Tech.spiritus

Tech.spiritus

Топовый автор
Я инженер. Мой сайт http://serkov.me Телеграм канал: https://t.me/serkov_me
Пикабушник
itva Marginallis Murcka
Murcka и еще 45 донатеров
в топе авторов на 95 месте
417К рейтинг 7952 подписчика 372 подписки 461 пост 430 в горячем
Награды:
самый сохраняемый пост недели 5 лет на Пикабу За МегаВнимательность самый комментируемый пост недели более 1000 подписчиков самый сохраняемый пост недели номинант «Книжный пост года – 2018» самый сохраняемый пост недели
101
TECHNO BROTHER

Ретропонедельник №210. 0,25ГД-III

У нас нова радиоточка в виртуальном музее советской бытовой техники. Она не имеет своего имени, и обозначается просто 0,25ГД-III.

Эту радиоточку мне прислал товарищ, у него связано с ней много воспоминаний. Я ее отмыл, заклеил трещину и показываю вам.

Абонентский громкоговоритель «0,25-ГД–III» выпускался Ленинградским государственным заводом радиоизделий с 1957 по 1963 годы включительно. Громкоговоритель не имел какого-то другого наименования, как впрочем о предыдущие изделия завода, кроме указанного в маркировке типа, был стандартным абонентским громкоговорителем 3-го класса и предназначался для сети проводного вещания с напряжением 30 вольт. Основная часть громкоговорителей производилась в стандартном тёмно-коричневом цвете и почти всегда комплектовалась задней стенкой тёмно-серого или чёрного цвета, на которую наклеивалась цветная бумажная этикетка с данными. Аппараты комплектовались разными по рисунку и по цвету радио-тканями. На ручке регулировки громкости имелся логотип завода-изготовителя в виде стилизованной буквы «Р». Размеры громкоговорителя 190х160х90 мм.

В интернете можно найти неповрежденную этикетку.

Меня снова спас @AthosLaFere обработав фото.

Показать полностью 11
258
TECHNO BROTHER

Про обогреватели. Часть 3

Продолжаем серию постов про бытовые обогреватели. (Часть 1 часть 2) Начнем разговор с пожарной безопасности.

В большом количестве пожаров, к сожалению, замешаны обогреватели. Где-то они своим теплом поджигают окружающие предметы, а где-то проводка не выдерживает и предметы загораются уже от неё. Поэтому, чтобы не сгореть в пожаре:

  1. Не включаем обогреватели в удлинители, переноски, тройники и прочие потенциально опасные электроизделия. Идеально — включать обогреватель в отдельную розетку, до которой идёт честный медный кабель сечением 2,5 мм², защищённый автоматом B16. С удлинителями в магазинах беда полная, что даже пришлось писать отдельный пост, мне попадались даже изготовленные из алюминия, крашенного под медь.

  2. Вокруг электроприбора должна быть зона безопасности в метра полтора, в которой не должно быть горючих предметов — одежды, штор, диванов и т.д. Представим самый плохой из возможных сценариев — электрообогреватель ломается с пиротехническими эффектами. Из-за плохого контакта где-то внутри корпуса греется и в конце концов отваливается клемма, падая на соседний проводник, устраивая короткое замыкание. При этом автоматический выключатель неисправен или подобран неправильно, а ток короткого замыкания мал. В таком случае питающий кабель начнёт разогреваться, изоляция начнёт стекать и гореть, пока цепь не оборвётся. И если вокруг не было горючих предметов, то мы увидим только чёрные следы на полу.

  3. Из второго пункта очевидным следует, откуда моя любовь к приборам в МЕТАЛЛИЧЕСКИХ корпусах. Да, они некрасивые и неказистые, но при аварийной ситуации они способны локализовать внутри себя раскалённые докрасна куски, бывшие контактами или элементами конструкции. Приборы с пластиковыми корпусами полностью полагаются на надёжность встроенных термопредохранителей.

  4. Если электропроводка старая или её делали не вы, то перед использованием электрообогревателей её необходимо проверить, позвав грамотного электрика. Особенно опасны в этом плане дачные домики — там часто делалось «из того что было» и людьми с наплевательским отношением к безопасности. Если включение мощного электрообогревателя закончится отгоревшей скруткой где-то в деревянной стене, то считайте легко отделаетесь.

  5. Отопительный прибор должен иметь защиту от опрокидывания. К сожалению, в самых дешёвых моделях такой защиты нет. Если кошка (даже не ваша, а случайно пробравшаяся) уронит прибор на бок, он отключится и не будет перегревать напольное покрытие.

  6. Нежелательно использовать приборы, не способные длительное время рассеивать свою полную мощность (этим грешат масляные радиаторы). Если по какой-то причине контакты термостата слипнутся, а такое редко, но встречается, то прибор будет работать на всю мощность все время, пока его не выключат. И если обогреватель неудачной конструкции, а тем более немного запылён, то он может начать перегреваться: пластиковый корпус начнёт плавиться, масло вскипать, раздувая корпус, и так далее.

Про термостаты


Часто электрообогреватели имеют терморегулятор — термостат. Из названия ясно, что его задача поддерживать температуру в помещении, подключая обогреватель, когда температура падает ниже заданной. Самый простой термостат — механический, с биметаллической пластинкой-контактом. Вот такой:

Такие термостаты широко используются в технике — их можно увидеть, например, в утюгах: именно они время от времени громко щёлкают. Именно из-за их широкого применения они массовые и дешёвые.

Основные минусы:

  1. Контакты искрят и могут иногда отгорать, или наоборот свариваться намертво.

  2. Термостат совмещён с чувствительным элементом, поэтому регулирует температуру себя, находясь внутри обогревателя. То есть в помещении может быть, к примеру, от +16 до +25, зато внутри обогревателя будут стабильные +30.

  3. Реализуется примитивный закон управления — температура упала ниже заданного значения — включаем обогреватель. Температура стала выше заданного значения (+гистерезис) — отключаем. В итоге температура циклически колеблется около заданного значения. Если тепловая инерция велика, то даже после отключения термостата температура продолжит расти некоторое время, превысив целевую.


Как же побороть эти недостатки? Хороший электронный термостат должен иметь:

  1. Твердотельное управление — нагрузку включает и выключает симистор, а не электромагнитное реле. В чём толк заменять механический термостат на электронный, если в последнем всё те же искрящие и сваривающиеся контакты, но только внутри реле? (часто — малогабаритном). Различить их можно по звуку — симистор работает бесшумно, а реле щёлкает при работе.

  2. Возможность подключить выносной термодатчик. Выносной термодатчик позволит регулировать температуру, например, чётко у дивана, хотя конвекторы могут быть размещены на дальней стене. Пример выносного датчика — термостаты для теплого пола. Датчик размещается непосредственно в полу, а термостат — где-то на стене в удобном месте.

  3. Реализовать ПИД-регулирование. (ПИД — Пропорционально-Интегрально-Дифференциальный, термин из теории автоматического управления). Если не вдаваться в математику, только такой алгоритм работы регулятора позволяет поддерживать заданную температуру без ошибки, не шатаясь около целевых значений.


То, что термостат электронный, не означает, что эти функции в нём реализованы. Иронично получить электронный термостат, который выполняет строго те же функции, что и электромеханический, но при этом дороже и менее надёжно.

В рекламных обзорах часто манипулятивно указывается, что преимущество электронного термостата — точность, ведь он позволяет на табло указать целевую температуру до десятых долей градуса. Стоит помнить, что точность и разрешающая способность — вещи разные, а об алгоритме работы, непосредственно влияющей на точность удержания температуры, реклама не говорит. В итоге большинство встроенных в приборы дорогих электронных термостатов с экранчиком, Wi-Fi и т.п. — по факту барахло с реле, которые поддерживают температуру с большой погрешностью, что приводит к повышенным энергопотерям в моменты перерегулирования. Более того, задача обогревателя — создать комфортную температуру. Точно так же, как и у смесителя в ванной: мы убавляем температуру, если горячо, и добавляем — если холодно, пока не найдём комфортное значение. Нам не важно, это 21,15 °C или 22,5 °C, — важно, чтобы выбранная температура поддерживалась стабильно, а не то, какую цифру показывает экран термостата или риска на крутилке.

