Ученые признали открытие гравитационных волн главным научным событием года, россияне считают иначе
Москва. 29 декабря. ИНТЕРФАКС - Главным научным событием 2016 года ученые назвали открытие гравитационных волн, россияне - открытие бактерий, разлагающих пластик, выяснили телеканал "Наука" и Институт современных медиа (MOMRI), которые провели соответствующие опросы.
"Самым важным по итоговым оценкам россиян оказалось открытие бактерий, перерабатывающих пластик. Это событие было оценено выше других и получило 4,7 баллов по пятибалльной шкале", - сообщается в пресс-релизе телеканала.
На второе место, по итогам опроса, россияне поставили открытие методики редактирования ДНК и РНК – 4,4 балла. На третьем месте рейтинга – добавление новых трансурановых элементов в таблицу Менделеева (4,3 балла). Открытие гравитационных волн заняло 4 место по оценкам россиян. Его значимость оценили на 4,2 балла из 5 возможных.
Кроме того, исследование показало, что уровень информированности респондентов – обычных россиян, проживающих в городах с населением свыше 100 тыс. человек – оказался довольно высоким.
Более 50% опрошенных сказали, что хотя бы что-то слышали об открытии четырех новых элементов таблицы Менделеева. Новые трансурановые элементы — 113, 115, 117 и 118 – были добавлены в таблицу Менделеева в январе 2016 года решением IUPAC (Международный союз по чистой и прикладной химии).
Как сообщается в пресс-релизе, чуть меньше половины всех респондентов – 44% - утверждают, что слышали о миссии космического зонда "Розетта", запущенного в 2004 году.
На третьем месте открытие ближайшей к Земле звезды Проксима Центавра, потенциально обитаемой экзопланеты. Об этой новости слышали 42% всех респондентов.
Почти столько же россиян - 41% смотрели или читали новости о создании нового метода редактирования генома. Платформа sOPTiKO, созданная исследователями из Wellcome Trust Sanger Institute и Кембриджского университета, позволяет отключать гены в любой клетке на любой стадии ее развития.
О самом значимом, по мнению российских ученых событии года – открытии гравитационных волн, слышал каждый третий опрошенный – 33%.
Параллельно с телефонным опросом жителей был проведен опрос экспертов и ученых.
"Самым значимым событием 2016 года, по мнению большинства опрошенных экспертов-ученых, стала фиксация гравитационных волн. В оценке этого события как важнейшего в году сошлись более половины всех экспертов, представляющих разные отрасли науки. На втором месте – новый способ редактирования генома человека. Третье место – обнаружение астрономами потенциально обитаемой планеты, которая вращается вокруг Проксимы Центавра, ближайшей к Земле звезды", - говорится в сообщении.
Экспертный опрос 20 ученых, представляющих различные научные отрасли, телеканал "Наука" провел 12-20 декабря.
Всероссийский опрос методом телефонного интервью по случайной выборке Институт современных медиа (MOMRI) провел 16-20 декабря. Общее количество опрошенных – 1 тыс. 610 человек старше 18 лет, проживающих в городах с населением более 100 тыс. человек. Статистическая погрешность опроса не превышает 2,5%.
Источник: http://www.interfax-russia.ru/kaleidoscope.asp?id=796492
Самые яркие научные открытия 2016 года.
Уходящий год, без сомнений, оказался одним из самых громких по всем направлениям. И мир научных открытий в этом плане тоже не остался в стороне. В этом году произошли по-настоящему значимые научные открытия, взять хотя бы обнаружение гравитационных волн или землеподобную планету, находящуюся менее чем в 5 световых годах от Солнечной системы. Ниже вкратце вспомним истории, о которых в научных сообществах не говорил, пожалуй, разве что только ленивый.
Гравитационные волны существуют
Нет ничего более значимого и фундаментального в мире науке, чем открытие, связанное с самой природой нашей реальности. И именно таким открытием в этом году могут похвастаться ученые Лазерно-интерферометрической гравитационно-волновой обсерватории (LIGO), которые подтвердили существование гравитационных волн. При этом подтвердили не один, а целых два раза.
