Горячее
Лучшее
Свежее
Подписки
Сообщества
Блоги
Эксперты
Войти
Забыли пароль?
или продолжите с
Создать аккаунт
Регистрируясь, я даю согласие на обработку данных и условия почтовых рассылок.
или
Восстановление пароля
Восстановление пароля
Получить код в Telegram
Войти с Яндекс ID Войти через VK ID
ПромокодыРаботаКурсыРекламаИгрыПополнение Steam
Пикабу Игры +1000 бесплатных онлайн игр Погрузись в «Свидания с отличиями» — увлекательную романтическую игру в жанре «найди отличия», где ты знакомишься с обаятельными девушками, узнаешь их истории и организуешь незабываемые свидания. Тебя ждут десятки уровней, полных эмоций, и множество очаровательных спутниц!

Свидания с отличиями

Казуальные, Головоломки, Новеллы

Играть

Топ прошлой недели

  • Animalrescueed Animalrescueed 43 поста
  • XCVmind XCVmind 7 постов
  • tablepedia tablepedia 43 поста
Посмотреть весь топ

Лучшие посты недели

Рассылка Пикабу: отправляем самые рейтинговые материалы за 7 дней 🔥

Нажимая «Подписаться», я даю согласие на обработку данных и условия почтовых рассылок.

Спасибо, что подписались!
Пожалуйста, проверьте почту 😊

Помощь Кодекс Пикабу Команда Пикабу Моб. приложение
Правила соцсети О рекомендациях О компании
Промокоды Биг Гик Промокоды Lamoda Промокоды МВидео Промокоды Яндекс Маркет Промокоды Пятерочка Промокоды Aroma Butik Промокоды Яндекс Путешествия Промокоды Яндекс Еда Постила Футбол сегодня
0 просмотренных постов скрыто
6
Marsikot
Marsikot

Насколько высоко мы прыгнем на Луне и не сломаем ли ноги при приземлении? Физика прыжка⁠⁠

10 дней назад

На днях задумался: мы часто слышим, что на Луне можно прыгнуть очень высоко, но никто не говорит, насколько именно и насколько опасно будет приземление. Решил взять средние данные и посчитать.
Дано:
Средний вертикальный прыжок на Земле (высота подъема центра масс) нетренированного мужчины: ≈ 0.5 м.
Средняя масса: ≈ 80

1. Энергия прыжка на Земле
Сначала посчитаем, сколько энергии тратят мышцы, чтобы поднять нас на 50 см.

2. Насколько высоко мы прыгнем на Луне?
Так как энергия та же, но гравитация в 6 раз меньше, то и поднимемся мы во столько же раз выше, то есть 0,5 метра становятся 3 метрами.
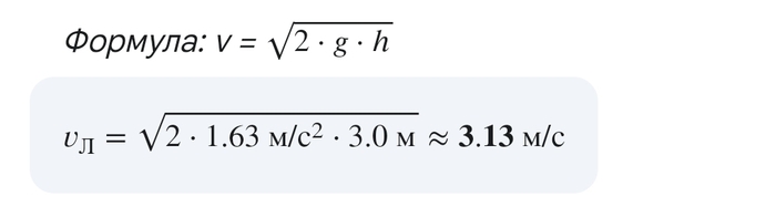
Какую энергию придется погасить при приземлении с 3-х метров, учитывая что ускорение свободного падения падения меньше и составляет 1,63 м/с²

То есть энергия точно такая же, погрешность вызвана округлениями.

Скорость приземления
С какой скоростью мы шлепнемся об лунный грунт?

А на земле? А на земле как вы догадались ровно столько же - 3.13 м/с
Хотя высота прыжка на Луне в 6 раз больше, приземление будет ощущаться точно так же, как обычное приземление после прыжка на Земле! Наше тело уже "спроектировано" и натренировано для поглощения этой энергии.

Учтите, что это расчет для центра масс. Если вы начнете прыгать с 3-х метров в скафандре, где масса будет больше, а возможность сгибать колени меньше... ну, это уже другая история и другой расчет.

