Горячее
Лучшее
Свежее
Подписки
Сообщества
Блоги
Эксперты
Войти
Забыли пароль?
или продолжите с
Создать аккаунт
Регистрируясь, я даю согласие на обработку данных и условия почтовых рассылок.
или
Восстановление пароля
Восстановление пароля
Получить код в Telegram
Войти с Яндекс ID Войти через VK ID
ПромокодыРаботаКурсыРекламаИгрыПополнение Steam
Пикабу Игры +1000 бесплатных онлайн игр Что таится в глубинах Земли? Только Аид знает наверняка. А также те, кто доберётся до дна шахты.

Эпичная Шахта

Мидкорные, Приключения, 3D

Играть

Топ прошлой недели

  • solenakrivetka solenakrivetka 7 постов
  • Animalrescueed Animalrescueed 53 поста
  • ia.panorama ia.panorama 12 постов
Посмотреть весь топ

Лучшие посты недели

Рассылка Пикабу: отправляем самые рейтинговые материалы за 7 дней 🔥

Нажимая «Подписаться», я даю согласие на обработку данных и условия почтовых рассылок.

Спасибо, что подписались!
Пожалуйста, проверьте почту 😊

Помощь Кодекс Пикабу Команда Пикабу Моб. приложение
Правила соцсети О рекомендациях О компании
Промокоды Биг Гик Промокоды Lamoda Промокоды МВидео Промокоды Яндекс Маркет Промокоды Пятерочка Промокоды Aroma Butik Промокоды Яндекс Путешествия Промокоды Яндекс Еда Постила Футбол сегодня
0 просмотренных постов скрыто
730
DELETED
Серия Настоящая "зелёная" энергетика (атом, термояд)

Китайский токамак установил новый мировой рекорд по времени удержания плазмы⁠⁠

4 года назад

В пятницу, 28 мая, на токамаке EAST прошел эксперимент, результаты которого крайне важны для мировой термоядерной энергетики. «Китайское рукотворное солнце» разогрело плазму до температуры почти в семь раз выше, чем в недрах природного светила, и удерживало ее на протяжении более чем полутора минут.

Вакуумная камера EAST, вид снаружи / ©Xinhua

Как пишет официальное китайское новостное агентство Синьхуа, максимальная электронная температура (средняя энергия электронов) плазмы достигла 160 миллионов градусов Цельсия. Такие параметры жгута ионизированного газа токамак удерживал 20 секунд. А при 120 миллионах градусов установка проработала 101 секунду.

Китайский экспериментальный термоядерный реактор EAST превзошел предыдущий рекорд длительности более чем в пять раз. Напомним, его установили корейские физики на токамаке KSTAR: они смогли удержать плазму температурой в 100 миллионов градусов на протяжении 20 секунд.

Потрясающих результатов удалось добиться специалистам Института физики плазмы Китайской академии наук (ASIPP). Подробности своего достижения они, судя по всему, опубликуют в рецензируемом журнале, а пока поделились успехом в формате пресс-релиза. Так что детали остаются под завесой тайны. Известно лишь, что на подготовку к эксперименту ушел год непрерывной работы. В конструкцию токамака EAST, расположенного в городском округе Хэфей, внесли множество изменений, позволивших улучшить показатели стабильности плазмы.

Китайский экспериментальный продвинутый сверхпроводящий токамак EAST (Experimental Advanced Superconducting Tokamak) — важный элемент международной кооперации в проекте создания экспериментального термоядерного реактора (ITER). Он представляет собой одну из немногих в мире подобных установок с полностью сверхпроводящей магнитной системой, которую создали на основе ниобий-титановых проводников. На EAST ведутся исследования как можно более долгого удержания высокотемпературной плазмы для технологий термоядерного синтеза.

Вакуумная камера EAST изнутри полностью облицована металлическими плитками. Ее малый радиус — 40 сантиметров, а большой — 1,7 метра. Внизу камеры установили вольфрамовый дивертор, охлаждаемый водой. Максимальная интенсивность тороидального магнитного поля установки достигает 3,5 тесла. Для сравнения: магнитное поле Земли колеблется между 25-65 микротесла, а установки для МРТ — 0,5-1,5 тесла (существуют экспериментальные приборы мощностью до 10,5 тесла). Во время рекордного эксперимента сила тока в плазме превысила 500 килоампер.

Что интересно, этот токамак разработали на базе установки H-7, созданной китайскими физиками в 1990-х при непосредственном участии российских специалистов. Налицо радикальный прогресс технологий Поднебесной: на сегодня EAST — один из самых продвинутых и во многом уникальных реакторов такого типа в мире. Именно полученные во время последнего эксперимента данные могут сыграть ключевую роль в обеспечении работоспособности ITER.

Несмотря на впечатляющие достижения китайских физиков и их коллег по всему свету, даже 120 миллионов градусов на протяжении полутора минут, скорее всего, будет недостаточно для промышленного термоядерного реактора. На ITER, сборка которого наконец-то началась прошлым летом, планируют «зажечь» плазму на 150 миллионов кельвинов и удерживать не менее 400 секунд. А это тоже экспериментальная установка — первый прототип энергетически эффективного реактора создадут только к середине XXI века. Остается завидовать Солнцу, в недрах которого благодаря уникальным условиям (в том числе колоссальному давлению) термоядерные реакции прекрасно протекают при «всего» 12-14 миллионах градусов.

