Дурацкий вопрос
а как выводится формула длины окружности?
без этих дурацких "древние математики посчитали и 2πR"
ну как они посчитали? на пальцах прикинули? должно же быть выведение.
я немного порылся в ответах поисковых систем - единственное, похожее, на правду, это построение внутри окружности многоугольников с перспективой построить многоугольник с бесконечным числом граней, неотличимый от окружности.
наверное я что-то упустил в математике. если вы знаете - расскажите, пожалуйста, как выводится эта формула и откуда взялось число π.
Ответ TheSecondI в «Считаете арифметику скучной?»3
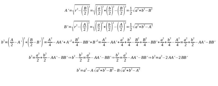
К сожалению в своём решении нашёл ошибку и забросил это дело. Но теперь вернулся. Посмотрите, с картинками и формулами сделал. Есть ли ошибки?
Проверка остаточных знаний или польза ИИ в повседневной жизни балбеса
Товарищи, обращаюсь в первую очередь к тем, кому при заполнении регистрационной формы приходится бесконечно крутить барабан с датами вверх (обожаю запах эйджизма по утрам). Предлагаю вам немного размять мозги, оторвать свои красные очи от экранов и, взяв артефакты прошлого - листок и карандаш, разделить квадрат на 10 равных частей.
А теперь элегантный ответ ИИ, который и побудил к написанию этого поста и потратил наше с вами время:
Продолжение поста «Псевдоповерхности 2-го и 3 го порядков. Часть 2. Инструментальные основы Геометрической Волновой Инженерии»1
Здравствуйте.
Из геометрии известно, что Гиперболоид — это поверхность, образуемая вращением гиперболы вокруг одной из ее осей, см. рис. № 1.
Из геометрии позапрошлого века известно, что псевдосфера Бельтрами— это поверхность постоянной отрицательной кривизны, образуемая вращением трактрисы около её асимптоты, см. рис. № 2.
Уникальная синергия двух известных подходов приводит к появлению нового класса псевдоповерхностей , в данном случае к псевдогиперболоиду, см. рис. № 3.
Псевдогиперболоидом можно назвать разомкнутую объёмную полость уже с внутренней переменной отрицательной кривизной, которая образована вращением образующей в виде половинки гиперболы.
По простому!!!
Гиперболоид - это две воронки соединённые вместе посредине узкими горлышками.
Превдогиперболоид - это две воронки, соединённые посредине широкими частями
Всё просто!!!
И эта простая синергия переворачивает всё. Например, рассмотрим лучевые распространения внутри этой псевдоповерхности. Согласно фокальному свойству гиперболы, как образующей псевдогиперболоида все лучи, входящие внутрь под любыми углами после многократные отражения будут стремиться «втянуть» его в центральную цилиндрическую фокальную зону .
Механизм можно сравнить с оптической воронкой (чёрной дырой).
Всё не просто, а очень просто...
Вы правы, нужно это расширить и опубликовать позже для понимания любым уровнем непонимания.
Всё, устал по клве бить... как то так.
С Уважением,
Хаустов Владимир.