Поэтому скептически относитесь к «инновационному энергосберегающему цифровому термостату с выходом в интернет за +100500 денег», вы всегда можете включить ЛЮБОЙ электрический обогреватель через внешний термостат и настроить его как заблагорассудится.

▍ «Инверторные» обогреватели


Не могу умолчать об очередном шедевре маркетологов — «Инверторные конвекторы».

Есть «инверторы» — приборы, преобразующие переменный ток в постоянный, с изменением напряжения. Инверторами также называют приборы для получения переменного тока из постоянного, тоже частенько с изменением напряжения. (Сам термин «инвертор» — это калька с англоязычного термина, и я как инженер каждый раз вздрагиваю от его применения, поскольку он строго не определён и может означать в голове говорящего что угодно). Инверторные сварочные аппараты все видели — маленькие и мощные, по сравнению с классическими большими и тяжелыми трансформаторными.

И вот, на обычный конвектор добавляют электронный блок управления с подписью «инверторный», накидывают пару тыс. руб к цене и начинают рассказывать, что этот обогреватель позволяет экономить до 70% электроэнергии просто потому что он умеет регулировать свою мощность.

Проблема в том, что производитель не раскрывает алгоритм работы регулятора (компаратор с гистерезисом или полноценный ПИД?), который напрямую влияет на точность и качество работы. Единственное, что раскрывается в рекламе, что прибор может регулировать свою мощность.

Ирония в том, что начинка инверторных и неинверторных моделей конвекторов идентична. Мощность нагревателя регулируется путем широтно-импульсной модуляции с большим периодом. Если каждые 10 сек включать обогреватель только на 2 сек, это эквивалентно тому, как если бы он все время работал на 20%. Это не какая-то сверхсложная технология, любой промышленный ПИД терморегулятор это умеет.

Более того, любой обогреватель можно сделать «инверторным», просто использовав внешний промышленный терморегулятор, например мегапопулярный REX-C100.

Общие заметки по энергосбережению


Всем хочется экономить, и отопление не исключение. Обогреватели имеют 100% КПД преобразования электричества в тепло — оно всё останется внутри помещения. Поэтому нет разницы, каким обогревателем вы пользуетесь, если им пользуетесь как основным источником тепла в зимний период. Счета за электроэнергию зависят только от величины тепловых потерь помещения через стены, пол, потолок, окна и вентиляцию. Поэтому когда я слышу про «энергосберегающий обогреватель» у меня дёргается глаз — это такой же оксюморон как «сухая вода» или «безалкогольная водка». Как же мы можем повлиять на расход электроэнергии при постоянном отоплении?

  1. Мы можем экономить, уменьшив температуру в помещении, так как тепловой поток через стены зависит от разницы температур внутри и снаружи. Подкрутив термостат в помещении с +25 °C до +21 °C при наружной температуре –20 °C, можно сэкономить порядка 9 %. Или, например, мастерскую можно прогревать только до +15 °C, если работа в ней предполагает энергичное движение. Также влияет неравномерность распределения теплого воздуха. Если потолок высокий, то для комфорта человек выкрутит на термостате +23С, а под потолком скопится горячий воздух на все +40 усиленно теряя тепло через потолок.

  2. Использовать умный термостат с таймером: снижать температуру в помещении, например, до +16 °C, пока все на работе, а затем прогревать его обратно за час до возвращения домой. Или, например, понижать температуру в других комнатах, пока все спят в спальне. В те моменты, когда температура снижена, теплопотери через стены тоже уменьшаются.

  3. Использовать ПИД-термостат, минимизируя ошибку и перерегулирование. Простейшие термостаты с биметаллической пластинкой из-за гистерезиса будут поддерживать температуру около заданной. Проще пояснить картинкой:

Сам картинку рисовал, интересно где украденной всплывет.

Сам картинку рисовал, интересно где украденной всплывет.

  1. В моменты, когда температура выше целевой, потери тепла тоже повышены. Обычно к этому эффекту подводят торговцы «инверторных» конвекторов и разных «умных» термостатов, хотя я не видел ни одного расчета, подтверждающего, что экономия тепла будет значительной, чтобы окупить более дорогое оборудование.

  2. Можно уменьшить теплопотери через вентиляцию. Помните, как заклеивали щели в деревянных рамах, чтобы стало теплее?) С современными пластиковыми стеклопакетами — другая крайность: герметичное помещение, в котором надышали, напукали — повысилась влажность, увеличилось содержание углекислого газа, заболела голова и выпал конденсат по углам. От потребности в 30 куб.м. воздуха с улицы на человека в час нам никуда не деться. Если на улице –20 °C, а в помещении +21 °C, то только на нагрев этих 30 кубометров воздуха нужно тратить порядка 450 ватт. И это на одного человека!

    Решение — использовать рекуператоры тепла для вентиляции. Это устройство, которое забирает тепло из воздуха, выбрасываемого из помещения на улицу, и нагревает им воздух, забираемый в помещение с улицы.

  3. Нагревать не всё помещение, а только необходимое для комфорта. Если попытаться прогреть склад конвекторами, то на полу всё ещё будет холодно, а под потолком будет тропическая жара с большими тепловыми потерями через потолок, так как большая разница температур. В таком случае может быть выгодно подвесить ИК-излучатель и направить его на рабочий стол кладовщика, а остальной склад греть минимально.

  4. Использовать отопительный прибор с подходящей динамикой. Например, в бытовке-раздевалке выгоднее быстро прогреть тепловентилятором воздух непосредственно перед посещением человека на 10 минут, чем использовать масляный обогреватель, который вынужден работать круглосуточно, потому что сам разогревается полчаса, а помещение до *комфортного* состояния протапливает вообще только часа за 4.

Про тепловые насосы.

Этот раздел я не хотел писать, но пикабушники в комментариях часто спрашивали, и упоминания в видео похоже недостаточно. Тепловой насос, это прибор, который использует электроэнергию, для перекачки тепла, часто против воли богов, от холодного тела к горячему. Тепловой насос есть у вас на кухне, холодильник перекачивает тепло из своего внутреннего объема на радиатор у задней стенки. Если разместить теплообменники внутри и снаружи здания, то можно охладить улицу еще сильнее, перекачав тепло в помещение. Тогда КПД станет более 100%, и это единственное исключение! К 1 киловатту тепла, полученного из электричества, может добавиться 2 и более киловатта тепла "перекачанного" с улицы.

Примером такого теплового насоса служит кондиционер, который имеет соответствующий клапан, позволяющий ему менять местами роли теплообменников. Некоторые вполне успешно отапливаются зимой кондиционером, как бы странно это не звучало. Но есть нюансы, про которые важно знать:

  1. Самое важное - эффективность теплового насоса зависит от температуры. В дикие морозы, когда тепло нужнее всего, эффективность теплового насоса более низкая. Свои маркетинговые цифры он выдаст в межсезонье.

2. У теплового насоса есть свой срок службы, у электроэнергии есть цена, у дома есть теплопотери, и есть статистические данные о погоде в вашей местности. А значит НУЖНО АККУРАТНО СЧИТАТЬ! Не во всех регионах нашей страны отопление тепловыми насосами окупится.

3. Если наружный теплообменник забирает тепло у наружного воздуха, то он будет обмерзать и покрываться ледяной шубой, затрудняющей теплообмен. Поэтому автоматика будет регулярно включать обогрев наружного блока для оттайки, а значит не стоит надеяться, что тепловой насос будет работать 100% времени.