Источник

P.S. Хорошо, что и у нас хоть и с опозданием, но тоже началось осмысленное движение
В России запустили термоядерную установку токамак Т-15МД

Показать полностью 13
Физика ИТЭР Термоядерный синтез Токамак Термоядерный реактор Длиннопост Китай
158
664
LorDZet
LorDZet
Наука | Научпоп

Состоялся физический пуск токамака Т-15МД⁠⁠

4 года назад

P. P. Khvostenko et al. / Fusion Engineering and Design, 2015


В Курчатовском институте состоялся успешный физический пуск токамака Т-15МД, который стал первой за 20 лет новой термоядерной установкой в России. Ожидается, что на нем будут проводиться как эксперименты в рамках проекта термоядерного реактора ITER, так и эксперименты в рамках разработки гибридного реактора, сообщает ТАСС.

Основной целью исследований в области управляемого термоядерного синтеза во всем мире является создание промышленного реактора, который будет способен генерировать электроэнергию, используя реакции слияния ядер изотопов водорода, в частности дейтерия и трития.

Предполагается, что высокоэнергетичные нейтроны, которые рождаются в ходе реакций, будут попадать в бланкет реактора, где отдадут свою энергию теплоносителю или поучаствуют в наработке трития из лития. Однако если в бланкет загрузить различные виды ядерного топлива, например уран-238, торий-232 или минорные актиниды из отработанного топлива, то получится гибридный реактор, который будет способен нарабатывать ядерное топливо или заниматься трансмутацией долгоживущих высокоактивных отходов. Подобные установки привлекательны для ученых, так как требования к ним ниже, чем к термоядерным реакторам.


Т-15МД представляет собой экспериментальный гибридный термоядерный реактор-токамак, который создавался в Курчатовском институте на базе сверхпроводящего токамака Т-15. Ожидается, что в ходе его работы будут проводиться как эксперименты в рамках проекта международного экспериментального термоядерного реактора ITER, так и эксперименты, в которых токамак будет выступать как прототип термоядерного источника нейтронов.

Электромагнитная система и вакуумная камера токамака Т-15МД. Отмечены различные типы управляющих катушек магнитного поля.

P. P. Khvostenko et al. / Fusion Engineering and Design, 2015


Т-15МД не является сверхпроводящим — его магнитная система сделана из серебросодержащего медного проводника с водяным охлаждением. Сам токамак близок к сферомаку (его аспектное отношение равно 2,2), будет работать в импульсном режиме и способен удерживать в течение десяти секунд плазму с максимальным током в два мегаампера. Тороидальное магнитное поле на оси плазменного шнура составит два Тесла. За дополнительный нагрев плазмы будут отвечать инжекторы быстрых атомов, гиротроны, системы нижнегибридного и ионно-циклотронного нагрева, общей мощностью около 20 мегаватт. Вакуумная камера установки сделана из нержавеющей стали, в качестве материала облицовки внутренних стенок и дивертора выбран графит.


18 мая 2021 года в Курчатовском институте успешно прошла церемония физического пуска термоядерной установки Т-15МД, на которой присутствовал премьер-министр Михаил Мишустин. По словам научного руководителя Комплекса термоядерной энергетики и плазменных технологий Петра Хвостенко физический пуск подразумевает собой демонстрацию работоспособности всех технологических систем токамака с получением низкотемпературной плазмы, а дальнейшая работа на установке будет связана с постепенным увеличением тока разряда, и, как следствие, температуры плазмы. Работа с высокотемпературной плазмой начнется до конца этого года.

В беседе с N + 1 научный руководитель АО «НИИЭФА», которое участвовало в создании установки, Олег Филатов отметил, что от старой установки Т-15 осталась лишь инфраструктура, которая модернизируется, а все основные элементы Т-15МД сделаны заново. Сама установка играет одну из главных ролей в национальной термоядерной программе, а результаты, полученные на ней, будут использоваться при разработке будущего сверхпроводящего Токамака с Реакторными Технологиями (TRT), который должен стать полномасштабным прототипом термоядерного реактора и источника нейтронов для гибридного реактора.


Попытки «приручить» термоядерные реакции ведутся как на международном уровне, так и на частном. Подробнее об успехах частных компаний можно узнать из нашего блога и материала.

Александр Войтюк


https://nplus1.ru/news/2021/05/18/t-15-md-start

Показать полностью 1
Наука Токомак Курчатовский институт Длиннопост Термоядерный синтез
139
2
DELETED

Есть ли будущее у управляемого термоядерного синтеза?⁠⁠

4 года назад

Привожу ролик с беседой с д.т.н. И.С.Острецовым на эту тему (https://www.youtube.com/watch?v=BYtTwut1CmQ) . Ролик старый ( 2017 года), а тема - где брать энергию для прогресса человечества старая.

Ключевая информация с 3.00 до 7.00мин.

Ролик будет интересен тем, точнее строго будет интересен только тем кто интересуется данной темой.

Справочно: во время ликвидации последствий катастрофы Чернобыльской АЭС И.С.Острецов был руководителем группы специалистов Минэнергомаша на самой площадке ЧАЭС и по сравнению с руководителями  других таких же групп  привлеченных министерств и ведомств имел наибольшее количество человеко дней работы в 1986-1987 гг в условиях зараженных радиацией  объектов ЧАЭС.

Показать полностью
Термоядерный синтез Критерии Видео
0
4998
EkzarKyn

Советский Тони Старк⁠⁠

4 года назад
Советский Тони Старк
[моё] Аргументы и факты Термоядерный синтез Старая газета Объявление
154
316
Lorie

Управляемый термоядерный синтез: Введение⁠⁠

4 года назад

Почитал комментарии к нулевому посту, подумал и решил первый пост посвятить совсем базовым основам, чтобы в дальнейшем было меньше вопросов. К сожалению, совсем без формул тоже не обойтись, иначе пользы будет от материала не так много.