Показать полностью 3
[моё] Физика Планета Луна
6
265
EasyPhysi
EasyPhysi

Дендритный агат⁠⁠

10 дней назад

Демонстрирует фрактальные узоры, встречающиеся в природе.

Эти неорганические образования иногда ошибочно принимают за окаменелости, но считается, что они возникают в результате быстрой кристаллизации оксидов марганца и железа.

Подписывайтесь на нас в ТГК и Тик-ток, чтобы первыми увидеть все наши посты.

Перейти к видео
Наука Энергия Физика Научпоп Видео Короткие видео
46
14
The.Spaceway
The.Spaceway
THE SPACEWAY
Серия Природа

Почему вода такой хороший растворитель? Простейшее объяснение⁠⁠

10 дней назад

Стоит бросить щепотку соли в воду, и она растворится за секунды. Но если капнуть масло — оно останется плавать. Почему вода ведет себя так избирательно? Секрет в полярности.

© Dreamina/TheSpaceway

© Dreamina/TheSpaceway

Молекула воды (H2O) — это крошечный "магнит". Кислород тянет электроны на себя сильнее, чем водород, поэтому у него появляется легкий отрицательный заряд, а у двух атомов водорода — положительный. Получается "электрический перекос": одна часть молекулы отрицательная, другая — положительная.

Эта асимметрия позволяет воде взаимодействовать с ионными соединениями и полярными молекулами — противоположно заряженные части молекулы воды притягиваются к разным ионам вещества, разрушая его структуру.

Как вода "ломает" соль

Соль (NaCl) — это соединение с кристаллической решеткой (ионной решеткой кубической формы) из положительного натрия (Na⁺) и отрицательного хлора (Cl⁻). Как только соль попадает в воду, сразу же запускается реакция:

  • Отрицательная часть молекул воды (кислород) притягивается к Na⁺;

  • Положительная часть (атомы водорода) — к Cl⁻;

  • Решетка разрушается, ионы растаскиваются в разные стороны.

Молекулы воды буквально отрывают ионы друг от друга и формируют вокруг каждого гидратную оболочку — слой из нескольких молекул воды, повернутых к иону противоположно заряженной частью, что препятствует их воссоединению. Так разрушается кристаллическая решетка, и ионы равномерно распределяются в объеме раствора.

Схожим образом вода связывается с полярными молекулами вроде сахаров, спиртов и кислот, образуя водородные связи.

Почему масло не растворяется?

Молекулы жиров и масел неполярные, так как состоят из длинных углеводородных цепей, где электроны распределены равномерно (отсутствуют заряженные участки). А вода, являющаяся полярной, не способна взаимодействовать с такой электрически нейтральной структурой, потому что ей просто не за что "зацепиться".

© Dreamina/TheSpaceway

© Dreamina/TheSpaceway

Когда масло попадает в воду, то молекулы воды "игнорируют" его, продолжая образовывать водородные связи между собой. Масло быстро вытесняется и собирается в капли на поверхности. В природе существует четкое правило: полярное растворяет полярное, неполярное растворяет неполярное.

Именно поэтому для удаления жирных загрязнений используют моющие средства — они содержат молекулы с двойной природой (амфифильные), которые могут одновременно взаимодействовать и с водой, и с жирами. У таких молекул одна часть (гидрофильная "голова") полярная и любит воду, а другая (гидрофобный "хвост") неполярная и притягивается к жирам. Когда моющее средство попадает в воду с маслом, его молекулы окружают жировые капли хвостами внутрь, а головами наружу — образуются мицеллы.

© <!--noindex--><a href="https://pikabu.ru/story/pochemu_voda_takoy_khoroshiy_rastvoritel_prosteyshee_obyasnenie_13379163?u=http%3A%2F%2Fnews-medical.net&t=news-medical.net&h=82ebfe76daeb747fe55d524c9f2990b2ef17189a" title="http://news-medical.net" target="_blank" rel="nofollow noopener">news-medical.net</a><!--/noindex-->

© news-medical.net

Таким образом капли жира обзаводятся полярными оболочками, позволяющими воде их "схватывать" и смывать.