4. Тепло можно забирать не только от наружного воздуха, но и из грунта. Для этого на заднем дворе закапывают в грунте много-много труб, которые будут работать теплообменником. Даже в сильные морозы температура грунта стабильная и оптимальная для работы теплового насоса, поэтому для геотермальных тепловых насосов не актуально снижение эффективности в холодную погоду. Но стоимость всех работ по установке весьма солидна, поэтому см п.2

Впрочем на пикабу тепма тепловых насосов поднималась многократно:

Тепловой насос. Личный опыт. Часть 2

Тепловой Насос: купил, поставил, запустил

О тепловом насосе замолвите слово...

Про тепловой насос

Поэтому резюмирую, штука классная, интересная, но без рассчетов не сказать, окупится ли.

Как выбирать обогреватель


Хочется перефразировать меткое высказывание Виталия с канала «Будни сантехника»: Нет правильного или неправильного отопительного прибора, есть подходящие. Прибор стоит выбирать под задачу с учётом всех ограничений, в том числе и экономических.

Мои личные рекомендации таковы:

  1. Лучше угловатый металлический корпус, чем красивый пластиковый. При нештатной ситуации стальной корпус выступит барьером, а пластиковый стечёт.

  2. ТЭН всегда лучше голой нихромовой спирали. А массивное нагретое тело лучше голого ТЭНа. Вообще если нет ограничений по цене и весу — я бы избегал приборов с открытой нихромовой спиралью.

  3. Чаще лучше большой и теплый обогреватель, чем маленький и горячий.

  4. Универсальное правило выбора техники им. Бориса Бритвы актуально — при прочих равных, чем тяжелее — тем лучше. Просто так массу прибора не уменьшить, а снижение материалоемкости всегда приводит к компромиссам.

  5. Не гонитесь за электронными термостатами. И вообще чем меньше «мозгов» в приборе, тем лучше. Электронные термостаты стоит выбирать только когда без него никак, например, работа по таймеру. И не стоит забывать, что термостат можно всегда купить отдельно и включить прибор через него.

  6. Если выбираете обогреватель с инфракрасной лампой — посмотрите, есть ли она в виде запчасти, и сколько она стоит.

  7. НЕ ВЕРЬТЕ производителям, торговцам, когда они говорят, что именно их обогреватель экономит электроэнергию.


Автор не занимается продажами бытовой техники и не аффилирован ни с одним производителем бытовой техники. Поэтому бесполезно просить совета по поводу конкретной модели обогревателя. Я не в курсе ассортимента на полках, и по фото не могу сказать хорош обогреватель или нет, мне нужно посмотреть, что под кожухом.

Показать полностью 4
2539
Инженериум DIY

Ответ на пост «"Фууу, что это за плесень?" или " Как усики из металлов мешают работать электронике?"»2

Тут коллеги, продвигающие инженерный хаб @hubdelo выкатили пост про нитевидные кристаллы (они же "усы", "вискеры"). И почитав комментарии я хочу немного расширить кругозор аудитории. Ну и надеюсь подписанные на меня инженеры поправят меня.

Есть разные интересные явления, про которые уже знают материаловеды. Потому что предшествовало этому "АААааа пиздец все сломалось, мы не знаем почему, все делали правильно!!!!1111" И в процессе дотошного расследования, изучения того, что осталось, натыкались на разные явления. Давайте познакомлю с некоторыми из них:

  1. Оловянная чума.

Олово имеет аллотропные модификации, как например углерод. Алмаз и графит сделаны из одинаковых атомов углерода, но в по-разному построенных кристаллических решетках, поэтому один прозрачен и тверд, а второй черный и жирный. И если есть подходящие условия, то вещество может из одной формы переходить в другую. Так и олово при комнатной температуре находится в виде β-формы ("белое олово"), твердого блестящего металла. При температуре ниже +13С оно может переходить в α-форму ("серое олово") - серого рыхлого порошка, как на фото справа. Но процесс этот крайне медленный, и заметным становится при сильном (-30С) морозе или при наличии загрязнителей. В частности автор этого фото (http://www.periodictable.ru/ горячо рекомендую) для ускорения процесса добавил на правый конец кусочек антимонида индия, как затравку.

С последствиями оловянной чумы столкнулась экспедиция ТерраНова полярника Скотта. Представьте, вы посреди ледяной пустыни возвращаетесь замерзшие, к ранее разбитому лагерю с припасами, а там все топливо вытекло. Потому что жестяные банки тогда запаивали оловом.

Сейчас с этим борются добавками разных металлов. Так достаточно добавить примерно 2% висмута и проблема больше не появится.

2. Нитевидные кристаллы.

Они же "усы", они же "вискеры". Самопроизвольно вырастают из разных покрытий (не только олово, усы дают покрытия из цинка, кадмия, серебра, золота) тончайшие и длинные кристаллики.

Причем, это именно кристаллики - они имеют идеальную структуру, поверхность. Их прочность близка к теоретическому максимуму и ученые мечтают научиться их выращивать по заказу, пока получается с переменным успехом. Но инженеры от них не в восторге, просто посмотрите какой пиздец:

Проектируешь печатную плату, делаешь зазор в 8 мм, что дофига, а тут из лужения спустя несколько лет вырастает такой кристаллик и устраивает короткое замыкание. Причем, в зависимости от цепи, может устраивать как временные, самоустраняющиеся неисправности, если цепь сигнальная, так и стать инициатором дуги, с последующим фейверком. Гарантированного рецепта предотвращения роста усов нет, но есть шаманские практики, соблюдение которых сводит вероятность их появления к минимуму. Например добавление более 3% свинца к олову. Но против этого выступают экологи (гуглить "ROHS"), поэтому приходится снова развлекаться с добавлением висмута.

3. Электрохимическая миграция

Явление, когда при наличии влажности, загрязнений и приложенного напряжения, на катоде начинает расти кристалл металла дендритной формы. Он тоже может устроить короткое замыкание.

Кристаллы появляются только под напряжением, в отличии от усов. При определенных условиях, могут прорастать ВНУТРИ диэлектрика

Рецепт борьбы - тщательная отмывка печатной платы от следов флюса, отпечатков от пальцев. Защита от пыли (которая хорошо удерживает влагу) и покрытие всего защитным лаком. "Безотмывочные" флюсы надо отмывать, если хотите долгой работы:

4. Электромиграция.

С этим эффектом сталкиваются разработчики микросхем. Слои металла там микроскопические, а токи, по местным масштабам, огромные.

Если объяснять суть эффекта пятилетнему ребенку - в металле, между атомов перемещаются электроны. Иногда эти электроны могут дать атому пенделя в сторону своего движения. Если электронов движется много, температура высокая - то вполне можно напинать ощутимую горку атомов в одном месте с образованием ямы в другой.

Поэтому процессор в вашем компьютере может умереть в один прекрасный день, особенно если он горяч, а техпроцесс его тонок. Вообще температура - основной ускоритель процессов, в том числе приводящих к старению и отказу электроники.

5. Диффузия

Вы разработали красивую печатную плату с контактами по краю, и решили шикануть на все деньги и покрыть медные дорожки, в том числе и контакты золотом. Это и защита от коррозии, и обеспечение хорошего контакта, и паяется такая плата отлично. Но что же происходит:

Красивое золотое покрытие очень быстро исчезает - из-за взаимной диффузии меди и золота. Поэтому при покрытии золотом, создают разделительный слой из никеля - он препятствует взаимной диффузии.

Объявляю срач в комментариях открытым) Наде наброшу в виде плашки для донатов:

Показать полностью 12
120
TECHNO BROTHER

Ретропонедельник №209 Балтика

Сегодня в виртуальном музее советской бытовой техники снова радиоточка. Это абонентский громкоговоритель "балтика".

Абонентский громкоговоритель "Балтика" с 1954 года выпускал Ленинградский завод им. Кулакова и Порховской релейный завод в Псковской области. В 1956 дизайн сменили и выпускалась модель вплоть до 1963.