Единица энергии и температуры электронвольт


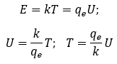
Так уж повелось, что в УТС и в атомарной физике энергию частиц и температуру обычно измеряют в специфических единицах – электронвольтах (эВ, eV). Так вот за 1 эВ принимается энергия, которую наберёт частица с электрическим зарядом равный заряду электрона (qe = 1.6e-19 Кл) при прохождении разницы потенциалов в U = 1 Вольт:

Таким образом, 1 эВ – это очень маленькая величина энергии (1.6e-19 Дж), намного меньше, чем привычный нам Джоуль и уж тем более кВт*час (1 кВт*час = 3’600’000 Дж). В 1 Дж содержится 1/1.6e-19 = 6.25e18 электронвольт.


Теперь про температуру. Энергия частицы связана с температурой (в Кельвинах) через постоянную Больцмана E = kT (k = 1.38e-23 Дж/К). Теперь, сравнивая с предыдущим уравнением, получим:

Откуда 1 градус Кельвина соответствует температуре T_eV = U = k/q_e*T_K = 1.38e-23/1.6e-19*1 = 8.625e-5 эВ, или 1 эВ = 1.6e-19/1.38e-23*1 = 11600 К. Получаем, что 1 эВ соответствует температуре 11600 К, что довольно много.


Характерная температура плазмы в современных термоядерных установках – тысячи электронвольт, или, переводя в привычные нам градусы Цельсия или Кельвина (при таких высоких температурах сдвиг в 273 градуса роли не играет), десятки миллионов градусов.


Разобравшись в единицах измерения энергии и температуры перейдём к ядерным реакциям.



Реакции деления и синтеза


Как известно каждому школьнику, нас окружают предметы, состоящие из молекул и атомов, а те в свою очередь образуются из элементарных частиц: ядра атомов содержат протоны и нейтроны (вместе нуклоны), а электроны – окружают ядра атомов. Каждая элементарная частица обладает энергией покоя, равной произведению массы частица на квадрат скорости света (то самое уравнение Эйнштейна):

Для примера посчитаем энергии покоя нейтрона, протона и электрона (точные значения взяты из википедии):

Наш мир так устроен, что если из протонов, нейтронов и электронов собрать атом, то суммарная энергия покоя атома будет всегда немного меньше суммы энергий покоя его составляющих. Разница между энергией покоя составляющих нуклонов (протонов и нейтронов, электроны можно не учитывать в силу малого вклада) и энергией покоя атома (или просто ядра атома) называется энергией связи нуклонов и для разных ядер (легкие-тяжёлые) она разная.


На рисунке ниже показана зависимость энергии связи нуклонов от суммы всех нуклонов в ядре (для удобства энергия связи поделена на количество нуклонов в ядре):

Из рисунка видно, что максимальная энергия связи в ядрах с количеством нуклонов примерно 60, для лёгких ядер и для более тяжёлых энергия связи меньше. Минимальная энергия связи у водорода, т.к. ядро его состоит только из протона (у протона, что логично, энергия связи равна нулю).


Реакции синтеза – это те ядерные реакции, в результате которых из лёгких ядер получаются более тяжёлые (левая часть рисунка, движение слева направо). Реакции деления – тяжёлые ядра делятся на более лёгкие (правая часть, движение справа налево).


Ядерная реакция, которая будет использоваться в термоядерных установках ближайшего будущего, - реакция синтеза дейтерия (D – изотоп водорода, у которого в ядре 1 нейтрон и 1 протон) и трития (T – изотоп водорода с двумя нейтронами и одним протоном). В результате реакции получается гелий-4 (He4) нейтрон (n):

Теперь посчитаем полную энергию частиц до реакции (D+T) и после (p – протон, n – нейтрон, dE – энергия связи):


До:

После:

Хорошо видно, что суммарная энергия частиц после реакции синтеза немного меньше энергии до. Разница составляет 4684,57-4666,97 = 17,6 МэВ. Причём этот излишек энергии распределяется между гелием 4 и нейтроном обратно пропорционально их массам: у нейтрона будет 14,1 МэВ, а у гелия 4 (альфа-частица) – 3,5 МэВ.


Для сравнения, в результате деления 1 ядра урана-235 образуется торий 231 и гелий-4 и избыточная энергия 4,68 МэВ.



Задача 1


Давайте ради интереса посчитаем, сколько должно слиться ядер дейтерия и трития, чтобы термоядерной энергии хватило для кипячения 1 л воды.


Для нагрева 1 л воды от 20 до 100 С требуется энергии:

Ну и поделив получившееся число на 17,6 МэВ (энергия от синтеза 1 ядра дейтерия и трития) получим, что для кипячения 1 л воды нужно, чтобы в реакцию синтеза вступило 2.1e18/17.6 = 1.2e17 пар частиц.


На первый взгляд это астрономическое число, но учитывая, что дейтерий и тритий очень лёгкие, нам нужно всего:

Т.е. всего 1 нг смеси дейтерия и трития.



Задача 2


Сколько надо сжигать смеси дейтерия и трития, чтобы генерируемая мощность была 3.2 ГВт (тепловая мощность реактора РБМК-1000)?

Получается, что каждую секунду должно проходить 1,14e21 реакций синтеза дейтерия и трития или переведём в более привычные нам единицы измерения (микрограммы):

А за 1 год нужно будет полученные значения умножить на 365*24*3600 = 31’536’000 сек:

Это уже что-то более ощутимое, правда? 300 кг смеси дейтерия и трития должно сгореть за год, чтобы была термоядерная станция с тепловой мощностью 3,2 ГВт.