Все мы более или менее знакомы с концептом пространства-времени – этакой четырехмерной коробки, где мы едим, живем, растем и в конце концов умираем. Но оказывается, что пространство-время – это не жесткая коробка. Скорее это даже не совсем коробка, а просторный и живой океан, наполненный волнами субатомной величины, образующихся при столкновении черных дыр, нейтронных звезд и других невероятно массивных объектов. Эти волны называют гравитационными. Это рябь пространства-времени, которую первыми обнаружили ученые из LIGO на самом деле еще в сентябре прошлого года. Однако официальное подтверждение их наблюдения пришло только в феврале. Затем в июне физики из LIGO смогли обнаружить гравитационные волны еще раз. Такая частота заставляет ученых продолжать свои наблюдения. Но можно считать, что новое окно в самые темные тайны Вселенной наконец-то официально открыто.
Разумеется, без Альберта Эйнштейна здесь тоже не обошлось. В конце концов именно он их и предсказал, когда вывел свою общую теорию относительности в 1916 году. Сложно сказать, что здесь более невероятно: то, что каждая часть теории Эйнштейна в конечном итоге подтвердилась и обрела доказательства, или же то, что современная физика сейчас проверяет идеи, пришедшие на тот момент в голову 26-летнего ботана.
Проксима Центавра b: одна, чтоб править всеми
Художественное представление планеты Проксимы b возле красного карлика Проксимы Центавра
За последние несколько лет астрономы обнаружили тысячи экзопланет, включая доброе количество каменистых, землеподобных миров. Однако все потенциально обитаемые кандидаты сразу же стали менее интересными в этом году, после того как была обнаружена Проксима b – планета размером чуть больше Земли, оборачивающаяся вокруг нашего ближайшего звездного соседа, находящегося всего в 4,3 светового года от нас.
Проксима b, обнаруженная с помощью метода Доплера (измерения радиальной скорости звезд), является каменистым миром, оборачивающимся вокруг звезды Проксима Центавра на дистанции всего 7,5 миллиона километров, что в 100 раз ближе, чем расположение Меркурия к Солнцу. Так как звезда Проксима Центавра является холодным красным карликом, месторасположение планеты является идеальным для того, чтобы поддерживать воду в жидкой форме. Есть высокая вероятность (по крайней мере согласно предположениям исследователей), что экзопланета Проксима b может быть обитаемой.
Может быть, конечно, и так, что Проксима b является безвоздушной пустыней, что, разумеется, окажется менее радостным. Однако выяснить это мы сможем, вероятно, уже совсем скоро. Вполне возможно, уже в 2018 году, когда в космос будет запущен новый и очень мощный Космический телескоп имени Джеймса Уэбба. Если же и в этом случае картина не станет более ясной, то можно будет запустить флот межзвездных нанозондов, которые выяснят все наверняка.
Зика – смертоносное оружие
Комар жёлтолихорадочный
Малоизвестный и впервые выявленный в Уганде в 1947 году вирус Зика перерос в конце прошлого года в международную пандемию, когда быстро распространяющееся с комариными укусами заболевание проникло через границы Латинской Америки. Несмотря на малую симптоматику или полное ее отсутствие, распространение вируса сопровождалось резким всплеском микроцефалии, редкого заболевания у детей, чья характерная особенность заключается в значительном уменьшении размеров черепа и, соответственно, головного мозга. Это открытие заставило исследователей искать связь между Зикой и развитием этих анатомических аномалий. И доказательства не заставили себя долго ждать.
В январе вирус Зика нашли в плаценте двух беременных женщин, чьи дети впоследствии родились с микроцефалией. В тот же месяц Зика был обнаружен в мозге у других новорожденных, которые умерли вскоре после рождения. Эксперименты с чашкой Петри, результаты которых были опубликованы в начале марта, рассказали о том, как вирус Зика напрямую атакуют клетки, принимающие участие в развитии мозга, существенно замедляя его рост. В апреле подтвердились опасения, о которых ранее говорили многие ученые: вирус Зика на самом деле вызывает микроцефалию, а также ряд других тяжелых дефектов развития мозга.
К настоящему моменту лекарства от вируса Зика не существует, ведутся клинические испытания вакцины на основе ДНК.
Первые генно-модифицированные люди
CRISPR – это революционный инструмент для генной модификации, обещающий не только излечить все болезни, но и наделить человека улучшенными биологическими способностями. В этом году китайская команда ученых впервые использовала его для лечения пациента, страдавшего агрессивной формой рака легких.