Корпус из дерева. Отказ от дерева в пользу пластика понятен - если из пластика корпус изготавливается в одно прессование, то просто посмотрите на трудоемкость изготовления корпуса из дерева - склейка, шпонирование, окраска....

Задняя стенка типовая - картон.

Ручка регулировки громкости утрачена

Декоративная пластиковая накладка. Радиоткань установлена криво - в него лазили.

Просто посмотрите сколько возни с корпусом при производстве:

Уникальная особенность - регулировка громкости ступенчатая - переключением обмоток трансформатора. Состояние "лежало в неотапливаемом гараже 40 лет"

Динамик

Видны разрывы диффузора, это придется клеить.

Для сгиба по радиусу на фанере сделали засечки

Радиоточка засветилась в фильме "полосатый рейс", висит на стене:

Пикабушник @jonotans скупил наверное все авито:

Благодарю пикабушника @AthosLaFere за помощь в обработке фото.

Показать полностью 17
236
TECHNO BROTHER

Я сделал его! Крепеж квантовой суперпозиции

Я сделал его! Крепеж квантовой суперпозиции
На фото
Всего голосов:

Для тех кто считает, что винт крутят отверткой, а болт ключом - головку можно крутить и отверткой и ключом. Для тех кто руководствуется ГОСТом и считает что винт вкручивается в резьбу в детали, а болт применяется с гайкой - в теле детали я нарезал резьбу и накрутил гайку. Что скажет @AlexeySergeevich?

Показать полностью 1 1
220

Ретропонедельник №208. Чайка-3 (и немного про реставрацию)

Боги контента объявили месячник радиоточек :) Сегодня в виртуальном музее Радиоточка Чайка-3. Корпус я отмыл, на ручке был тооолстый слой жира. Судя по износу скользящего контакта (который уже ремонтировали до меня), пользовались ей долго.

@AthosLaFere не только обработал фото, но и воссоздал оригинальный внешний вид - на ткани была размещена чайка

Видно неоднородный цвет карболита из-за наполнителя. Но на удивление он неплохо сохранился.

Процитирую сайт музея отечественной радиотехники ХХ века:

Абонентский громкоговоритель 3-го класса "Чайка-3" одновременно с 1954 по 1956 год производили два завода в СССР: Московский завод № 43 НКАП, МАП, "Коммунар" (п/я 2407) и Рязанский завод № 463 НКАП, МАП (п/я 168). Оба завода под маркой "Чайка-3" выпускали по 2 разных по дизайну корпуса громкоговорителя с одинаковой элементной базой. Один вариант был с решеткой в виде 3 вертикальных линий на лицевой стороне радио, второй - с фигуркой летящей чайки в окошке под динамик. Оба варианта АГ "Чайка-3" Московского завода "Коммунар" имели одну маркировку: "0,25-ГД-III-3". В рязанских вариантах АГ "Чайка-3" с решеткой маркировалась "0,25-ГД-III-2", а модель с чайкой обозначалась "0,25-ГД-III-3". Громкоговорители "Чайка-3" обоих заводов имели одинаковые размеры 200х140х90 мм и вес 1,4 кг. Корпуса и элементная база АГ "Чайка-3" заводов различались незначительно. В конструкции АГ использовался идентичный регулятор громкости реостатного типа. Громкоговоритель был рассчитан на прием программы проводного радиовещания в диапазоне звуковых частот 150…5000 Гц, но на обоих заводах снабжался универсальным трансформатором, позволяющим работать в сети с напряжением 15 и 30 вольт. Разница лишь в том, что в продукции завода "Коммунар" напряжение сети указывалось в маркировке на задней стенке, а в рязанских АГ оно штампом обозначалась тогда, когда АГ предназначался для сети 15 вольт. Еще с 1953 года Звенигородская колония для несовершенных на базе АГ "Чайка-2" выпускала АГ "Чайка-3" по габаритам больше описанных с маркировкой "ГД 0,25-III-3". Он относился к третьему классу и комплектовался универсальным трансформатором для работы в сети 15 и 30 вольт. В более поздних выпусках этой модели стал использоваться динамик с прямоугольными лепестками корзины. Все экспонаты на фотографиях Сергея Ивановича Ненашева, Москва. Развернутая статья о АГ "Чайка" Сергея Ивановича Ненашева на форуме РТ-20.

Вот эту ручечку я сидел и чистил зубочисткой от слоя грязи. Здесь ручка имеет вклеенный вал. У моделей радиоточек выпущенных позже 60х, ручка насаживалась на вал готового серийного резистора, поэтому часто попадаются радиоточки с утраченной рукояткой. А тут еще ее просто так не снимешь.

Плетение ткани:

Дата производства 1955. Видно, что производитель не сделал отверстие под подвес в центре, что пользователь попытался исправить в меру своих умений.

Внутри обычно пластик в отличном состоянии, и позволяет оценить насколько внешность деградировала от времени и света.

Следы ремонта:

Благодаря помощи @AthosLaFere у меня высвободилось время, поэтому опишу процесс реставрации. Радиоточку разбираем, и замачиваем в воде с неагрессивным моющим средством, например для мытья посуды. Замачиваю минут на 15, затем с щеточкой всю грязь убираем:

Карболит стоек к воде, но если его поверхность разрушена от солнца, то будут вымываться продукты распада. Вода в контейнере была прозрачная. Также он стоек к растворителям, поэтому следы от краски можно смело мыть растворителями. А вот полистирол не стоек, поэтому осторожно - на фото с белой решеткой как раз такая радиоточка, у нее корпус - карболит, а несъемная решетка - полистирол..

После высыхания вас ждет разочарование. Но небольшой слой лака творит чудеса. Если поверхность лишь слегка заматовела - то может хватить просто покрытия воском

Радиоткань приходится заменять. Для радиоточек в принципе сойдет довольно простая, но для радиол нужно искать более нарядную, там она более важная часть эстетики. На фото радиоткань с озона. Еще я нашел в леруа штору, которая в принципе может претендовать на замену радиоткани по текстуре.

Сами динамики тоже часто требуют ремонта - если есть посторонние призвуки из-за перекоса катушки в магнитном зазоре и она задевает магнитопровод, то возможны два пути исправления:

  1. Заталкиваем в зазор трубочку, свернутую из фотопленки - чтобы был гарантированный равномерный зазор. Затем из распылителя мочим бумажный диффузор - бумага слегка размокнет, станет более податливой и есть шанс, что высохнув встанет на место. Руками диффузор при этом мять не нужно, правильное положение обеспечивает пленка в зазоре.

  2. Щупаем руками диффузор, понимаем в какую сторону от нужного положения он ушел и слегка мнем спицы корпуса динамика, для занятия правильного положения катушки.

В более тяжелых случаях без расклейки и повторной склейки не обойтись. Мусор из магнитного зазора вылавливаю клейкими лентами и липкими подушечками типа patafix. У радиоточки из поста пришлось из бронзы вырезать новый скользящий контакт, там ничего сложного - ножницы, плоскогубцы, надфили и пару ударов молотком. Трещины заклеиваю двухкомпонентным клеем, перемешав с наполнителем подходящего цвета - угольная пыль, народ использует перемолотые куски старых корпусов. В чате моего телеграм канала тов. Diasilka подсказал использование какао как наполнителя для коричневых карболитов.

Задняя стенка часто тоже либо утрачена, либо повреждена - делаем новую из ДВП на лазере (да, шрифт не тот, то товарищ @BootSect, прислал верный). Если коричневый торец от лазера критичен, то велком на фрезер и грызть тонкой фрезой сильно дольше. На производстве их вырубали.

На авито реплики задних стенок продают. К сожалению я не нашел, чтобы кто-то в одном месте и бесплатно собирал файлы для изготовления, в такой движухе я бы поучаствовал бы. Задние стенки, что через меня проходят я сканирую, иногда рисую вектор, но что делать с этим дальше я пока не решил. Утраченные рукоятки заменяю на донорские, но идея делать 3Д модель и печатать на фотополимернике заманчива. Фотополимерника только нет.