Мировое производство дейтерия – десятки тысяч тонн в год (согласно википедии), значит с дейтерием у нас проблем не будет. А что с тритием? А вот с тритием проблемы. В настоящее время трития в год производится всего несколько килограмм, а для энергетического реактора этого крайне мало. Значит нужно развивать ещё технологию производства трития. Кстати, на iter отдельным пунктом стоит отработка технологии наработки трития.



На этом конец введения. В следующей заметке посмотрим на сечение термоядерной реакции и разберём два принципа построения установок для управляемого термоядерного синтеза – с магнитным удержанием и инерциальных.

Показать полностью 13
[моё] Термоядерный синтез ITER Длиннопост
36
76
Lorie

Про термоядерный синтез⁠⁠

4 года назад

Думаю написать пост или возможно серию постов про управляемый термоядерный синтез (магнитное удержание). Какие темы были бы вам интересны или на какие вопросы хотели бы получить развёрнутые ответы (в рамках разумного)?


Постараюсь отвечать понятным языком для людей со школьным образованием, без специальных знаний.


ITER (картинка из интернета www.iter.org):

Про термоядерный синтез
[моё] Термоядерный синтез Токамак ITER Плазма
65
1222
shebuk
shebuk

Термоядерный синтез: чудо, которое случается⁠⁠

4 года назад

Несмотря на то, что проблеме термоядерного синтеза более полувека, человек только приближается к ее решению. Почему так случилось и успеем ли мы подобрать ключ к этой реакции до полного истощения ископаемых топлив?

Оптимизм — штука хорошая, но несамодостаточная. Например, по теории вероятности, на каждого смертного иногда должен падать кирпич. Поделать с этим решительно ничего нельзя: закон Вселенной. Выходит, единственное, что вообще может выгнать смертного на улицу в столь неспокойное время, — это вера в лучшее. А вот у работника сферы ЖКХ мотивация сложнее: его на улицу толкает как раз тот самый кирпич, который норовит на кого-то упасть. Ведь работник об этом кирпиче знает и может все исправить. Равновероятно может и не исправлять, но главное, что при любом решении голый оптимизм его уже не утешит.


В таком положении в XX веке оказалась целая отрасль — мировая энергетика. Люди, уполномоченные решать, решили, что уголь, нефть и природный газ будут, как солнце в песне, всегда, что кирпич сидит крепко и никуда не денется. Допустим, денется — так есть термоядерный синтез, пусть пока и не вполне управляемый. Логика такая: открыли его быстро, значит, так же быстро покорят. Но годы шли, отчества тиранов забывались, а термоядерный синтез не покорялся. Все только заигрывал, да требовал больше обходительности, чем имели смертные. Они-то, кстати, ничего не решали, были себе тихонечко оптимистами.


Повод заерзать на стуле появился, когда о конечности ископаемых топлив начали говорить публично. Причем, какая она, конечность, непонятно. Во-первых, точный объем еще не найденных нефти или, скажем, газа подсчитать довольно трудно. Во-вторых, прогноз осложняется колебаниями цен на рынке, от которых зависит скорость добычи. И, в-третьих, потребление разного горючего непостоянно во времени и пространстве: например, в 2015 году мировой спрос на уголь (это треть всех существующих энергоносителей) впервые упал с 2009 года, но к 2040 году, как ожидается, резко возрастет, особенно в Китае и на Ближнем Востоке.

Мы для наглядности возьмем прогноз МЭА (Международного энергетического агентства) и наметим границу в 40–270 лет. Представим, что затем ископаемые топлива иссякнут.


Другой недостаток ископаемых топлив, обнаруженный с опозданием, — вредные выбросы. При сжигании угля, нефти и природного газа вырабатываются углекислый газ, угарный газ и остальные гадости, которые попадают в атмосферу. Чем больше в атмосфере таких летучих веществ, тем меньше солнечного света Земля отражает обратно в космос и тем страннее погода.


Ситуация с выбросами стала настолько щекотливой, что недавно МГЭИК


(Межправительственная группа экспертов по изменению климата) объявила ультиматум: отказаться от ископаемых топлив к 2100 году. Иначе изменения климата станут необратимыми.

Что получается: максимум за 270 лет мировая энергетика должна сойти с рельс нефти, угля и природного газа (пока 80 процентов электроэнергии генерируется благодаря им) и пересесть на что-то другое — безопасное, с высоким КПД и чтобы не било по карману. Цена — момент, первостепенный для развивающихся стран, включая Россию, где спрос на электроэнергию растет быстрее, чем ВВП. Страшно представить, что ждет тех, кто и в ОПЕК (Организация стран-экспортеров нефти) не состоит. Но ближе к делу, вернее, к «Нагану» грядущей энергетической революции — управляемому термоядерному синтезу.


Назло Кулону


Как мы помним, простейшее атомное ядро состоит из положительно заряженного протона и отрицательно заряженного электрона. Если к атомному ядру, скажем, водорода «прицепить» один нейтрон, получится изотоп — дейтерий. Если «прицепить» два нейтрона, получится другой изотоп — тритий. При этом с каждым новым нейтроном зарядовое число и химические свойства водорода будут оставаться прежними, а вот массовое число (сумма протонов и нейтронов) и физические свойства — меняться. Возможность конструировать атомные ядра, управляя их физическими свойствами, и интересует ядерную физику.


Для запуска термоядерного синтеза нужно сблизить два изотопа с небольшим зарядовым числом, допустим дейтерий и тритий, до расстояния одного атомного ядра, чтобы те «слиплись» и образовали новое, более тяжелое ядро, в нашем примере — гелия-4. По эйнштейновской формуле E=mc2 это приведет к высвобождению огромного количества энергии, часть которой (что характерно — большая) достанется одинокому нейтрону: при столкновении дейтерия и трития он улетит и никогда не вернется. Кстати, сведение ядер — первая проблема синтеза, и небольшое зарядовое число ее упрощает.