Для его лечения из взятой крови пациента сначала были удалены все иммунные клетки, а затем использован метод CRISPR для «выключения» особого гена, который может использоваться раковыми клетками для еще более быстрого распространения по организму. После этого модифицированные клетки были помещены обратно в организм пациента. Ученые считают, что подвергшиеся редактированию клетки смогут помочь человеку побороть рак, однако всех результатов этого клинического испытания пока не раскрывают.
Независимо от результатов этого конкретного случая, использование метода CRISPR для лечения людей открывает новую главу в персонализированной медицине. Здесь по-прежнему остается множество нерешенных вопросов – в конце концов, CRISPR является новой технологией. Однако становится понятно, что использование технологии, позволяющей модифицировать свой собственный генетический код, уже не является просто очередным примером научной фантастики. И за право обладания этой технологией уже начались настоящие патентные войны.
Неуловимая девятая планета Солнечной системы
Художественное представление Девятой планеты
Больше десятилетия астрономы гадают о том, может ли на внешних границах нашей Солнечной системы находится девятая планета. В этом году ученые из Калифорнийского технологического института Константин Батыгин и Майк Браун предоставили на суд общественности вполне убедительные доказательства того, что так называемая Девятая планета существует на самом деле. Крупнее Нептуна и холоднее замерзшего ада, Девятая планета оборачивается вокруг Солнца по очень вытянутой эллиптической орбите на дистанции от 100 и более 1000 астрономических единиц.
Наши самые лучшие догадки о Девятой планете основаны на необычных орбитах множества объектов пояса Койпера, которые, согласно предположениям Батыгина и Брауна, подвергаются воздействию гравитационных сил этой загадочной планеты.
Конечно же, единственным убедительным доказательством наличия «планеты-стесняшки» было бы ее прямое обнаружение в телескопы, а не на основе необычного поведения некоторых объектов пояса Койпера. Однако эта задача представляется крайней сложной, так как подобные холодные и далеко расположенные объекты (а именно такой является планета, по мнению ученых) излучают очень мало света и тепла. Тем не менее несколько астрономов, включая Брауна, в настоящий момент предпринимают попытки поиска Девятой планеты и считают, найти ее удастся в течение ближайших нескольких лет.
Камни из углекислого газа
С ростом мирового объема выбросов углекислого газа растет и риск катастрофических климатических изменений, поэтому ученые всерьез озаботились вопросом поиска эффективных методов снижения CO2 в атмосфере. Концепт «консервации углекислого газа» существует уже довольно давно, однако в 2016 году получил весьма впечатляющее развитие, когда ученые из Саутгемптонского университета растворили углекислый газ в воде и запечатали его в подземной скважине в Исландии. Хранившийся там в течение двух лет углекислый газ вступал в реакцию с базальтовой породой и в конечном итоге приобрел твердую кристаллическую форму, которая может храниться в таком состоянии сотни и даже тысячи лет.
Несмотря на весьма впечатляющий результат и горящие заголовки СМИ вроде «ученые превратили CO2 в камни», все-таки остаются вопросы, которые требуют ответа. Во-первых, возможность использования этого метода находится в прямой зависимости от места, где углекислый газ может кристаллизоваться в твердую форму. Другими словами, место хранения должно обладать аналогичными исландским геологическими и геохимическими особенностями. Во-вторых, масштаб. Провести эксперимент в лабораторных условиях, а затем захоронить небольшой объем CO2 — это не совсем одно и то же, что необходимость в захоронении миллиардов тонн ежегодных выбросов углекислого газа. Задача будет весьма непростой. Более эффективным все же будет снижение уровня самих выбросов.
Самое долгоживущее позвоночное
В конце концов может оказаться так, что секрет долголетия мы узнаем не из крупных мировых научных центров, а от гренландской акулы. Согласно исследованию, опубликованному в этом году в журнале Science, это удивительное глубоководное позвоночное может жить более 400 лет. Радиоуглеродный анализ 28 самок гренландской акулы показал, что эти животные являются самыми долгоживущими позвоночными на нашей планете. Возраст старейших представителей составляет от 272 до 512 лет.
