делает информацию открытой – это и sci-hub и Libgen и куча других мест, где мне удается раздобыть информацию не переходя с пельменей на доширак. Но одно дело, когда без 30$ остается вконец охамевшее издательство, а другое дело, когда без денег остается едва сводящее концы с концами издательство отличного журнала. Поэтому я считаю, что если есть возможность – стоит на сайте издания оформить подписку, просто ради поддержки рублем хорошего дела.


А какие интересные издания, выходящие по настоящее время, вы бы могли порекомендовать?

---------------

Для вас работает инженер Павел Серков. У меня есть сайт https://serkov.su/blog/

А еще инстаграм: https://www.instagram.com/pavel.serkov/

И, экспериментально - телеграм, для тех, кто до сих пор не пользуется RSS: t.me/serkov_me

Показать полностью 9
[моё] Рекомендации Журнал Химия и жизнь Наука и жизнь Популярная механика Квант Длиннопост
55
SirCatCat
4 года назад
Сообщество поэтов

Квант⁠⁠

Материя времени - неумолима.
В сравнении с вечностью, жизни-то, нет.
Собрались в нас атомы, для жизни счастливой,
Чтоб, хоть на секунду, упростить момент.

Вчера были камнем, затем кислородом,
А завтра, нас мама вдохнет.
Ещё лишь момент, и вот уже вскоре,
По жизни, Человек, побредет.

Затем распадется, миллиардом частичек,
И вот, даже, как-бы, совсем и не жил.
Успел отпечаток, на осколки событий,
Хоть, мыслью-квантом, но наложил.

А времени, совсем мало,
И миллиард лет, секунда наперечет.
Течёт мысль-квант, по эфирам канала.
Кто смотрит эфир, нас не поймёт.

Почувствуй, каждое слово,
Материя кванта - жизненный счёт,
Мы - атом начала, а мысли - лишь ноша,
По жизни - за нами идёт.

Чужой груз оставим, чужого не надо.
У каждого груза, хозяин есть свой.
Тяжёлая мысль? Значит не наша,
Оставлю, для тех, кто пройдёт вслед за мной.

Показать полностью
[моё] Квант Абсурд Стихи Атом Мысли Поэзия Текст
13
117
shebuk
shebuk
4 года назад

Петлевая квантовая гравитация: пространство-время, сшитое из кусочков⁠⁠

В конце XX века группа физиков-теоретиков разработала теорию, описывающую пространство-время как квантовый феномен. Наряду с теорией струн теория петлевой квантовой гравитации пытается примирить квантовую механику с гравитацией.

В современной физике есть две теории, невероятно точно описывающие крупномасштабные явления и то, что происходит в микромире: Общая теория относительности и Стандартная модель квантовой механики соответственно. Но насколько бы точной и удивительной каждая из этих двух теорий ни была, они не очень хорошо сотрудничают друг с другом.

Сам Альберт Эйнштейн — автор Общей теории относительности — до конца жизни был занят работой над теорией, которая объединила бы квантовую механику и гравитацию. Как известно, у него ничего не вышло. Многие современные физики-теоретики — от Шона Кэрролла до Брайана Грина — считают, что разработка тестируемой, фальсифицируемой и доказуемой теории квантовой гравитации откроет новые горизонты для науки и поможет ответить на множество вопросов: например, что происходит за горизонтом событий черных дыр?


Среди множества подходов к квантовой гравитации самыми успешными направлениями считаются теория струн и петлевая квантовая гравитация. Если о теории струн знают и о ней говорят, то ее главный конкурент — петлевая квантовая гравитация — пока не получил такой широкой огласки.

Ли Смолин / © Karol Jarolchowski/Polityka

Петлевая квантовая гравитация представляет собой теорию, пытающуюся выразить современную теорию гравитации (то есть Общую теорию относительности, ОТО) в квантованном формате. Подход этой теории заключается в восприятии пространства-времени как чего-то разбитого на дискретные части. Немало ученых рассматривают петлевую квантовую гравитацию как самую органично разработанную, не считая теории струн.


Как появилась теория петлевой квантовой гравитации


Принято считать, что петлевая квантовая гравитация берет начало в 1986 году, когда Абэй Аштекар разработал квантовую формулировку уравнений поля Общей теории относительности. В 1988-м физики Ли Смолин и Карло Ровелли расширили этот подход — и в 1990 году показали, что при помощи него гравитация квантуется и это можно увидеть при помощи спиновых сетей Роджера Пенроуза.

Карло Ровелли на лекции в Риме / © Marco Tambara/Wikipedia


Вкратце: подход к петлевой квантовой гравитации через спиновую сеть показывает пространство-время как набор частей, соединенных друг с другом. Это можно представить в виде точек (или узлов), представляющих части пространства-времени, соединенные линиями. Иначе говоря, пространство-время можно рассматривать как сеть квантовых узлов. Гладкая структура пространства-времени, описываемая ОТО, становится такой, когда вы «отдаляетесь» от квантовых масштабов до достаточно крупных.