Схема термоядерного синтеза для дейтерия и трития. / © Sarah C.


Дело в том, что одноименно заряженные атомные ядра вообще-то сводить нельзя — действует кулоновское отталкивание. Поэтому газ дейтерия и трития приходится разгонять в вакууме, нагревая до температур свыше 100 миллионов градусов Цельсия. С атомов в результате слетают электронные оболочки, и газ переходит в состояние плазмы, состоящей только из заряженных частиц, что позволяет помыкать ей с помощью магнитных ловушек. На самом деле для современных установок 100 миллионов градусов не предел, правда, максимальное «время удержания энергии» в пекле, вдвое меньшем, пока не превышает и 102 секунд.


Компромисс между временем удержания плазмы и скоростью реакции — вторая проблема термоядерного синтеза. Подходов к ее решению целых два, по числу основных типов реакторов: квазистационарные (стеллараторы и токамаки) и инерциальные. Первые — это полые «бублики», в которых газ нагревается током и изолируется от внутренних стенок за счет магнитных полей. Вторые — «шарики», в них замороженные изотопы одновременно поджигаются и сдавливаются лазерами. Отличие в том, что токамаки и стеллараторы рассчитаны на долгую работу с разреженной плазмой, а «импульсные» — на «выстрелы» по упакованной смеси.

Строение токамака (слева) и «обычного» стелларатора (справа). / © Deutsche Physikalische Gesellschaft


Пытливый читатель, конечно, заметил: термоядерные реакторы уже существуют и даже разные. Тогда почему мы топим баню дровами, а не плазмой?


Звезды, война и физик-самоучка


Чтобы прочувствовать боль, которую причиняет ученым решение термоядерной головоломки, мысленно пройдем их путь. В 1934 году американский физик советского происхождения Георгий Гамов, разглядывая звезды, задался вопросом: что делает их горячими миллионы лет? На фоне недавнего открытия нуклонов и общего подъема ядерной мысли он закономерно рассудил, что дело в ядерных реакциях. Гипотезу Гамова спустя четыре года развил американец Ханс Бете. В центре Солнца, считал Бете, ядра водорода сталкиваются, превращаясь в изотопы, а затем и в другие элементы. Разница их массовых чисел и зажигает светило.


Шел 1938 год. Пока романтики рассуждали о мироустройстве, политики начинали аншлюс и готовились к холодной войне. В 1941 году американец итальянского происхождения, один из двух «отцов» цепной ядерной реакции Энрико Ферми предложил коллегам по Манхэттенскому проекту подумать над бомбой не распада, то есть атомной, а синтеза, то есть водородной. Идея Ферми страшно понравилась Эдварду Теллеру, причем по двум причинам: он любил трудности и был любопытен, а задача расщепления атомных ядер на тот момент была наполовину решена (первый ядерный реактор заработал уже в следующем, 1942-м, году). Неинтересно.

Эдвард Теллер. / © mithattosun.com


Роберт Оппенгеймер такого энтузиазма не разделял. Но сформировал из «проблемных» адептов термоядерной гипотезы запасной отряд под руководством Теллера. Когда «проблемный» математик Станислав Улам описал возможный алгоритм термоядерного синтеза, исследования вышли в практическое русло. И в 1951 году, через шесть лет после испытаний ядерного, США провели предварительное и спустя год — полномасштабное испытание термоядерного заряда. Топливом для него служили жидкие изотопы водорода, которые затем, ради увеличения мощности, заменили на твердотельный дейтерид лития-6 и -7.


Советский прототип термоядерного оружия, получивший уютное название «Слойка», был готов к 1949 году, а в 1950-м физик-самоучка Олег Лаврентьев — для разнообразия — высказался в пользу промышленного термоядерного синтеза. Неплохо бы, мол, не только ломать. Через несколько месяцев, одновременно с американцами, Игорь Тамм и Андрей Сахаров додумали концепцию Лаврентьева, предложив закольцевать движение плазмы в медном «бублике» и изолировать ее магнитными ловушками. В том же, 1951-м, году астрофизик Лайман Спитцер построил первый в мире образец термоядерного реактора — стелларатор.


Надо сказать, упоминание национальностей тут неслучайно. Гонка вооружений тормозила термоядерную энергетику не меньше, чем оптимизм и кулоновское отталкивание. В результате у СССР, который собирал водородную бомбу на позициях отстающего, свой термоядерный реактор появился только в 1954 году, и это был токамак. В типах реакторов тоже прослеживается идеология, или, если угодно, экзистенциальный подход: исторически так вышло, что стеллараторы были скорее американскими; токамаки — скорее советскими. Забегая вперед, скажем, что теперь эта тенденция неактуальна.


С другой стороны, именно запрос военных подстегивал физиков на научные революции. Следующие несколько лет мир сотрясали в основном локальные конфликты, поэтому термоядерная энергетика, лишенная той самой, глобальной обходительности, болталась в свободном плавании.


Сделаем еще одно отступление. Формально стеллараторы считались и считаются более прогрессивными, чем токамаки. Тому есть несколько причин. Во-первых, в стеллараторах плазму нагревают и удерживают только внешние токи и катушки. В токамаках розжиг происходит за счет электрического тока, протекающего в плазме и одновременно создающего дополнительное магнитное поле. Из-за этого в «бублике» токамака возникают свободные электроны и ионы уже со своими магнитными полями, которые норовят разрушить основное поле, сбить температуру и вообще все испортить.