Читайте также:

  • Пять удивительных фактов о воде.

  • Почему стекло прозрачное? Простое научное объяснение.

  • Почему лед скользкий?

Показать полностью 3
[моё] The Spaceway Наука Природа Вода Химия Физика Факты Длиннопост
4
Vihrihausa
Vihrihausa
Серия Детонационная инженерия

Детонационный привод лопастей тяжёлого БПЛА⁠⁠

10 дней назад
Детонационный привод лопастей тяжёлого БПЛА

Привет всем!

Представьте: тяжёлый дрон с подъёмным винтом диаметром 2 метра, обычного вида, но вместо скучного электромотора или бензинового тарахтения у него на концах лопастей... детонационный привод. Да, тот самый, где топливо не просто горит, а взрывается .

Перейти к видео

Что вы видите:

  • сначала идёт замедленная съёмка, иначе волна детонационного горения не успевает сформировать в мозгу воспринимающего полноценную и яркую картинку детонационного горения, когда тот направил на неё своё внимание.

Что вы слышите:

  • Никакого «вжжжжжж» или «шшшшшш».

  • Только ТЫДЫЩ-ТЫДЫЩ-ТЫДЫЩ-ТЫДЫЩ .

  • Это не пулемёт, не перфоратор и не сосед с дрелью в 7 утра.

  • За одну секунду — дохрена таких циклов.

  • На выходе — реактивная струя, которая крутит винт с такой мощью, что стенд трясётся, как будто туда засунули злого Шрека

Но можно посмотреть на это с нормальной стороны:

  1. Видео — 100% фейк

    • Те самые «огненные факелы» — это обычный пиротехнический состав из магния и перхлората калия, который выдувается из трубки сжатым воздухом.

    • «Детонация» — просто петарды М-100 внутри трубы. Звук — наложен в Sony Vegas.

    • Темнота в кадре - чтобы ничего не было возможно понять нормальному человеку

  2. Физика плачет кровавыми слезами

    • Детонационная волна не может дать существенный прирост энергии, как говаривал мне один Кандидат Технических Наук. Это как пытаться разогнать машину, стреляя из ружья себе в багажник.

+++===

Ставьте плюсик, если верите в детонационный привод … но признайтесь, нормальному человеку трудновато проглотить, что из двух труб с шарами на концах можно обогнать Rocket Lab, правда? 💥🚁

А теперь обратка: Ставьте минус, если согласны — это эпичный фейк уровня «голливудских взрывов Майкла Бэя», только с русским акцентом и петардами из «Пятерочки». (Да, за правду — минус! Логика Пикабу: чем ниже рейтинг, тем меньше такого «научного» бреда тут заведётся. Гениально же придумано?)

Короче:

+ если душа требует сказки 💥 и молчим как будда,

− если мозг требует физики 😂 и умопомрачительного отзыва в известном всем стиле...

Показать полностью 1
[моё] Физика Научпоп Будущее Детонация Реактивный двигатель Реактивная струя Привод Авиационный двигатель Двигатель Ракетный двигатель Видео Короткие видео Длиннопост
4
13
heim.dallr
heim.dallr

Почему коньки скользкие. "Все знают физику на Пикабу"⁠⁠

10 дней назад
Перейти к видео

Андрей Коняев

Видео Короткие видео Физика Вертикальное видео
17
5
Аноним
Аноним
Физика и Астрономия

Гипотеза Будда-поля P(b): Решение Загадки Времени⁠⁠

10 дней назад

Введение: Кризис Времени в Физике

Современная физика сталкивается с фундаментальной проблемой: Стрела Времени. Большинство законов микромира (квантовая механика) и макромира (Общая Теория Относительности, ОТО) симметричны относительно времени. Однако в нашей реальности время движется только от прошлого к будущему.

Традиционное объяснение — Второй Закон Термодинамики (рост энтропии) — не объясняет первопричину асимметрии, а лишь описывает её следствие, что приводит к круговому рассуждению ("телеги и лошади").

Гипотеза Будда-поля P(b) предлагает фундаментальное, динамическое решение этой проблемы, перенося причину асимметрии из статистики в истощение универсального ресурса.