Так в чем же заключается секрет столь невероятного долголетия гренландской акулы? Ученые точно пока не знают, но догадываются, что, вероятнее всего, это связано с тем, что это позвоночное обладает экстремально медленным процессом метаболизма, что приводит к медленному росту и половому созреванию. Еще одним оружием в борьбе со старением у этих акул, по всей видимости, является экстремально низкая температура окружающей среды. Никто не хочет провести пару лет на дне Арктического океана и потом вернуться с отчетом о том, как все прошло?
ВГВ. Мои гравитационные волны самые большие.
Я с удивлением обнаружил что у меня нет статьи по астрономии. Более того, сколько смотрю астрономов, но до сих пор не сделал не одного открытия. Для такого эрудированного, не ординарного не признанного ученого как я, это недопустимо. Правда, не устану повторять, у меня нет времени этим заниматься. Очень важно написать еще пару статей по праву, мануалов по ИТ, дописать пока пару десятков книг, сделать ремонт в квартире, доделать операционную систему, за личную жизнь, и то, что меня все постоянно дергают по своим мелочным делам т.к. сами не чего не умеют и не хотят учится я вообще молчу. Но все токи не могу не написать по поводу астрономии, а точнее одной интересной теорией которая возникла у меня неожиданно при просмотре лекции о гравитационных волнах. А именно: Александр Полнарев: "О гравитационных волнах, которые потрясли мир". В результате этого я нашел Perpetuum Mobile и понял от куда у Вселенной ноги растут. Мироздание сложилось в цельный пазл. Но пазл очень большой поэтому я ниже приведу лишь часть его и дабы не повторятся продублирую мой расширенный комментарий. Но вначале, дабы было понятнее другим, процитирую часть лекции:
-- 51:30 «Точно так же гравитационно-волновая астрономия делится… на 4.
4 – ультракороткие волны – до тысячи километров и меньше.
3. Следующий диапазон – космические, короткие волны астрономическая единица» (приблизительно равная среднему расстоянию от Земли до Солнца 149 597 870 км) , типа такого.
«2. Потом идут длинные волны детекторами, которых являются сотни пульсаров нашей галактики.»
- т.е., хочется уточнить, на сколько я понял, они на столько длинные что определить длину можно по изменению характеристик пульсаров, через которые проходят эти волны расположенных друг от друга на значительном расстоянии. Изменения пульсаров используют в качестве телескопа.
«1. И сверх длинные. Они не были созданы ни какими источниками и возникли с самого рождения Вселенной. Которые потом оставили свои отпечатки на микроволновом космическом фоне…»
- т.е. они самые длинные и древние их можно обнаружить только в качестве ряби на карте всей Вселенной.
Так же на сколько я понял, чем длиннее волна, тем больше масштаб и тем продолжительнее время её колебаний. И лектор дошел до времен большого взрыва с масштабами видимой Вселенной, но не решился предположить, что существуют волны длиннее, да и более древние.
Теперь мой расширенный комментарий к данному видео с ютуба:
“52:09 - А, теперь понятно, что за 4 окна. В таком случае я предлагаю 5е окно))) (а точнее нулевое) - внимание встречайте - ВСЕЛЕНСКИЕ гравитационные волны! Они длиннее первых. А че. могут же быть и такие. Их размер превосходит размеры видимой вселенной, поэтому пока мы их зафиксировать не можем. НО если их удастся обнаружить, это будет подтверждение того, что где-то за пределами видимой вселенной есть объекты, значительно превосходящие что бы то ни было, что нам когда-либо было известно. Можете даже их в честь меня назвать, т.к. по-видимому я их первый предложил, поэтому не обижусь)). Даже подскажу как их найти. Их амплитуда превышает или равна амплитуду видимой вселенной поэтому саму волну определить сложно, но раз волна гравитационная то ей характерно расширение и сжатие поэтому единственный вариант их заметить, это найти доказательства того, что наша Вселенная сжимается и расширяется. Стоп.... Меня осенило! Так она же сейчас как раз и расширяется!!! И физикам невдомек. Они спорят о том, чем вызвано расширение, почему галактики разлетаются? Что будет после расширения - тепловая смерть или сжатие. Ну слава Богу теперь волны Болгарчука дают на это ответ. Опять же надеюсь научное сообщество не забудет мой вклад. Хотя, у меня нет времени разжевывать и считать, писать в ваковских журналах и патентовать, может гипотеза и не верна, но она ложится и хорошо укладывается в стройную картину мироздания. Расширение вселенной это одна из фаз неимоверных размеров волны, в которой наша Вселенная сейчас и находится. Дальше, т.к. это гравитационная волна, пойдет опять сжатие и опять расширение.