Во-вторых, камеры стеллараторов не просто «бублики», а «мятые бублики»: в отличие от токамаков, у них нет азимутальной симметрии. При этом катушки на «мятых бубликах» стеллараторов имеют винтообразную, вложенную форму (на токамаках они прямые и параллельны друг другу) и «закручивают» силовые линии, то есть подвергают их вращательному преобразованию. Это тоже стабилизирует плазму и еще — отодвигает теоретический предел оптимального давления в камере. А квадрат давления примерно пропорционален скорости реакции. Чем выше давление, тем быстрее все произойдет.

Внутри тороидальной камеры JET. / © Idom


Стеллараторы доминировали ровно до 1969 года, когда температура плазмы (объемом всего в один кубический метр) в советском Т-3, первом и единственном токамаке, достигла рекордных трех миллионов градусов Цельсия, что лишь в пять раз меньше температуры в центре Солнца. Отрицая реальность происходящего, британские физики вызвались проверять результаты эксперимента, но, увы, чудо случилось. История с Т-3 ввела на токамаки моду: они понятнее и дешевле в строительстве. И в 1983 году в Великобритании был достроен крупнейший из ныне существующих термоядерных реакторов этого типа — JET.


Объем плазмы в JET составил уже около 100 кубических метров. За 30 лет он установил серию рекордов: решил первую проблему термоядерного синтеза, разогрев плазму до 150 миллионов градусов Цельсия; сгенерировал мощности в 1 мегаватт, а затем — в 16 мегаватт с показателем энергоэффективности Q ~ 0,7… Соотношение затраченной энергии к полученной — третья проблема термоядерного синтеза. Теоретически для самоподдерживающегося горения плазмы Q должен перевалить за единицу. Но практика показала, что мало и этого: на самом деле Q должен быть более 20. Среди токамаков Q JET пока остается непокоренным.

Строительная площадка ITER весной 2016 года. / © ITER Organization


Новой надеждой отрасли стал токамак ITER, который прямо сейчас всем миром строят во Франции. Показатель Q у ITER должен достигнуть 10, мощность — 500 мегаватт, которые для начала просто рассеют в пространстве. Работы над этим проектом ведутся с 1985 года и должны были закончиться в 2016 году. Но постепенно стоимость стройки выросла с 5 до 19 миллиардов евро, и дата ввода в эксплуатацию отодвинулась на 9–11 лет. При этом ITER позиционируется как мостик к реактору DEMO, который, по плану в 2040-х годах, сгенерирует первое «термоядерное» электричество.


Биография «импульсных» систем была менее драматичной. Когда в начале 1970-х годов физики признали, что вариант с «постоянным» синтезом неидеален, то предложили вычеркнуть из уравнения удержание плазмы. Вместо этого изотопы должны были помещаться в миллиметровую пластиковую сферу, та — в золотую капсулу, охлажденную до абсолютного нуля, а капсула — в камеру. Затем капсула синхронно «обстреливалась» лазерами. Идея в том, что если нагреть и сдавить топливо достаточно быстро и равномерно, то реакция произойдет еще до рассеяния плазмы. И в 1974 году частная компания KMS Fusion такую реакцию получила.

Золотая капсула NIF. / © Lawrence Livermore National Laboratory


Спустя несколько экспериментальных установок и лет выяснилось, что с «импульсным» синтезом не все так гладко. Равномерность сжатия оказалась проблемой: замороженные изотопы превращались не в идеальный шар, а в «гантелю», что резко снижало давление, а значит, и энергоэффективность. Ситуация привела к тому, что в 2012 году, через четыре года работы, от безысходности едва не закрылся крупнейший инерциальный американский реактор NIF. Но уже в 2013 году он сделал то, чего не удалось JET: первым в ядерной физике получил в 1,5 раза больше энергии, чем израсходовал.


Сейчас, помимо крупных, проблемы термоядерного синтеза решают «карманные», чисто экспериментальные, и «стартаперские» установки самых разных конструкций. Иногда и у них получается совершить чудо. Например, недавно физики из Рочестерского университета превзошли поставленный в 2013 году рекорд энергоэффективности в четыре, а затем и в пять раз. Правда, новые ограничения на температуру розжига и давления при этом никуда не делись, да и эксперименты проводились в реакторе, примерно втрое меньшем, чем NIF. А линейный размер, как мы знаем, имеет значение.


Зачем так напрягаться, недоумеваете вы? Чтобы было понятно, чем термоядерный синтез так привлекателен, сравним его с «обычным» горючим. Допустим, в каждый момент времени в «бублике» токамака находится один грамм изотопов. При столкновении одного дейтерия и одного трития выделяется 17,6 мегаэлектронвольта энергии, или 0,000 000 000 002 джоуля. Теперь статистика: сжигание одного грамма дров даст нам 7 тысяч джоулей, угля — 34 тысячи джоулей, газа или нефти — 44 тысячи джоулей. Сжигание же грамма изотопов должно привести к выбросу 170 миллиардов джоулей тепла. Столько весь мир потребляет примерно за 14 минут.


Нейтроны-беженцы и смертоносные ГЭС


Более того, термоядерный синтез почти безвреден. «Почти» — потому что нейтрон, который улетит и не вернется, забрав часть кинетической энергии, покинет магнитную ловушку, но далеко уйти не сможет. Скоро непоседа будет схвачен атомным ядром одного из листов бланкета — металлического «одеяла» реактора. Ядро, «поймавшее» нейтрон, при этом превратится либо в стабильный, то есть безопасный и относительно долговечный, либо в радиоактивный изотоп — как повезет. Облучение реактора нейтронами называется наведенной радиацией. Из-за нее бланкет придется менять где-то каждые 10–100 лет.


