Горячее
Лучшее
Свежее
Подписки
Сообщества
Блоги
Эксперты
Войти
Забыли пароль?
или продолжите с
Создать аккаунт
Регистрируясь, я даю согласие на обработку данных и условия почтовых рассылок.
или
Восстановление пароля
Восстановление пароля
Получить код в Telegram
Войти с Яндекс ID Войти через VK ID
ПромокодыРаботаКурсыРекламаИгрыПополнение Steam
Пикабу Игры +1000 бесплатных онлайн игр Ищите предметы среди очаровательных жителей и уютных домиков!

Потеряшки - поиск предметов

Головоломки, Казуальные, Детские

Играть

Топ прошлой недели

  • solenakrivetka solenakrivetka 7 постов
  • Animalrescueed Animalrescueed 53 поста
  • ia.panorama ia.panorama 12 постов
Посмотреть весь топ

Лучшие посты недели

Рассылка Пикабу: отправляем самые рейтинговые материалы за 7 дней 🔥

Нажимая «Подписаться», я даю согласие на обработку данных и условия почтовых рассылок.

Спасибо, что подписались!
Пожалуйста, проверьте почту 😊

Помощь Кодекс Пикабу Команда Пикабу Моб. приложение
Правила соцсети О рекомендациях О компании
Промокоды Биг Гик Промокоды Lamoda Промокоды МВидео Промокоды Яндекс Маркет Промокоды Пятерочка Промокоды Aroma Butik Промокоды Яндекс Путешествия Промокоды Яндекс Еда Постила Футбол сегодня
0 просмотренных постов скрыто
Agregat34

Реактивный двигатель ПуВРД⁠⁠

3 года назад

У меня вопрос, можно ли дросселировании пульсирующий воздушный реактивный двигатель изменяя количество подаваемого топлива (бензин 92,95)

[моё] Пуврд Реактивная тяга Текст
11
861
paritet22
Авиация и Техника

Сопло Лаваля⁠⁠

3 года назад

Никогда не задумывались, почему сопло двигателя самолета снабжено возможностью сжиматься и расширяться?

Здесь нагляднее про то, о чем я говорю. Большинство современных сверхзвуковых самолетов могут изменять диаметр сопла двигателя прямо во время полета.

Прежде чем говорить об этом, окунемся в историю и познакомимся с инженером-изобретателем, который внес немалый вклад в развитие науки и техники.

Перед нами Карл Гу́став Па́трик де Лава́ль, родился в Орсе, Швеция. Окончил Технологический институт в Стокгольме в 1866 году и Упсальский университет в 1872 году. В 1890 году он изобрёл сопло, служащее для подачи пара в турбину, получившее впоследствии его имя, и использующееся в том же назначении по настоящее время. В XX веке сопло Лаваля нашло применение в реактивных двигателях для создания реактивной струи.


Де Лавалю принадлежит также честь изобретения центрифуги для разделения на фракции смесей, состоящих из жидкостей с разной плотностью. Это изобретение он использовал как молочный сепаратор. В 1894 году он запатентовал доильный аппарат, первый практически используемый образец которого был выпущен уже после его смерти компанией Alfa Laval, основанной де Лавалем и Оскаром Ламмом в 1883 году.


За свою жизнь Густав де Лаваль запатентовал 93 изобретения. В его дневниковых записях содержатся описания проектов сотен изобретений. Многие свои изобретения Лаваль не патентовал. Двухступенчатая активная турбина, которую называют колесом Кертиса, была разработана Лавалем в 1889г. Кертис получил на нее патент в США лишь семь лет спустя. Главная заслуга Лаваля состоит в том, что он сумел создать основные элементы турбины, довести их и соединить в работоспособную конструкцию, которая во многих отношениях на десятилетия опережала свое время

Итак, для понимания, рассмотрим компоновку и краткое устройство реактивного двигателя:

Принцип работы реактивного двигателя


компрессор втягивает воздух, сжимает его и направляет в камеру сгорания. В ней сжатый воздух смешивается с топливом, которое воспламеняется. Горячие газы, образовавшиеся в результате горения, расширяются, заставляя вращаться турбину, которая расположена на одном валу с компрессором. Тем самым часть энергии газа тратится на совершение этой работы. Та часть располагаемой энергии газового потока, которая осталась после этого  (называется свободной), используется  для получения реактивной тяги. Для этого свободная энергия, являющаяся потенциальной, превращается в кинетическую с использованием специального устройства, которым обычно и является реактивное сопло


