Ответ irviny в «Экономические кризисы как естественная часть эволюционного процесса»2
Спасибо, @irviny, ваш развернутый пример полезен и именно подтверждает логику моей серии, потому что он демонстрирует, как один шок (пандемия) взаимодействует с уже накопленными структурными уязвимостями и политическими факторами, порождая длительные изменения - см. подробный разбор в части 8 «Влияние мутаций: инновации и кризисы».
Насчёт причинности: я не утверждаю, что «ковид сам по себе был единственной и достаточной причиной» - кризисы редко имеют единственную причину, они возникают как результат сочетания хронических слабостей и внезапного шока. Пандемия выступила именно как мощный внешний шок, который резко и одновременно ударил по множеству звеньев цепочки: локдауны и карантины уменьшили рабочую силу в портах и на предприятиях, резко вырос онлайн-спрос на потребительские товары, контейнеры и суда оказались в физических местах, не соответствующих новым торговым потокам, логистические очереди и карантинные требования увеличили оборотность судов - в сумме это породило дефицит контейнеров и перепады тарифов. То есть ковид не «создал» предшествующие институциональные и политические трения, но он их выявил и усилил, дав механизму перехода дополнительную энергию - как и любой сильный шок в системной теории, здесь уместен глагол «вызвал». Подробности этой взаимосвязи разбираю в 4.7, 8.6 и 8.7.
Про санкции и контейнеры: санкции, торговые войны и тарифы действительно меняют торговые потоки и усложняют логистику, но временные дефициты контейнеров в 2020-2021 имеют в основе именно логистические и спросовые аномалии (сильный перенос спроса в ритейле, закрытие производств в одном месте и открытие в другом), а также задержки в портах и стоянку флота; санкции - важный фон и фактор перенастройки сети, но не исключают роль эпидемии как триггера. Это пример мультикаузальности: политические факторы и пандемия складывались вместе. См. обсуждение мультифакторных триггеров в 8.2 и 8.7.
Почему цены не вернулись к доковидному уровню: рынки демонстрируют эффект гистерезиса - шоки могут вызвать долговременные отклонения из-за структурных сдвигов. Увеличились издержки: стоимость топлива, затраты на фрахт и страхование, инвестиционные циклы по пополнению флота и контейнерного парка занимают годы; портовая инфраструктура и цепочки поставок не восстанавливаются мгновенно; к тому же бизнес переоценивает риски и закладывает премии за устойчивость и гибкость. Потому «ценовые волны» стали более устойчивыми, пока совокупное предложение не адаптируется и не перестроит распределения активов. Этот момент я разбираю в 8.3 и 8.4.
По локализации производства: утверждение, что «локализация - это только политическое решение», недооценивает экономическую мотивацию фирм. Многим компаниям реальная оценка риска (разрывы поставок, волатильность тарифов, политические риски) показала, что сверх-оптимизированные глобальные сети с минимальными запасами уязвимы; следовательно, наряду с политическими инициативами, коммерческие стратегии стали учитывать ниаршоринг [1], мультисорсинг и буферизацию критических поставок. Это не обязательно полный отказ от глобальной торговли, а перестройка архитектуры устойчивости - темы 8.6 и 8.7.
Про «ИИ не сделан» и «нейросети - это маркетинг»: согласен, что под «ИИ» часто понимают разные вещи, и хайп вокруг AGI [2] мешает разговору об уже реализованных инструментах. Важно различать: речь не о гипотетическом общем интеллекте, а о прикладных моделях и алгоритмах машинного обучения, оптимизации и прогнозирования, которые в логистике и цепях поставок уже применяются - прогноз спроса, динамическая маршрутизация, оптимизация запасов, предиктивное обслуживание и роботы на складах. Эти инструменты, конечно, не безошибочны и требуют человеческого контроля, но они реальные и уже меняют операционную эффективность. Критический разбор возможностей и ограничений таких систем дан в 8.6 и 8.7.
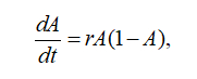
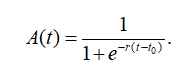
В итоге ваш пример не опровергает мою тезисную линию, а подтверждает её: кризисы - это точки усиленной селекции, где комбинация долгосрочных уязвимостей и краткосрочных шоков формируют новые траектории развития. Спор о том, какой фактор первичен, продуктивен лишь если мы рассматриваем взаимодействия и временные последовательности, это и делает анализ в части 8 практическим, а не абстрактным. Ещё раз спасибо за конкретику - она помогает уточнять аргументы и показывает, где нужны дополнительные эмпирические разборы (см. 8.4 и 8.8).
Касательно «поздравляю, ты нейросеть»: здесь как раз перепутана причинность - большие языковые модели обучались на огромном корпусе научных и аналитических текстов, поэтому их стиль часто напоминает научпоп, когда автор сознательно старается быть точным, логически последовательным и структурированным. Я уже неоднократно сталкивался при подаче научных статей в рецензируемые журналы с ложными подозрениями со стороны системы антиплагиат.ру, которая помечала большие куски статьи как «сгенерированные», хотя это была написанная с нуля работа.
--
Источники
Часть 8. Влияние мутаций: инновации и кризисы
Роль технологических, социальных и финансовых кризисов в преобразовании экономических систем. Анализ примеров внезапных изменений, таких как Великая депрессия, промышленная революция и цифровая трансформация.
8.6 Цифровая трансформация: от локальных изменений к глобальным мутациям
8.7 Взаимосвязь кризисов и инноваций: модели ускоренного роста
--
Пост с содержанием серии: Происхождение экономических систем путём естественного отбора