Самое время уточнить, что схема «сцепления» изотопов, описанная выше, была упрощенной. В отличие от дейтерия, который можно есть ложкой, легко создать и встретить в обычной морской воде, тритий — радиоизотоп, и искусственно синтезируется за неприличные деньги. При этом хранить его бессмысленно: ядро быстро «разваливается». В ITER тритий будут получать на месте, сталкивая нейтроны с литием-6 и отдельно добавляя готовый дейтерий. В результате нейтронов, которые попытаются «бежать» (вместе с тритием) и застрянут в бланкете, будет еще больше, чем могло показаться.

Типы радиоактивного излучения. / © Mirion Technologies


Несмотря на это, площадь радиоактивного воздействия термоядерного реактора будет пренебрежимо мала. Ирония в том, что безопасность предусмотрена самим несовершенством технологии. Поскольку плазму приходится удерживать, а «топливо» добавлять снова и снова, без надзора со стороны система проработает от силы несколько минут (плановое время удержания у ITER — 400 секунд) и погаснет. Но даже при одномоментном разрушении, по мнению физика Кристофера Ллуэллина-Смита, выселять города не придется: из-за низкой плотности плазмы трития в ней будет всего 0,7 грамма.


Разумеется, на дейтерии и тритии свет клином не сошелся. Для термоядерного синтеза ученые рассматривают и другие пары: дейтерий и дейтерий, гелий-3 и бор-11, дейтерий и гелий-3, водород и бор-11. В трех последних никаких «убегающих» нейтронов и вовсе не будет, а с парами водород — бор-11 и дейтерий — гелий-3 уже работают две американские компании. Просто пока, на нынешнем витке технологического невежества, сталкивать дейтерий и тритий чуть легче.

Да и простая арифметика на стороне новой отрасли. За последние 55 лет в мире произошло: пять прорывов ГЭС, в результате которых погибло столько, сколько на российских дорогах погибает за восемь лет; 26 аварий на атомных электростанциях, из-за которых погибло в десятки тысяч раз меньше людей, чем от прорывов ГЭС; и сотни происшествий на тепловых электросетях с бог весть какими последствиями. Зато за время работы термоядерных реакторов, кажется, ничто, кроме нервных клеток и бюджетов, пока не пострадало.


Холодный ядерный синтез


Каким бы крошечным он ни был, а шанс сорвать куш в «термоядерную» лотерею будоражил всех, не только физиков. В марте 1989 года два достаточно известных химика, американец Стэнли Понс и британец Мартин Флейшман, собрали журналистов, чтобы явить миру «холодный» ядерный синтез. Работал он так. В раствор с дейтерием и литием помещался палладиевый электрод и через него пропускали постоянный ток. Дейтерий и литий поглощались палладием и, сталкиваясь, иногда «сцеплялись» в тритий и гелий-4, вдруг резко нагревая раствор. И это при комнатной температуре и нормальном атмосферном давлении.


Перспектива получать энергию без головомойки с температурой, давлением и сложными установками была слишком заманчива, и на следующий день Флейшман и Понс проснулись знаменитыми. Власти штата Юта выделили на их исследования «холодного» синтеза 5 миллионов долларов, еще 25 миллионов долларов у Конгресса США запросил университет, в котором работал Понс. Ложку дегтя в историю добавляли два момента. Во-первых, подробности эксперимента появились в The Journal of Electroanalytical Chemistry and Interfacial Electrochemistry только в апреле, спустя месяц после пресс-конференции. Это противоречило научному этикету.

Стэнли Понс (слева) и Мартин Флейшман (справа). / © Paul Barker


Во-вторых, у специалистов по ядерной физике к Флейшману и Понсу возникло много вопросов. Например, почему в их реакторе столкновение двух дейтронов дает тритий и гелий-4, когда должно давать тритий и протон или нейтрон и гелий-3? Причем проверить это было просто: при условии, что в палладиевом электроде происходил ядерный синтез, от изотопов «отлетали» бы нейтроны с заранее известной кинетической энергией. Но ни датчики нейтронов, ни воспроизведение эксперимента другими учеными к таким результатам не привели. И за недостатком данных уже в мае сенсация химиков была признана «уткой».


Несмотря на это, труд Понса и Флейшмана внес в ядерную физику и химию сумятицу. Ведь что произошло: некая реакция изотопов, палладия и электричества привела к выделению положительной энергии, точнее, к спонтанному нагреванию раствора. В 2008 году похожую установку журналистам показали японские ученые. Они помещали в колбу палладий и оксид циркония и под давлением накачивали в нее дейтерий. Из-за давления ядра «терлись» друг о друга и превращались в гелий, выделяя энергию. Как и в эксперименте Флейшмана-Понса, о «безнейтронной» реакции синтеза авторы судили только по температуре в колбе.


У физики объяснений не было. Но могли быть у химии: что если вещество изменяют катализаторы — «ускорители» реакций? Один такой «ускоритель» якобы использовал итальянский инженер Андреа Росси. В 2009 году он вместе с физиком Серджио Фокарди подал заявку на изобретение аппарата для «низкоэнергетической ядерной реакции». Это 20-сантиметровая керамическая трубка, в которую помещаются порошок никеля, неизвестный катализатор и под давлением накачивается водород. Трубка нагревается обычным электрокалорифером, частично превращая никель в медь с выделением нейтронов и положительной энергии.