Суть Гипотезы Будда-поля

Будда-поле P(b) постулируется как динамическое, скалярное поле, которое является неизбежным носителем времени. Эта гипотеза основывается на следующих принципах:

  1. Пространство-Время как Материя (Связь с LQG): Гипотеза совместима с Петлевой Квантовой Гравитацией (LQG), где пространство-время квантовано и состоит из дискретных "петель". P(b) рассматривается как энергетический потенциал или степень возбуждения этих квантов пространства.

  2. Эмерджентное Время: Время не является фундаментальным таймером, а возникает (эмерджентно) из P(b) как накопление минимальных временных интервалов t(p), которые определяются локальной величиной поля.

Ключевой Постулат:

Стрела Времени является прямым следствием непрерывного, вселенского истощения P(b) по мере космологического расширения.

P(b) имел максимальное значение в момент Большого Взрыва (или Отскока) и с тех пор необратимо убывает. Движение в будущее — это движение в сторону снижения потенциала поля.


Решения, Предлагаемые Гипотезой P(b)

Гипотеза Будда-поля предлагает элегантное объяснение нескольких ключевых загадок:

1. Исток Стрелы Времени (Космологическая Причина)

P(b) предоставляет динамический механизм для однонаправленного движения времени. Невозможность движения назад во времени объясняется запретом на локальное восполнение уже истощенного потенциала P(b).

  • Решение: P(b) — это первичная причина, а рост энтропии S — вторичное следствие этого фундаментального убывания потенциала:

    Убывание P(b) -> Расширение Вселенной -> Рост S

2. Объяснение Замедления Времени (Связь с ОТО)

Гипотеза объясняет, почему гравитация и скорость влияют на время, как описано в ОТО:

  • Гравитационный Потенциал: Присутствие массы создает сильный гравитационный потенциал, который локально деформирует и сжимает кванты пространства (петли). Эта деформация приводит к локальному снижению P(b).

  • Следствие: Снижение P(b) вызывает замедление течения времени в этой области. Аналогично, высокая скорость (инерция) тела вызывает локальное снижение P(b) в его системе отсчета.

3. Решение Проблемы Времени в LQG

Ввод P(b) в качестве динамического, квантованного поля помогает преодолеть математические трудности Уравнения Уилера-ДеВитта в LQG, которое не содержит параметра времени. P(b) позволяет вывести макроскопическое время из безвременных квантовых уравнений.

Заключение

Гипотеза Будда-поля предлагает единый, интуитивно понятный и физически обоснованный механизм для объяснения трех фундаментально связанных феноменов: происхождения времени, его однонаправленности и его замедления под действием гравитации и скорости. Она является мощным примером того, как сочетание логической строгости (Бритва Оккама) и интуитивного понимания может генерировать новые, проверяемые (на уровне математики) концепции в области квантовой гравитации.

Показать полностью
Физика Наука Исследования
1
13
umrimolodym
Упоротые комментарии

Долго объяснять, там вся ветка обоссака⁠⁠

10 дней назад
Долго объяснять, там вся ветка обоссака

#comment_372798885

Показать полностью 1
Скриншот Комментарии на Пикабу Физика Борьба за выживание Мат
0
2
drezden.22vo7
drezden.22vo7
Серия Где начинается реальность

Как хаос стал основой нашей вселенной: квантовый мир как «стволовой материал»⁠⁠

10 дней назад
Как хаос стал основой нашей вселенной: квантовый мир как «стволовой материал»

Мы привыкли считать квантовый мир фундаментом реальности. Мол, это самый нижний этаж, а дальше только пустота.

Но честнее будет сказать иначе! Квантовый слой выглядит не как фундамент, а как хаос, в котором всё постоянно вибрирует, пересобирается и меняется.
Не частицы, а вспышки возможностей.
Не материя, а недоформированная среда.

И вот та картина, которую я вижу!

Первичная вселенная, как ультра-хаос!

Представь реальность, где даже квантовый беспорядок кажется стабильным по сравнению с тем, что там происходило.
Состояния не удерживались ни на мгновение. Рождались всплески, сразу же рушились. Никаких свойств, никаких законов, а только поток нестабильности.