Для тестов всякого звукового я давно использую суперский трек Bill Kiley - Sinister People. На нем обычно сразу слышны и дребезги, и искажения (благо мелодия из сигналов простых форм).

Уф. Обычно процесс отмывки, ремонта остается за кадром и специально его я не снимаю, чтобы не замедляться.

Показать полностью 18
1217

Про обогреватели. Часть 2

Продолжаем техноликбез про бытовые обогреватели, не смотря на то, что сейчас лето. На очереди Масляные радиаторы. (предыдущие послы серии у меня в профиле)

Чтобы избавиться от сжигания пыли конвектором, нужно понижать температуру нагревателя. Но при сохранении мощности нагрева помещения, этого можно добиться только повышением площади поверхности. Можно было бы просто взять огромную оребрённую металлическую болванку и вставить в неё нагреватель, но это неоправданно дорого из-за дороговизны металла. Поэтому производитель сделал тонкую оболочку с ребрами, как батарею центрального отопления, заполнил теплопроводящей жидкостью и вкрутил внутрь ТЭН.

Так и появились масляные радиаторы — в них как теплопроводящая жидкость используется минеральное масло — оно дешёвое, не замерзает при хранении товара на складе без отопления и не кипит при целевых температурах обогревателя. А ещё оно не ядовито и не вызывает коррозию.

Масляный радиатор практически аналогичен старым добрым чугунным батареям центрального отопления. Часть тепла в помещение он отдает инфракрасным излучением, но большую часть — конвекцией. А ещё у него большое преимущество — нет кожуха, поэтому разложенные сверху носки, варежки, шапки и т.д. не прекращают циркуляцию воздуха — он свободно проходит через секции, в отличие от типовых конвекторов. (Хотя производитель запрещает вообще хоть как-то накрывать масляный радиатор. Вдруг какой дебил его накроет ватным одеялом?)

Благодаря огромной площади поверхности это не горячий прибор — случайное касание не грозит неминуемым ожогом. Огромное преимущество масляного радиатора — это, наверное, единственный обогреватель, который можно протереть от пыли почти полностью! У всех остальных приборов до пыли под кожухами, ограничительными решетками и т.д. добраться сложно. А здесь — тряпочкой протёр — и чисто. Для людей с проблемами со здоровьем, связанными с пылью, это может быть решающим преимуществом.

Но этот тип обогревателя не без недостатков:

  • Огромная тепловая инерция. От момента «пришёл и включил» до «стало тепло, снял шубу» могут пройти часы.

  • Если масло внутри содержит влагу, то может иногда громко щёлкать или потрескивать.

  • Если неосторожно ударить и повредить сварной шов корпуса, может вытечь масло. Такой радиатор придётся выбросить. Но чаще масляным радиаторам гнут кронштейны колес, пытаясь на него облокотиться.

  • Он огромный и тяжёлый. Это может быть недостатком, когда места в квартире мало, а обогреватель нужен только пару дней в году в межсезонье.

  • Может взорваться, если неисправно термореле и защитные термоконтакты. В таком случае ТЭНы греют масло внутри непрерывно и масло может вскипеть, разорвав корпус. Впрочем, это случается не чаще, чем ранение задниц от взрыва газлифтов офисных стульев.

Тепловентиляторы


Тепловентилятор — это попытка сохранить большую мощность обогревателя при малых габаритах. Вместо естественной конвекции, воздух через нагреватель принудительно прогоняется вентилятором. Да, это создаёт шум, но зато тепловентилятор очень быстро прогревает воздух при очень скромных размерах. К тому же струю тёплого воздуха можно направить — тепловентилятор может служить эрзац тепловой завесой, отсекая сквозняк, или согревая именно ноги. Мощные тепловентиляторы часто называют тепловыми пушками.

Конструктивно тепловентиляторы могут быть с нагревателем из нихромовой проволоки:

Это самая дешёвая и простая конструкция, проблема со сгорающей на горячем нихроме пылью усугубляется вентилятором, он бодро всасывает всю пыль с пола, поднятую ногами. Причём обратите внимание, два нагревателя — жадного производителя и не жадного:

Ажурные конструкции из нихромовой проволоки лучше отдают тепло, но плохо переносят тряску, удары и проблемы с циркуляцией воздуха

Более совершенная конструкция — тепловентилятор с нагревателями из ТЭНов. Они чуть медленнее разогреваются при выходе тепловентилятора на рабочий режим, зато меньше сжигают пыль и электрически безопаснее.

И, наконец, — весьма интересный керамический позисторный нагреватель. Это «бутерброд» из электродов-ребер и пластинки проводящей керамики. Если включить её в сеть, она проводит ток и от этого нагревается. Но при температуре около 200-250 градусов электрическое сопротивление резко возрастает — в итоге нагрев останавливается и выше этой температуры не поднимается. Получается саморегулирующийся нагреватель. Такой тепловентилятор не склонен к разрушительному перегреву, если клинит вентилятор или чем-то перекрывается поток воздуха. Но электроды-рёбра находятся под напряжением, так что любопытного ребенка, тыкающего скрепкой в защитную сетку вентилятора, может долбануть.

Недостатки тепловентиляторов:

  1. Шум. Причём на дешевых моделях вентилятор не имеет переключаемых скоростей, поэтому шумит всегда.

  2. Жгут пыль, от чего у некоторых может заболеть голова. Причём у тепловентиляторов с нихромовой спиралью этот эффект выражен максимально, а у моделей с позисторным нагревателем — минимально.

  3. Слишком мощные для маленького помещения. Включил — жарко, выключил — холодно, среднее получить сложно.

  4. Если корпус тепловентилятора пластиковый, то при поломке вентилятора раскалённый нагреватель от окружающего помещения будет отделять только пластиковый корпус, который может весело гореть и плавиться. Хоть о металлический корпус можно обжечься, он видится более надёжным барьером при неисправности.

  5. Тепловентилятор должен иметь датчик опрокидывания: если кот уронит его, и он начнёт дуть в пол струёй воздуха температурой 200 градусов — хорошим это не кончится. Увы, большинство дешёвых тепловентиляторов упрощены до минимума, в том числе в плане защит.

Инфракрасные обогреватели


С этими типами отопительных приборов разобраться сложнее всего из-за количества глупостей, что понаписали прогуливавшие физику копирайтеры в интернете. И здесь придётся показать формулы, чуть-чуть буду их упрощать. Они помогут нам понять логику в конструкции обогревателей. Под инфракрасным обогревателем мы будем понимать обогреватель, для которого основной способ передачи тепла в помещение — излучение.

Любое нагретое тело излучает тепло, и чем горячее тело — тем жарче стоять рядом с ним. Физики этот процесс изучили и появилась формула закона Стефана-Больцмана. Она показывает, как связана мощность суммарного излучения тела с его температурой, она оказалась в зависимости 4 степени от температуры:

Значит, повысив температуру нагревателя в обогревателе в 2 раза, он будет излучать в 16 раз больше тепла в виде инфракрасного излучения. Отсюда важное свойство — чем горячее нагреватель, тем компактнее прибор. На практике это означает, что если нам нужно инфракрасным обогревателем излучить в помещение 1 кВт тепла для компенсации теплопотерь, то требуемая площадь поверхности нагревателя — 1,43 кв. м при температуре 60 °C, 1 кв. м — при температуре 95 °C, и хватит маленькой спиральки накала площадью поверхности 259 кв. мм, если она нагрета до 2600 °C. Это объясняет, почему «теплый керамический обогреватель» вынужденно будет маломощным и огромным.

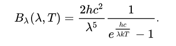
К сожалению, не всё так просто, и есть вторая важная формула, необходимая для понимания зоопарка ИК обогревателей — формула Планка.

При росте температуры нагревателя не только растёт количество излучаемой энергии, но и меняется её спектр. Чем горячее — тем ярче и белее. Цветовая температура у лампочек как раз соответствует свечению абсолютно черного тела с такой температурой) Отсюда следуют следующие выводы:

  1. С ростом температуры растёт мощность излучения. Обогреватель становится легче и компактнее.