Теперь подробнее рассмотри сопло Лаваля:

Сопло Лаваля в разрезе


Принцип работы сопла Лаваля

Сопло состоит из трех зон:

1) Верхняя часть. Сразу после турбины, газовый поток попадает в нее и движется с дозвуковой скоростью ( М<1)

2) Критическое сечение. Самая узкая часть сопла. В нем газ разгоняется до скорости равной местной скорости звука ( М=1)

3) Нижняя, расширяющаяся часть сопла. В ней скорость потока газа превышает местную скорость звука ( М>1)


* М - число Маха. Отношение скорости течения в данной точке газового потока к местной скорости распространения звука в движущейся среде.

Можно сделать вывод, что сопло Лаваля ускоряет истечение газов из реактивного двигателя до сверхзвуковых скоростей.


Что это даёт


Очень упрощенно это можно представить так:

Скорость самолета будет тем больше, чем быстрее истекают газы из сопла

Как сопло Лаваля ускоряет поток газа (как можно проще)

Это уравнение непрерывности.При движении газа по соплу изменяются его плотность, скорость, температура, поперечное сечение (А), при этом произведение этих величин остаётся постоянным.

В сечении 1 газ движется с дозвуковой скоростью, подходя к узкой части сопла(критическому сечению) скорость газа начинает увеличиваться за счет уменьшения поперечного сечения и увеличения плотности (множитель А становится меньше и, чтобы сохранялось постоянство скорость и плотность растут)

В критическом сечении (2) скорость становится равна скорости звука в данных условиях. Диаметр критического сечения расчетный параметр и зависит от множества факторов, вплоть до химического состава топлива.

В сечении 3 скорость потока становится сверхзвуковой, хотя на первый взгляд кажется, что она должна быть такой, как в сечении 1 или близкой к этому. Этот парадоксальный результат объясняется тем, что при увеличении поперечного сечения плотность газа настолько сильно уменьшается, что произведение р*А, несмотря на увеличение А, все же уменьшается, что и приводит к увеличению скорости v.


Выводы:

1) При дозвуковом течении газа, так же как и в случае несжимаемой жидкости,  с возрастанием площади сечения трубы скорость движения уменьшается и, наоборот, при уменьшении сечения скорость увеличивается.

2) При сверхзвуковом движении газа в сужающейся трубе движение замедляется, в расширяющейся трубе - ускоряется.

3) Критическое сечение нужно для того, чтобы ускорить движение газа. На входе в сужение трубы газ двигается с дозвуковой скоростью и разгоняется в нем до скорости звука, на выходе, попадая в расширение трубы,  газ разгоняется еще сильнее, до сверхзвуковой скорости.

Об управляемости сопла

При работе сопла Лаваля в непустой среде (чаще всего речь идет об атмосфере) сверхзвуковое течение может возникнуть только при достаточно большом избыточном давлении газа на входе в сопло по сравнению с давлением окружающей среды.


Рассматривая соотношение давления на срезе сопла и давления окружающей среды, выделяют следующие случаи


1)Давление газа на срезе сопла = атмосферное давление — оптимальный режим расширения сопла, при котором удельный импульс достигает максимального значения (при прочих равных условиях)


2)Давление газа на срезе сопла < атмосферное давление — режим перерасширения. Уменьшение степени расширения сопла (несмотря на уменьшение скорости истечения газа) приведёт к увеличению удельного импульса. При проектировании ракетных двигателей первых ступеней ракет конструкторы часто сознательно идут на перерасширение, поскольку с набором ракетой высоты атмосферное давление падает, уравнивается с давлением на срезе сопла, и удельный импульс двигателя возрастает. Таким образом, жертвуя тягой в начале полёта, получают преимущество на последующих его стадиях, что, как показывают расчёты и практика, в сумме даёт выигрыш в конечной скорости ракеты.Однако, при значительном превышении давления окружающей среды над давлением в газовом потоке, в нём возникает обратная ударная волна, которая распространяется против потока со сверхзвуковой скоростью, тем большей, чем больше перепад давления на её фронте, что приводит к срыву сверхзвукового течения газа в сопле (полному или частичному). Это явление может стать причиной автоколебательного процесса, когда сверхзвуковое движение газа в сопле периодически возникает и срывается с частотой от нескольких герц до десятков герц. Для сопел ракетных двигателей, в которых происходят процессы большой мощности, эти автоколебания являются разрушительными, не говоря о том, что эффективность двигателя в таком режиме резко падает. Это накладывает ограничение на степень расширения сопла, работающего в атмосфере.