Вот только не надо теперь говорить, что кто-то с физиков выдвигал эту идею до меня. Сейчас опубликую на разных сайтах и пусть только попробуют плагиатить и воровать мои идеи. Сидят там в институтах не хрена не делают: взятки берут да родственников приводят... а мне приходится помимо работы, находясь в социальном рабстве еще и наукой за всех заниматься.”
Но вернусь к вселенским гравитационным волнам (ВГВ). Как становится ясно они обуславливают сжатие и расширение вселенной, а также являются источником всей энергии. Поскольку энергия как раз-таки и возникает из-за сжатия черных дыр выброса перемолотых частиц которые уже горят в звездах, дающих нам свет так же сжимаясь и расширяясь создавая в процессе ядерного синтеза новые элементы. Т.е. такое себе фрактальное сжатие и расширение которое дает новую энергию. Возможно большой взрыв как раз результат такого пульсирующего сжатия одного из гребня волн только что мною открытых (предположенных). Сейчас идет фаза разряжения. Так же не факт, что фаза разряжения будет на столько продолжительной, что действительно наступит тепловая смерть - все разлетится и остановится. НО если моя теория верна, то прошлое сжатие было 13 млрд лет назад и может начаться после достижения конечного энергетического состояния через 10 в 10 и еще и в 120 степени лет, а возможно и раньше. Все зависит от амплитуды волны. Может через 13 млрд лет начнется сжатие. Ученые не знают почему, но читатели данной стати уже могут предположить причину которая скрывается за границами нашей Вселенной и превосходит её по масштабам как во времени, так и в пространстве.
Конечно вопросов много, и теория весьма хлипкая. Что является источником данных волн? Как их доказать, если им масштабы на столько грандиозны, что не укладываются в рамки времени и пространства? Тем не менее, по косвенным признакам, которые я от части на вскидку привел выше, это можно сделать. А в дальнейшем просчитав математический и смоделировав на компьютере, моя теория подтвердит и дополнит другие. Возможно даже её с нетерпением ждали, так же как когда-то ждали открытия обычных гравитационных волн. Их тоже из-за колоссальных масштабов очень трудно было зафиксировать. Мои волны доказать еще сложнее, но зацепки есть. Само же открытие таких волн по значимости превосходят гравитационные и дает возможность заглянуть за пределы известного нам времени и пространства. Дать ответ, пусть даже и предположительный что было до Большого взрыва? Что является движущей силой всего во Вселенной? Какова причина расширения Вселенной? И многое другое.
В топ запросов «Яндекса» попали гравитационные волны и рельсотрон
Поисковик «Яндекс» опубликовал результаты исследования поисковых запросов по итогам года.В рубрике «Премьера» помимо традиционных новых смартфонов впервые появились запросы из мира науки и технологий: «гравитационные волны» и «рельсотрон».
«Яндекс» проводит изучение поисковых запросов ежегодно. Результаты распределяются по рубрикам, таким как «События», «Фильмы», «Игры» и другие. Рубрика «Премьеры» содержит топовые запросы на темы, интерес к которым появился в текущем году.
Следующая сверхновая в нашей галактике [перевод]
Разнообразие природных явлений столь велико, а скрытые в небесах сокровища столь богаты, что благодаря их количеству человеческий разум никогда не будет нуждаться в подпитке.
— Иоганн Кеплер
Так говорил человек, открывший в 1604 году самую свежую на тот момент сверхновую, находящуюся в нашей Галактике и наблюдаемую в видимом спектре. И хотя, скорее всего, после неё было ещё два взрыва, их не было видно невооружённым глазом, а их остатки были открыты уже при помощи мощных телескопов.
В январе 2012 года была открыта первая в том году сверхновая, в галактике, отстоящей от нас на 25 миллионов световых лет, NGC 3239. Изображённая ниже сверхновая получила имя SN 2012a.
С типичной периодичностью в примерно одну сверхновую в одной галактике за одну сотню лет, становится интересно, что бы мы увидели – и как быстро – если бы сверхновая образовалась в нашей Галактике.