  2. Но с ростом температуры спектр излучения смещается из инфракрасного диапазона в видимый, который мешает и отвлекает, поэтому повышать температуру выше 2600 °C нецелесообразно: обогреватель превратится в лампу накаливания, которая своим светом отвлекает, хотя и неплохо греет.

  3. Чем ближе спектр излучения к видимому свету, тем проще его сфокусировать отражателем в луч и направить куда надо. Поэтому для низкотемпературных ИК обогревателей излучение можно направить «примерно вот туда», а у высокотемпературных есть параболический отражатель, позволяющий собрать чёткий тепловой луч.

  4. Чем горячее нагреватель, тем, как правило, ниже его срок службы.

  5. Для инфракрасных обогревателей важен цвет. Реальные предметы — не такие хорошие излучатели инфракрасных волн, как абсолютно черное тело. Поэтому чёрный радиатор излучает эффективнее, чем белый. Верно и обратное — тёмные предметы в инфракрасных лучах нагреваются сильнее светлых. Поэтому проверив рукой, можно подумать «вроде не сильно печёт», а вот чёрная штора на этом же месте может даже дымиться.

  6. Обычная лампа накаливания вполне себе неплохой обогреватель — менее 10% электроэнергии превратится в видимый свет, а остальное — в тепло.


Среди инфракрасных обогревателей наблюдается самое большое разнообразие, и для упрощения понимания я нанёс их на график по степени горячести нагревателя. Надеюсь, это хоть как-то поможет понять, чем они отличаются:

Про «вред» инфракрасных обогревателей


В целом с ИК-излучателями есть одна проблема — неравномерность нагрева. Помните, как сидя у костра рукам тепло, а спина мёрзнет? Та же проблема с ИК-обогревателями, особенно установленными под потолком — шапка уже дымится, а ногам холодно. Терморегуляция организма при таком отоплении сходит с ума — то ли потеть, то ли дрожать. Поэтому СанПиН 001-96 устанавливает предельную величину ИК-излучения от бытовых приборов в 100 Вт/м2.

Иногда можно прочесть страшилки про вредные и полезные длины волн ИК-излучения. И конечно же, производитель тут же предлагает купить обогреватель с «правильной» длинной волны. Страшилка работает неплохо, так как мы что-то слышали про опасный коротковолновый ультрафиолет, который оставляет ожоги на коже, и строим ложные аналогии. Только это всего лишь страшилка.

С точки зрения комфорта, идеальным инфракрасным обогревателем будут большие тёплые (40–60 °C) панели где-нибудь подальше от нас, чтобы излучение от них равномерно окутывало нас. На практике, такое решение было бы слишком дорогим, и приходится смотреть в сторону приборов компактнее и горячее.

Инфракрасные обогреватели можно использовать… на улице. Так как нагревается не воздух, а поверхности, то тепло не исчезает с лёгким порывом ветра. Поэтому существуют уличные ИК обогреватели (чаще с газовым нагревом), которые устанавливают на верандах, в беседках и других подобных местах. Также инфракрасные обогреватели могут быть хорошим решением в ангарах — нагретый воздух быстро устремится под высокий потолок вверх, поэтому рабочее место целесообразнее нагревать ИК излучением.

Какие разновидности ИК обогревателей бывают по типу излучающего элемента:

«Кварцевые конвекторы», или как ещё их назвать


Представляют собой пластину из керамики, внутри которой зацементирована нагревательная спираль. Нагревается до температуры порядка 90 °C и отдает тепло в помещение как излучением, так и конвекцией. Но в силу отсутствия развитого оребрения и плохой теплопроводности керамики конвектор из прибора так себе. Впрочем, из-за низкой температуры мощность излучения тоже невысока. На этом можно было бы закончить, если бы не обильный маркетинг с враньём, которым обмазывают свои изделия некоторые производители. Приборам приписывают магические свойства энергосбережения, экологичности и даже то, что они не сушат воздух (что, как мы знаем из текста выше, — изменение относительной влажности — чисто физический процесс, и не важно, каким образом производится нагрев). В совсем запущенных случаях приплетают мифический «эффект русской печи» и другие фантазии. Если повесить такие обогреватели вместо сопоставимых по размерам конвекторов, можно обнаружить, что они не прогревают ожидаемые площади, ведь их мощность мала.

Преимущества таких обогревателей:

  1. Интересный внешний вид. Можно использовать там, где дизайнер не видит других отопительных приборов. Керамику, в отличие от стального листа, можно изготовить весьма замысловатых форм и расцветок.

  2. Поверхность обычно не горячая, случайное прикосновение не приведёт к неминуемому ожогу.


Особенности:

  1. Низкая мощность — всего около 0,5 кВт на прибор. Соответственно, таких приборов для отопления может понадобиться больше: вместо одного масляного радиатора на 1,5 кВт придётся установить три кварцевых по 0,5 кВт — в зависимости от теплопотерь помещения. Но с другой стороны, установкой большего количества маломощных приборов можно добиться большей равномерности прогрева помещения.

  2. Большая масса — такой обогреватель сложнее перемещать и он дольше выходит на рабочий режим.

  3. Хрупкость керамики — может треснуть от неосторожного обращения, и даже сам по себе от неравномерности нагрева.

  4. Часто завышенная цена на приборы, отдаваемая мощность в пересчёте на рубль стоимости прибора делает их заметно менее притягательными.

  5. Многие приборы имеют паршиво проработанное крепление. Были случаи, когда обогреватель отваливался, падал на пол и прожигал пятно на линолеуме.


По моему мнению эти приборы имеют право на жизнь только из-за разнообразия внешней эстетики. Но, выбирая их, нужно чётко понимать их ограничения: они не являются заменой аналогичных по размеру конвекторов. Ну и, конечно же, смотрите на цену — часто она просто неадекватно высока не из-за технологической сложности изделия, а просто из-за жадности производителя, имеющего космическую маржинальность.

Микатермические обогреватели


Прибор использует миканитовые нагревательные элементы. Если вспомнить, что «мика» по-русски — слюда, то всё становится понятным. Такой нагреватель — это нихромовая проволока в «бутерброде» из слюды, которая является изолятором и плохоньким рассеивателем тепла. Покрытые слюдой ламели разогреваются до температур порядка 300 °C, отдавая часть энергии в виде излучения, остальное — в виде конвекции.

Слюда — материал хрупкий, поэтому ламели нагревателя вынуждены прятать в корпус, подальше от шаловливых ручек. В результате такой обогреватель излучает в горизонтальной плоскости, в маленьких комнатах будет греть только всё ниже столешницы.

В целом получилось странное изделие, особых преимуществ относительно других типов обогревателей не имеет, но его цена выше. Кроме как при помощи фантастической рекламы он не продаётся.


Алюминиевые подвесные (потолочные) ИК-обогреватели


В качестве излучателя в таких обогревателях алюминиевый профиль с запрессованным ТЭНом, нагревающийся до 200-300 °С. Корпус содержит отражатель, теплозащитный кохуж, так что будучи подвешенным под потолком он греет поверхности куда направлен, а не потолок.

Относительно невысокая температура нагревателя делает прибор крупногабаритным, он всегда стационарный. При этом у него большая площадь нагревателя, открытого для прикосновения, поэтому он размещается там, где его точно ничего не заденет. Просты и надёжны, но проблемы, как и у всех ИК-обогревателей, — когда вы стоите под ним: макушке жарко, а ногам — холодно.