3)Давление газа на срезе сопла > атмосферное давление — режим недорасширения. Недорасширение означает, что не вся внутренняя энергия газа израсходована на его ускорение и, увеличив степень расширения сопла, можно добиться увеличения скорости истечения газа и удельного импульса. В пустоте (при отсутствии атмосферы) полностью избежать недорасширения невозможно.

Вышесказанное объясняет то обстоятельство, что ракетные двигатели, работающие в плотных слоях атмосферы, как правило, имеют степень расширения меньшую, чем двигатели, работающие в пустоте. Например, у двигателя F-1 первой ступени носителя Сатурн-5 степень расширения составляет 16:1, а RL 10B-2 — двигатель, используемый NASA на ускорителях межпланетных зондов, имеет степень расширения равную 250:1.

Проблема оптимизации степени расширения сопла очень актуальна при разработке авиационных реактивных двигателей, поскольку самолёт предназначен для полётов в широком диапазоне высот, а от удельного импульса его двигателей в сильной мере зависит экономичность и, следовательно, дальность полёта. В современных турбореактивных двигателях применяются регулируемые сопла Лаваля. Такие сопла состоят из продольных пластин, имеющих возможность перемещения друг относительно друга, со специальным механизмом с гидравлическим или пневматическим приводом, позволяющим в полёте изменять площадь выходного и/или критического сечений, и, таким образом, добиваться оптимальной степени расширения сопла при полёте на любой высоте. Регулирование площади проходных сечений выполняется, как правило, автоматически специальной системой управления. Этот же механизм позволяет по команде пилота изменять в некоторых пределах и направление реактивной струи, а следовательно, направление вектора тяги, что существенно повышает маневренность самолёта.

Первым серийным турбореактивным двигателем с регулируемым соплом стал немецкий двигатель Junkers Jumo 004, созданный в Германии в первой половине 1940-х годов и использовавшийся на самолете Ме-262.

Он имел сопло с так называемым центральным телом (кольцевое). Задняя, сужающаяся часть центрального тела (называемая иглой) могла перемещаться в осевом направлении, тем самым изменяя проходное сечение сопла двигателя. При этом менялась тяга и производилась регулировка параметров режима работы двигателя.

Однако такого рода управляемые сопла распространения не получили. Механизм перемещения иглы был ненадежен и требовал сложной системы охлаждения, особенно с ростом температуры газа и появлением форсажных камер

Следующим этапом развития управляемых сопел стали управляемые сужающиеся сопла с подвижными створками

Сопла двигателей самолета Xi’an JH-7.

Такие двигатели позволяли не только значительно повысить тяговую эффективность. Использование диаметра проходного сечения, как регулировочного параметра дало также возможность расширить область устойчивой и безопасной работы турбокомпрессора, облегчить запуск, повысить экономичность двигателя на дроссельных режимах.

Хвостовая часть самолета Ту-128. Сужающиеся управляемые сопла двигателей АЛ-7Ф-2.

На современных, вновь создаваемых скоростных самолетах (и двигателях) используются в основном регулируемые всережимные сопла Лаваля, несмотря на сложность их конструкции.

Итак, подведем итог: Управляемые сопла двигателя нужны, чтобы максимально использовать его тяговые возможности.

Чтобы добиться оптимального режима работы, необходимо обеспечить равенство давлений атмосферного и давления на срезе сопла.

Так как атмосферное давление уменьшается по мере набора высоты и увеличивается при снижении, сопло подстраивается под эти изменения путем уменьшения или увеличения сечения.

Спасибо за внимание!

Показать полностью 12
Реактивный двигатель Сопло Техника Технологии Авиация Самолет Реактивная тяга Ракета Ракетостроение Ракетный двигатель Длиннопост
57
718
WildGeese
WildGeese

Хроники двух неудачных попыток испытания реактивных коньков⁠⁠

3 года назад
Перейти к видео
Хроника Коньки Реактивная тяга Видео
38
411
Randommisha13
Randommisha13
Лига упоротых расчетов

Если сильно напердеть - можно в космос улететь!⁠⁠

3 года назад

Недавно мне в голову пришла мысль рассчитать, на какой скорости необходимо выпустить кишечные газы для придания телу массой с человеческое первой космической скорости (7,91 км/с).