Вспомним, что сверхновая может образоваться одним из двух способов, но оба они включают в себя вышедшую из-под контроля реакцию ядерного синтеза, высвобождающую огромное количества света и энергии. Большая часть энергии, что удивительно, выделяется не в виде света! Давайте заглянем внутрь звезды, которая через несколько секунд должна превратиться в сверхновую.
Кроме встрясок и большой температуры, внутренние реакции производят нейтрино, из которых большая часть не взаимодействует с внешними слоями звезды! С ними взаимодействуют лишь некоторые нейтрино, а также все протоны, нейтроны и электроны, появление которых не происходит моментально. И хотя у взрывной волны проход до внешних слоёв звезды отнимает пару часов, нейтрино проделывают этот путь почти мгновенно!
Это значит, что когда звезда превращается в сверхновую, поток нейтрино возникает до потока света! Мы открыли это при наблюдениях в 1987 году.
Когда сверхновая 1987а взорвалась на расстоянии всего в 168 000 световых годах от нас, это было достаточно близко – и у нас было достаточное количество детекторов нейтрино – чтобы засечь 23 (анти)нейтрино за период в 13 секунд. Самый крупный детектор, Камиоканде-II, содержавший 3 000 тонн воды, засёк 11 антинейтрино.
Сегодня находящийся на его месте детектор Супер Камиоканде-III, содержит 50 000 тонн воды и 11 000 фотоувеличительных трубок. (В мире есть множество других прекрасных детекторов нейтрино, но я остановлюсь на этом для примера).
Его устройство удивительно потому, что он может не только обнаруживать нейтрино, но и определять направление, энергию и точку взаимодействия даже единственного нейтрино, которому повезло провзаимодействовать с любой из частиц в 50 000 тонн воды!
В зависимости от того, в каком месте нашей Галактики появится потенциальная сверхновая, Супер Камиоканде-III должен будет зарегистрировать от нескольких тысяч антинейтрино (в случае взрыва с противоположной стороны Галактики) до более чем десятка миллионов, и всё это за 10 – 15 секунд!
Детекторы нейтрино по всему миру увидят поток нейтрино, одновременно и с одной и той же стороны. В этот момент у нас останется 2-3 часа на определение направления на источник этих нейтрино, и поворот телескопов для попытки визуального наблюдения сверхновой – в первый раз в истории – с самого её начала!
Ближайшая после 1987 года сверхновая была та, что изображена выше, и мы сумели разглядеть её через полдня после взрыва.
В основном благодаря счастливому случаю, мы довольно близко подобрались к интенсивной гиперновой в 2002 году.
И всё равно мы начали наблюдать эту звезду, SN 2002ap, только спустя 3-4 часа после первого взрыва. Если сверхновая, которой предстоит появиться, будет принадлежать к категории Ia – то есть, происходить от белого карлика – у нас нет возможности предсказать, в какой части галактики это произойдёт. Белых карликов слишком много, расположение большинства из них неизвестно и считается, что они разбросаны по всей Галактике.
Если же сверхновая случится у очень массивной звезды с ядром, коллапсирующим под собственной тяжестью, (сверхновая типа II), у нас для этого есть набор неплохих кандидатов и отличных мест для поисков.
Очевидное место – центр Галактики, где взорвалась последняя из известных сверхновых Млечного пути, а также место пребывания самых массивных звёзд, существующих в нашей Галактике. В следующие 100 000 лет там совершенно точно появится множество сверхновых II типа, но у нас нет возможности узнать, когда мы увидим следующую. Разглядывая картинку выше, подумайте о том, что взрывы этих сверхновых уже, скорее всего, произошли, и мы лишь ждём момента, когда нейтрино (а за ними и свет) дойдут до нас!
Но у нас есть кандидаты и поближе галактического центра.
Заглянем в недра огромной туманности, в которой рождаются звёзды, и найдём там самые горячие и молодые звёзды среди всех, что можно встретить во Вселенной. Именно там живут ультрамассивные звёзды – и, в частности, Туманность Орла на фото выше может быть домом для очень недавней сверхновой. Туманность Орла, Туманность Ориона и множество других регионов, заполненных молодыми звёздами, служат прекрасными местами для рождения следующей сверхновой.