Керамические ИК-излучатели

Нихромовая спираль в таких обогревателях спрятана в керамическом корпусе, покрытом глазурью. Поверхность имеет температуру порядка 300-700 °С. Керамика защищает нихромовую спираль от контакта с воздухом, что продлевает срок её службы. Для бытового применения выпускаются с цоколем Е27 — можно вкрутить вместо лампы накаливания и греть например рассаду или террариум (сам плафон должен быть достаточно термостоек). Учитывая невысокую мощность единичного нагревателя (50-100 Вт), для отопления помещения пришлось бы делать огромный массив из таких излучателей. Поэтому обычно они применяются для локального подогрева.

▍ Лампы


В эту группу я объединил инфракрасные обогреватели, где нагреватель так горяч, что его накал виден глазом как жёлтое свечение. Близость излучения к видимому спектру делает их конструктивно похожими на галогеновые прожекторы, только вместо стекла — защитная сетка. Разница только в трубке-лампе.

1. Нихромовая спираль в кварцевой трубке. Нихром на воздухе покрывается защитной оксидной плёнкой и способен долгое время работать при температуре 1000 °С. Кварцевая трубка выступает в роли держателя — раскалённая нихромовая спиралька не провисает, находясь в кварцевой трубке. Аналогичные кварцевые трубки с нихромовой спиралью используются в электрогрилях, микроволновых печах с кварцевым грилем.

2. Карбоновая лампа. Вместо нихрома используется угольная нить, полученная обжигом волокон, как на самых первых лампах накаливания в конце XIX века. Разработаны для промышленности и обладают некоторыми преимуществами, которые бесполезны в быту. А именно — разогреваются до рабочей температуры за 1-2 сек против 5-10 у нихромовых, что необходимо, например, для работы на конвейере. За счёт черноты и большей площади поверхности тела накала имеют чуть большую мощность излучения на единицу длины. Рабочая температура около 1200 °С. Чтобы углеродная нить не сгорела на воздухе — имеют герметичную колбу. При этом гораздо дороже обычных нихромовых нагревателей.

3. Галогеновая лампа. Дальнейший рост температуры нагревателя для увеличения излучаемой мощности требует использовать самый тугоплавкий металл — вольфрам. Рабочая температура 2500 °С. А галогеновой она называется из-за того, что в колбу помимо инертного газа добавлен галоген (бром, йод и т.п.). Он позволяет избежать почернения колбы от испаряющегося со спирали вольфрама, галоген реагирует с вольфрамом в холодной части и переносит обратно на горячую спираль, разлагаясь. Поэтому галогеновые лампы удается сделать горячее = эффективнее и компактнее. От галогенового прожектора видимого диапазона обогреватель с галогеновой лампой отличается только температурой спирали.

Иногда колба лампы может иметь золотое отражательное напыление для направления излучения в одну сторону. Или может быть окрашена в рубиново-красный цвет, чтобы не так отвлекать видимым светом во время работы.

Это тот случай, когда для бытового применения нет разницы, какой тип лампы установлен в обогреватель — все различия проявляются только в некоторых промышленных задачах. Это как продавать в хозяйственном магазине простые лопаты и нержавеющие лопаты с древком из красного дерева: если вам нужно выкопать яму — они все отлично работают. И только при помощи недобросовестной рекламы можно убедить дачника, что ему непременно нужна именно дорогая нержавеющая лопата.

Уф. В третьей части поговорим про пожарную безопасность, термостаты и энергосбережение.

телеграм канал в профиле, форма для благодарности звонкой монетой ниже. третью часть опубликую на следующей неделе.

Показать полностью 14
1255

Про обогреватели. Часть 1

Давненько не делал техпросветных лонгридов. Долго готовил, аж лето наступило. Но как говорится, готовь сани летом! Разберемся с бытовыми обогревателями без маркетинговой чепухи и наркоманских бредней копирайтеров. Осторожно, будут встречаться графики и формулы! Это я делаю бессмысленные действия на картинке для привлечения внимания:

Для Лиги Лени основные тезисы:

  • У всех обогревателей 100% КПД, всё электричество превращается в тепло. Поэтому «энергосберегающий обогреватель» — оксюморон.

  • Если топитесь электричеством, то затраты зависят только от теплопотерь помещения. Волшебного обогревателя, который вам будет экономить 10-20-30%, не существует в природе.

  • Холодный зимний воздух при нагревании становится сухим — это чистая физика. Обогреватель на этот процесс не влияет. Если вам говорят: «Обогреватель не сушит воздух», — вам лгут, возможно, намеренно.

  • Голова будет болеть с любым обогревателем, если не проветривать помещение.

  • Пластиковые корпуса обогревателей — зло. А ещё он должен отключаться при падении на бок и перегреве.

  • Идеального обогревателя не существует — их много разных, так как нет баланса между габаритами, ценой, скоростью нагрева.

Для тех, кто любит слушать - видеоверсия:

Такие разные, но такие одинаковые

Все обогреватели на полке магазинов имеют 100% КПД — всё электричество из розетки они превращают в тепло в помещении. Часть этого тепла передается конвективно (греет воздух), а оставшаяся часть — излучением (греют окружающие предметы). Инженеры, меняя конструкцию, лишь могут менять соотношение этих частей в зависимости от назначения обогревателя, но суммарно тепла выделится ровно столько, сколько было потреблено из сети. (исключение - тепловые насосы)

Второе отличие обогревателей вытекает из первого: разные нагревательные элементы в обогревателях — лишь поиск баланса между ценой, долговечностью и размерами. Где-то покупателю нужен дешевый обогреватель на сезон в бытовку, а кто-то готов раскошелиться на огромный дизайнерский радиатор, который должен работать много лет. Фундаментально важна лишь мощность обогревателя: если она больше величины теплопотерь помещения — вы не замёрзнете.

Понятное дело, это звучит слишком просто — так мы привезённое барахло из Китая не продадим. Поэтому призывают бессовестных маркетологов, и они начинают разные виды обогревателей обмазывать рекламными бреднями. Так появляются «эффекты русской печи», «прибор не сушит воздух», «инновационный инверторный конвектор», «умный энергосберегающий термостат» и прочие мифические явления. Нельзя же написать в рекламе «это самый дешёвый конвектор из минимально приемлемой по толщине жести, но будет жарить на 2 кВт» и «масляный радиатор, будет жарить на те же 2 кВт, но из-за того, что он большой и тяжёлый, не будет горячим и вонять жженой пылью»

Важно просто запомнить — если вы в сезоне обогреваетесь электричеством, то величина счёта от энергосбыта зависит только от теплопотерь самого помещения через стены, окна, двери, вентиляцию и т. д. Нет такого супер инновационного обогревателя, купив который, вы бы стали тратить на 10-20-30% меньше энергии на отопление при постоянном проживании. Закон сохранения энергии не нарушается.

Но разница между разными типами обогревателей есть в динамике — они по-разному выходят на рабочий режим и они по-разному создают ощущение комфорта. Так, в холодной бытовке тепловентилятор нагреет воздух до комфортной температуры, чтобы можно было переодеться, за 10 минут, а масляный радиатор сделает то же самое уже за пару часов, затратив больше энергии — просто потому, что на это уйдёт больше времени. Правда и остывать, обогревая бытовку, он будет дольше. В главе «энергосбережение» разберёмся, как можно экономить, если вы топитесь электричеством. И посмотрим на исключение с КПД более 100%.

Почему ВСЕ обогреватели сушат воздух

В воздухе растворяется влага. С ростом температуры количество влаги, которое может в воздухе раствориться, значительно возрастает. Количество растворённой в воздухе влаги можно выразить в граммах воды на кубометр воздуха, но пользуются более удобным понятием относительной влажности. За 0% принимают абсолютно сухой воздух, а за 100% относительной влажности — воздух, в котором максимально возможное количество влаги. В такой воздух влагу не добавить — она сконденсируется, в таком воздухе даже мокрая тряпка не высохнет. Почти всегда, когда говорят о влажности воздуха, имеют ввиду ОТНОСИТЕЛЬНУЮ влажность воздуха, поскольку именно она влияет на комфорт. Абсолютная влажность воздуха, в г/м3 при изменении температуры, понятное дело, не меняется.