Со временем в этой среде начали формироваться первые зачатки структуры, что-то вроде пред-квантовых элементов. Ещё не частицы, но уже не чистый хаос.

Рождение квантовых зачатков

Эти зачатки были максимально «сырыми». Они не имели фиксированных свойств, ни масс, ни зарядов, ни констант.

Самый точный образ - это стволовые клетки.
Потенциал есть, но формы ещё нет.

Попадание в нашу вселенную

Когда эти зачатки оказались в новой среде. В нашей зарождающейся вселенной , где они попали в условия, где могли постепенно закрепляться.

И вот тут начинается самое интересное.

Квантовый мир как «стволовой материал»

Квантовые зачатки начали «созревать».
Окружающее пространство стабилизировалось, температура падала, взаимодействия выравнивались и эти дрожащие фрагменты начали получать форму.

  • один тип стабилизировался в заряд,

  • другой в массу,

  • третий во взаимодействие,

  • а система в целом в набор констант.

Так из хаоса выросла физика.

Колебания никуда не исчезли! Просто стали более организованными.
И именно из этих узоров мы видим картинку мира.

Как колебания рисуют реальность

Если упростить:

  • квантовые колебания дают видимую картину мира,

  • более плотные и собранные колебания дают ощущаемую материю,

  • а на уровне галактик - это те же колебания, только гигантского масштаба.

И вот из этого вытекает любопытный поворот.

Наши галактики со своими вращениями, гравитационными волнами, кластерными движениями могут быть штрихами более крупного узора!
Мы видим «космос», а на следующем уровне это может быть структура для другой реальности, так же как наши атомы структура для нас.

Я не утверждаем, что так и есть. Просто следуя логике, если всё колебания, то и наша вселенная может быть узором более глубокого уровня, другой вселенной и т.д.

Формирование крупного мира

Когда квантовый материал стал хоть немного предсказуемым, всё вышло на рельсы:

  • атомы

  • молекулы

  • звёзды

  • галактики

  • жизнь

  • разум

Мы выросли из медленно стабилизирующегося хаоса.

Итог

В этой модели квантовый мир не основа и не бог из машины. Это продукт более древнего, ещё более хаотичного состояния, который стал “строительным материалом” для нашей вселенной.

То, что в первичной реальности было финалом упорядочения хаоса, у нас стало точкой старта.
А наши галактики возможно, всего лишь крупные волны на поверхности ещё более глубокого океана.

Чем моя теория отличается от теории струн

Моя модель не про геометрию струн и не про дополнительные измерения.
Я смотрю в другую сторону! Квантовый уровень не фундаментален, а унаследован от более хаотичного предыдущего мира.

Струнная теория такого не предлагает. Там фундамент - это сами струны, без прошлых вселенных и “стволового” материала.

Теория струн пытается быть физикой. Её цель - математическая модель Вселенной.
Моя модель - космогония. Попытка объяснить происхождение уровней реальности и их связь.

Я говорю о том, что:

  • до квантов был другой хаос,

  • квантовый мир не фундамент,

  • структуры закрепляются постепенно,

  • галактики могут быть узорами большего уровня.

Показать полностью 1
[моё] Вселенная Физика Лор вселенной Наука Эволюция Длиннопост
3
Посты не найдены
О нас
О Пикабу Контакты Реклама Сообщить об ошибке Сообщить о нарушении законодательства Отзывы и предложения Новости Пикабу Мобильное приложение RSS
Информация
Помощь Кодекс Пикабу Команда Пикабу Конфиденциальность Правила соцсети О рекомендациях О компании
Наши проекты
Блоги Работа Промокоды Игры Курсы
Партнёры
Промокоды Биг Гик Промокоды Lamoda Промокоды Мвидео Промокоды Яндекс Маркет Промокоды Пятерочка Промокоды Aroma Butik Промокоды Яндекс Путешествия Промокоды Яндекс Еда Постила Футбол сегодня
На информационном ресурсе Pikabu.ru применяются рекомендательные технологии