Рассчёт делается по стандартной формуле реактивного движения
(ϑ₂ - скорость ракеты, ϑ₁ - скорость газов, m - масса газов, M - масса ракеты):

Но изменённой для нахождения скорости газов вместо скорости ракеты:

Первым делом нам нужно определить массу ракеты и массу газов.
Масса ракеты определяется относительно просто - первым же ответом гугл выдаёт, что мужчина 20-29 лет при росте 180 см должен весить 85 кг, это значение и возьмём.

С массой газов сложнее. В качестве источника информации я использовал этот пост. В посте не указано кол-во выделяемого за "выхлоп" газа, поэтому я взял указанные среднесуточные 0,5 литра.
Находить массу обычную буду через молярную:

Молярный объём газов при температуре 20℃ - 22,4 литра на моль,
0,5/22,4 = 0,022 моля,
23,36*0,022 = 0,514 грамма или 0,000514 килограмма.
Подставляем в формулу всё известное и получаем…

Или примерно 4,36 световых, придётся поднапрячься.

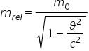
Естественно, такой ответ меня не устраивает, ведь скорость света недостижима для объектов с действительной массой, поэтому обратимся к СТО и её "Эквивалентности массы и энергии". Теперь мы имеем замечательную формулу "Релятивистской массы"
(m₀ - масса в состоянии покоя, ϑ - скорость объекта, с - скорость света в вакууме):

Теперь, подставив формулу релятивистской массы вместо "прямой" массы газов, мы получим:

Всего-то 97% световой - и вы на орбите.

Данный рассчёт, естественно, сильно упрощён и не учитывает, к примеру, сопротивление воздуха, из-за чего если вам удастся развить такую силу, вы, к сожалению, скорее всего не сможете выйти на орбиту.

P.S. Я не слишком разбираюсь, какие ещё теги можно здесь поставить, так что если заметите какие-то ошибки, исправьте пожалуйста. Всем добра.

Показать полностью 5
[моё] Расчет Космос Физика Реактивная тяга Специальная теория относительности Длиннопост Метеоризм Туалетный юмор
98
16
Perevalka
Perevalka

Интересное⁠⁠

3 года назад
Самолет Реверс Тяга Реактивная тяга Гифка
10
Vsehposlav
Vsehposlav

Поехали!!!⁠⁠

4 года назад
Перейти к видео
Юмор Туалетный юмор Реактивная тяга Вертикальное видео Видео
5
4
Balberit
Balberit

Ответ на пост «Внемлите мне, кожаные ублюдки!»⁠⁠1

4 года назад
Ответ на пост «Внемлите мне, кожаные ублюдки!»

Автор Old Hagen

Показать полностью 1
Голубь Реактивная тяга Полет Рисунок Ответ на пост
4
Noimaginator
Noimaginator
Лига Физиков

Новости физики⁠⁠

5 лет назад

Недавно в комментах узнал новое в физике.

Как тебе такое, Илон Маск?

#comment_184063173


Для тех, кто прогуливал физику:

Учебник физики за десятый класс, авторы Мякишев, Буховцев и др.


В общем - не надо быть воинствующим идиотом. Информация доступна, книги никто не запрещает.

Показать полностью 2
Физика Прикладная физика Реактивная тяга Длиннопост
18
Посты не найдены
О нас
О Пикабу Контакты Реклама Сообщить об ошибке Сообщить о нарушении законодательства Отзывы и предложения Новости Пикабу Мобильное приложение RSS
Информация
Помощь Кодекс Пикабу Команда Пикабу Конфиденциальность Правила соцсети О рекомендациях О компании
Наши проекты
Блоги Работа Промокоды Игры Курсы
Партнёры
Промокоды Биг Гик Промокоды Lamoda Промокоды Мвидео Промокоды Яндекс Маркет Промокоды Пятерочка Промокоды Aroma Butik Промокоды Яндекс Путешествия Промокоды Яндекс Еда Постила Футбол сегодня
На информационном ресурсе Pikabu.ru применяются рекомендательные технологии