Наглядно это видно на графике, именуемом «психрометрическая диаграмма». Из неё видно, что если взять зимний уличный воздух температурой -15С и относительной влажностью 80%, то когда мы нагреем его до комнатных +20С, его относительная влажность станет всего 6,6%. Это сухой воздух — от него сушит слизистые. Комфортной для человека считается относительная влажность 30-60%. Влажность свыше 70% тоже плоха — есть риск, что в помещении заведётся плесень.

График работает и в обратную сторону — тёплый влажный воздух при охлаждении не может держать в себе воду, и она конденсируется. Так, воздух температурой +20С и относительной влажности 50% содержит 9 грамм воды на кубометр. Если его охладить до уличных -15С, он сможет удержать в себе со 100% относительной влажностью всего 2 грамма воды на кубометр. Оставшиеся 7 грамм воды выпадут в виде конденсата. Поэтому при строительстве домов внимательно рассчитывают теплоизоляцию. Если где-то появится холодная поверхность на пути тёплого воздуха из помещения (в котором мы надышали влаги), начнётся конденсация и в этом сыром месте заведется плесень.

Надеюсь теперь очевидно, абсолютно все обогреватели "сушат" воздух — просто потому, что холодный воздух при нагревании становится суше, в относительном выражении. Этот физический эффект побороть нельзя. Он не зависит от типа обогревателя, каких бы бредней ни писали маркетологи. Сделать воздух снова комфортно влажным можно только принудительным увлажнением. (Когда-нибудь я и про увлажнители напишу)

Измерить относительную влажность воздуха в помещении можно электронным прибором — гигрометром (самые дешевые китайские частенько привирают), либо по старинке — психрометрическим способом. Берут два термометра: один сухой, у второго кончик завернут во влажную ткань. Чем суше воздух, тем сильнее испаряется влага, охлаждая термометр. Смотрят разницу в показаниях и находят влажность по табличке.

Про «сжигание кислорода» и почему болит голова

Распространённая байка, что якобы некоторые обогреватели «сжигают» кислород. Так и хочется спросить — а что с кислородом-то реагирует? Действительно, если стальную проволочку накалить докрасна, она «сожжет» некоторое количество кислорода — железо просто окислится и превратится в окалину. При этом сама проволочка будет истончаться довольно быстро, и такой «сжигающий» кислород обогреватель сам сгорит довольно быстро.

Причиной этого мифа, по-видимому, является то, что от некоторых обогревателей действительно может болеть голова. А причин для этого две:

1. Обогрев, как и охлаждение помещения, не заменяет его проветривания. Человеку необходимо около 30-60 куб.м. воздуха в час. Если углекислый газ, выдыхаемый человеком, копится, то это ухудшает самочувствие, работоспособность.

Если концентрация углекислого газа поднимется более 1000 PPM (Parts Per Million — частей на миллион. т.е. 1000 PPM = 0.1%), будет головная боль. В атмосферном воздухе углекислого газа около 300-450 PPM. Поэтому если забаррикадироваться в помещении, старательно заклеить лентой каждую щель в окне, «от которой сквозняки», надышать углекислого газа, то голова заболит, но виноват в этом не отопительный прибор, а плохая вентиляция.

2. Второй причиной головной боли является… пыль, которая действительно может сгорать. Если в отопительном приборе нагреватель очень горяч (например ИК-лампа или голая нихромовая спираль), то пыль при контакте с нагретой поверхностью может сгорать с выделением всяких неприятных веществ. Особенно этим «грешат» тепловентиляторы, засасывая воздух у пола вместе с летающей там пылью и загоняя на горячую нихромовую спираль. Если вы остро ощущаете этот эффект, как и запах при включении обогревателя, то решением может быть только использование большого и тёплого обогревателя вместо маленького и горячего, температура поверхности нагревателя которого не превышает сотни градусов — например, масляный радиатор.

От общего перейдём к частному, к конкретным конструкциям обогревателей. Я нарисовал вот такую картинку в попытке систематизации:

Конвекторы

Самые технически простые отопительные приборы. Внутри корпуса на теплостойком изоляторе закреплена нихромовая (иногда фехралевая) проволока, собранная гармошкой/спиральной. Электрическим током она нагревается и отдаёт тепло воздуху. Нагретый воздух устремляется вверх, на его место снизу поступает холодный, и таким образом создается конвекция, что и дало название прибору. Чтобы никто пальчики в нагретую проволоку не засунул, вокруг делают защитный кожух с отверстиями для воздуха.

Прибор простой, дешёвый и бесшумный. Но обладает целым рядом недостатков:

  1. Площадь нагретой проволочки очень мала, даже если ее прокатать в ленту. А значит, для обеспечения заданной мощности нагрева (количества джоулей тепла, которое будет отдано воздуху в помещении за секунду) температура нихромовой проволоки должна быть очень высока. А это значит, что при контакте с нагретой поверхностью нихрома будет сгорать пыль! Привет посторонним запахам при работе, особенно после долгого простоя.

  2. Проволока находится под напряжением, и единственное, что защищает человека от удара электрическим током, — заземлённый жестяной корпус.

  3. Из-за кожуха работает строго вертикально. Если сверху на корпус положить варежки или сам корпус положить на бок, конвективное прохождение воздуха нарушается и прибор перегревается — начнет срабатывать термозащита, если предусмотрена производителем.


Такие примитивные приборы надо как-то продавать, поэтому на языке рекламщиков такие конвекторы называются X-stich, «игольчатым нагревателем», если нихром сформован «елочкой».

В разрезе прибор выглядит так:

Попыткой избавиться от части недостатков стали модели конвекторов с ТЭНом. Напомню,
ТЭН — это Трубчатый Электро Нагреватель: нихромовая спиралька помещается в стальную трубку, а зазор заполняется например песком. Такой нагреватель совершеннее и долговечнее — трубка защищает нихром от контакта с воздухом, а песок служит электроизолятором и проводником тепла, распределяя тепло по поверхности защитной трубки. Поверхность ТЭНа не имеет электрического контакта с нагревателем и её можно заземлять.

Чтобы хоть как-то увеличить площадь поверхности нагревателя и тем самым снизить рабочую температуру, на ТЭН закрепляют алюминиевые рёбрышки. Форма этих рёбрышек (Х-образная, с закруглением, волнистые и т.д.) — повод выпятить её в рекламе, преподнеся как некоторое конкурентное преимущество, скрывая истинную причину таких экспериментов — попытка снизить металлоёмкость, сохраняя приемлемую величину теплосъёма. Недостаток у ТЭНов с оребрением один — чем больше разнородных деталей нагреваются вместе, тем больше разных шумов, скрежетов, пощелкиваний будет из-за тепловой деформации.

Чтобы избавиться от пары сталь-алюминий, некоторые производители стали выпускать «монолитный» нагревательный элемент — по сути экструдированный или литой профиль с оребрением, в котором есть полость под нагреватель. ТЭН становится частью конструкции — оболочкой служит не стальная трубка, а алюминиевая стенка детали с ребрами. Такой элемент при нагреве почти не издаёт звуков, так как в нем нет большого числа жёстко скреплённых деталей с разным температурным коэффициентом расширения, что создаёт при нагреве внутренние напряжения и посторонние звуки.

Хороший конвектор (да и вообще любой обогреватель), помимо выключателя и аварийной термозащиты, имеет датчик положения — он отключает прибор при падении на бок, а также термостат, отключающий нагрев при достижении целевой температуры в помещении (но об этом мы ещё поговорим).

уф, пикабу не хабр, придется делить пост на части, иначе снова упрусь в лимит. Не беспокойтесь, все части уже написаны. Ускорить написание других материалов можно поддержав автора добрым словом или донатом. Особо нетерпеливые могут найти статью в блоге RuVDS на хабрахабре, где я опубликовал ее неделю назад. Ну и телеграмм канал сами найдете в профиле.

Показать полностью 8 1
Отличная работа, все прочитано!