К чему приводит петлевая квантовая гравитация


Как и со всей теоретической физикой, исследующей этот вопрос, физика и математика на этом уровне невероятно сложны. Относительно ценности петлевой квантовой гравитации ведется немало споров, особенно если сравнивать ее с другими подходами — вроде той же теории струн.


Петлевая квантовая гравитация достигла успеха в следующем:


1. Квантование трехмерной пространственной геометрии ОТО;


2. Возможность вычислить энтропию черных дыр;


3. Предсказание Большого отскока в момент Большого взрыва вместо бесконечной сингулярности.

Энтропия черной дыры в петлевой квантовой гравитации / © John Baez

Однако пока что это успехи в области математической физики, так как экспериментально они еще не были подтверждены. А в случае с Большим отскоком — об экспериментальных подтверждениях не может быть и речи.


Предсказание, связанное с энтропией черных дыр, считается самым большим достижением теории. Считается, что петлевая квантовая гравитация предоставляет точный способ описания квантовых состояний черной дыры, а также совпадает с предсказаниями об энтропии черных дыр, сделанными Стивеном Хокингом и другими физиками в 1970-х.

Абэй Аштекар во время лекции / © University of Pittsburg


Преимущества петлевой квантовой гравитации


В пользу петлевой квантовой гравитации есть серьезный аргумент. Дело в том, что ее сторонники рассматривают ее как конечную теорию. Другими словами, сама теория петлевой квантовой гравитации не допускает бесконечностей. Один из главных ее исследователей Ли Смолин в своей книге «Неприятности с физикой» описывает конечность теории тремя пунктами:


• Области и объемы в петлевой квантовой гравитации — всегда конечные дискретные единицы;


• В модели петлевой квантовой гравитации Бэрретта — Крейна (пространство-время как квантовая пена) вероятности развития квантовой гравитации в разные истории всегда конечны;


• Включение гравитации в теорию петлевой квантовой гравитации с теорией вещества — вроде Стандартной модели — не содержит бесконечных выражений. Если гравитацию исключить, придется потрудиться, чтобы избежать их.


Проблемы петлевой квантовой гравитации


Многие недостатки петлевой квантовой гравитации — те же, что и у теории струн. Их предсказания чаще всего связаны с явлениями, которые пока что нельзя протестировать (хотя по части петлевой квантовой гравитации возможность испытать ее экспериментально представляется несколько более вероятной, чем в случае с теорией струн).


Кроме того, не понятно, можно ли утверждать, что петлевая квантовая гравитация более фальсифицируема, чем теория струн. Например, открытие суперсимметрии или дополнительных измерений не станет опровержением петлевой квантовой гравитации, как и их отсутствие не докажет ошибочность теории струн.

Кванты пространства в представлении Карло Ровелли / © Carlo Rovelli/Class.Quant.Grav. 28 (2011)


Самая большая проблема петлевой квантовой гравитации заключается в том, что этой теории еще предстоит показать, каким образом можно взять квантованное пространство и извлечь из него гладкое пространство-время. К тому же некоторые критики теории считают сам способ добавления времени в спиновую сеть надуманным.


Квантовая теория пространства-времени в петлевой квантовой гравитации, по сути, — квантовая теория пространства. Спиновая сеть, описанная теорией, не способна включить в себя время.


Некоторые ученые, занимающиеся этой теорией, вроде того же Ли Смолина, считают, что время в итоге станет необходимым и фундаментальным компонентом теории. В то же время Карло Ровелли уверен, что она в итоге покажет, что времени как такового не существует и что, по сути, это возникающий феномен.


Остается запастись терпением и ждать


Некоторые физики-теоретики, включая Брайана Грина и Ли Смолина, высказывали предположение о том, что петлевая квантовая гравитация и теория струн окажутся двумя способами описания одной и той же фундаментальной физической структуры. Ученые надеются, что исследование двух этих областей в итоге поможет разработать более полную фундаментальную теорию, описывающую основополагающую квантовую теорию, которая, в свою очередь, приведет к успешной единой теории поля, способной полностью примирить ОТО со Стандартной моделью квантовой механики.


Источник: Naked Science


Читайте также:

– Что такое квантовая биология;

– С Луны виднее: обзор телескопов лунного базирования;

– Добыча полезных ископаемых на астероидах и спасение Земли.

Показать полностью 6
[моё] Пространство Время Квант Квантовая физика Наука Квантовая теория Большой взрыв Длиннопост
14
Посты не найдены
О нас
О Пикабу Контакты Реклама Сообщить об ошибке Сообщить о нарушении законодательства Отзывы и предложения Новости Пикабу Мобильное приложение RSS
Информация
Помощь Кодекс Пикабу Команда Пикабу Конфиденциальность Правила соцсети О рекомендациях О компании
Наши проекты
Блоги Работа Промокоды Игры Курсы
Партнёры
Промокоды Биг Гик Промокоды Lamoda Промокоды Мвидео Промокоды Яндекс Маркет Промокоды Пятерочка Промокоды Aroma Butik Промокоды Яндекс Путешествия Постила Футбол сегодня
На информационном ресурсе Pikabu.ru применяются рекомендательные технологии