А что насчёт отдельных звёзд? Хотя есть множество хороших кандидатов, два из них особенно часто участвуют в наших разговорах.
Эта Киля, находящаяся на самых последних стадиях жизни, может буквально в любой момент стать сверхновой. Или до этого момента могут пройти сотни, тысячи и десятки тысяч лет. Но если мы обнаружим поток антинейтрино, идущих примерно с её позиции в космосе, то именно на неё мы направим свои телескопы в первую очередь!
В отличие от кандидатов, расположенных на расстояниях в тысячи световых лет от нас, есть ещё один, гораздо ближе. Это самый близкий кандидат на сверхновую!
Поздоровайтесь с Бетельгейзе, красным супергигантом в 640 световых годах от нас. Бетельгейзе такой огромный, что его диаметр сравним с орбитой Сатурна! Если Бетельгейзе превратится в сверхновую, наши детекторы нейтрино по всей Земле зарегистрируют порядка сотни миллионов антинейтрино, что в сумме превзойдёт количество всех нейтрино всех типов, когда-либо зарегистрированных за всю историю.
Но если сверхновыми станут не эти известные кандидаты, сможем ли мы сказать, была ли это сверхновая типа Ia или типа II?
Всегда можно подождать. У сверхновых разных типов очень разные световые кривые, и то, как свет затухает после достижения пиковой яркости, покажет нам, какой это был тип сверхновой.
Но в таком удивительном случае я не собираюсь испытывать своё терпение. К счастью, мне это и не будет нужно, поскольку сверхновая в нашей галактике, скорее всего, станет первым регистрируемым наблюдением новейшего типа астрономии: астрономии гравитационных волн!
На гравитационные волны ничего не влияет, и такие волны от взрыва сверхновой должны будут пройти через находящиеся у них на пути звёзды, газ, пыль или материю без нарушений, и прийти одновременно с первой волной (анти)нейтрино! А плюс будет в том, что, согласно нашим лучшим симуляциям ОТО, сверхновые типа II (коллапс ядра) и типа Ia (белый карлик, падающий по спирали) должны будут породить совершенно разные гравитационные волны!
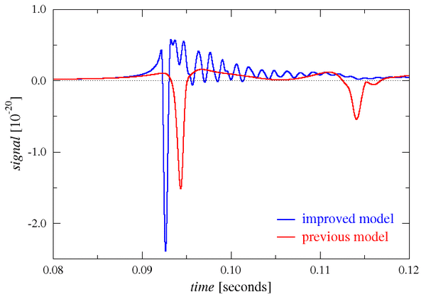
Если это будет сверхновая типа Ia, мы должны будем зарегистрировать три отдельных региона в сигнале:
Фаза спирального падения должна будет произвести периодическую пульсацию, увеличивающую частоту и силу по мере того, как белые карлики достигают финальной стадии разделения. В момент зажигания в сигнале должен произойти всплеск, за которым последует фаза затухания. Очень разные вещи.
Но если у нас будет сверхновая типа II, от сверхмассивной коллапсирующей звезды, мы увидим всего две интересные вещи.
Огромный всплеск – сама сверхновая – через одну десятую секунды после коллапса ядра, за которым следует быстро затухающий (в пределах 0,02 сек) отклик. И если нам нужно будет понять, что мы видели, нам понадобится лишь вот такой говорящий сигнал гравитационных волн.
Вот что мы бы увидели, если бы следующая сверхновая в нашей Галактике взорвалась бы сегодня!
Если вы дочитали статью до конца, то вы действительно любите статьи научной тематики. Я периодически выкладываю различные научные статьи из разных интерет-ресурсов, так что можете подписаться на новые посты :)
Источник: GeekTimes
Гравитационные волны «на пальцах»
В феврале этого года весь мир всколыхнулся после сенсационного открытия ученых обсерватории LIGO, которым удалось обнаружить гравитационные волны. Шумихи вокруг этого долгожданного события (возможность их существования была предсказана уже как минимум 100 лет назад) было столько, что саму суть этого явления уловил не каждый.
Представляем вашему вниманию наш перевод занимательного выпуска передачи Minute Physics, в котором доступным языком и при помощи красочных сравнений объясняется, что же такое гравитационные волны. Приятного просмотра!