До патента Росси и Фокарди механику «реактора» не разглашали из принципа. Потом — со ссылкой на коммерческую тайну. В 2011 году установку начали проверять журналисты и ученые (почему-то одни и те же). Проверки заключались в следующем. Трубку нагревали на несколько часов, измеряли входную и выходную мощность и изучали изотопный состав никеля. Вскрывать было нельзя. Слова разработчиков подтверждались: энергии выходит в 30 раз больше, состав никеля меняется. Но как? Для такой реакции нужно не 200 градусов, а все 20 миллиардов градусов Цельсия, поскольку ядро никеля тяжелее даже железа.

Андреа Росси во время испытаний аппарата для «низкоэнергетической ядерной реакции» (слева). / © Vessy’s Blog


Ни один научный журнал итальянских «волшебников» так и не опубликовал. Многие довольно быстро махнули на «низкоэнергетические реакции» рукой, хотя последователи у метода есть. Сейчас Росси судится с правообладателем патента, американской компанией Industrial Heat, по обвинению в краже интеллектуальной собственности. Та считает его мошенником, а проверки с экспертами — «липой».


И все же «холодный» ядерный синтез существует. Он действительно основан на «катализаторе», — мюонах. Мюоны (отрицательно заряженные) «выпинывают» электроны с атомной орбитали, образуя мезоатомы. Если столкнуть мезоатомы с, например, дейтерием, получатся положительно заряженные мезомолекулы. А так как мюон в 207 раз тяжелее электрона, ядра мезомолекул будут в 207 раз ближе друг к другу — того же эффекта можно добиться, если нагреть изотопы до 30 миллионов градусов Цельсия. Поэтому ядра мезоатомов «сцепляются» сами, без нагрева, а мюон «прыгает» на другие атомы, пока не «увязнет» в мезоатоме гелия.

К 2016 году мюон научили совершать примерно 100 таких «прыжков». Затем — либо мезоатом гелия, либо распад (время жизни мюона — всего 2,2 микросекунды). Овчинка не стоит выделки: количество полученной от 100 «прыжков» энергии не превышает 2 гигаэлектронвольт, а на создание одного мюона нужно 5–10 гигаэлектронвольт. Чтобы «холодный» синтез, точнее, «мюонный катализ», был выгодным, каждый мюон должен научиться 10 тысячам «прыжков» или, наконец, перестать требовать от смертных слишком много. В конце концов, до каменного века — с пионерскими кострами вместо ТЭЦ — осталось каких-то 250 лет.


Впрочем, в конечность ископаемых топлив верят не все. Менделеев, например, отрицал исчерпаемость нефти. Она, думал химик, — продукт абиотических реакций, а не разложившихся птеродактилей, поэтому самовосстанавливается. Слухи об обратном Менделеев вменял братьям Нобель, которые в конце XIX века замахнулись на нефтяную монополию. Вслед за ним советский физик Лев Арцимович и вовсе выражал убежденность в том, что термоядерная энергетика появится только тогда, когда будет «действительно» нужна человечеству. Выходит, Менделеев и Арцимович были хоть лицами и решающими, а все же — оптимистами.


И в термоядерной энергетике мы на самом деле пока не нуждаемся.

Источник: Naked Science


Читайте также:

– Тайна гибели «Курска»;

– Синдром Снежаны: как социальные сети повышают самооценку;

– Как устроена атомная подлодка.

Показать полностью 10
[моё] ИТЭР Термоядерный синтез Энергетика (производство энергии) Длиннопост Наука
139
96
sigma.3He
sigma.3He
Наука | Научпоп
Серия Пара слов о физике плазмы

Пара слов о плазме и УТС, приложение. Не бит, не крашен⁠⁠

4 года назад

Продавал ли кто-нибудь на Авито термоядерную установку? Куда, вообще, переставить её с балкона, если она занимает там слишком много места?

...вообще говоря, крупные экспериментальные установки в физике уж если где-то поставлены, то там они и остаются, пока их не разберут на металлолом и полезные запчасти. Но случаются исключения, и они выглядят... Необычно. За всю историю экспериментов по магнитному удержанию плазмы десяток токамаков (про них было в части 4) переехал с места на место. Какие-то машины ездили из Москвы в Ленинград или Душанбе, какие-то заносило в Иран или Ливию. Список всех существовавших машин с их судьбой можно посмотреть тут [1], а краткая подборка переехавших машин пробегала в новостях ИТЭРа [2]. Почему бы не собрать тут несколько фотографий, не добавляя в этот раз излишней сложности?

1100 км. Compass (-D) → Compass

На заглавной фотографии краном вытаскивают из зала в Калэме (Великобритания) именно этот токамак. С 1989 года на нём изучали влияние формы плазменного шнура на удержание. В 2000 закончили, переключившись на сферический токамак MAST. А в 2006 продали Чешской академии наук за что-то около 1 фунта, разобрали и увезли. В 2008 запустили заново, уже в Праге [3, 4].

В чешской программе он сменил токамак CASTOR. Тоже бывший в употреблении. Compass-U, уже новую, а не подержанную машину, чехи планируют запустить примерно через год.

Вот здесь британский учёный:

А это уже в Праге:

1700 км. ТМ-1 → TM-1-MH/CASTOR → GOLEM

Машина пережила целых два переезда. Токамак малый, номер первый, был построен в Курчатовском институте в 1962 году и был одной из установок, с которых и началась история токамачных исследований. В 1975 — когда токамаки в Курчатовском институте стали не такими маленькими — установка была подарена Чехословацкой академии наук и уехала в Институт физики плазмы в Праге. Там к ней сначала прикрутили СВЧ-нагрев, потом систему стабилизации обратными связями и изучали их, пока не переключились на Compass.

После этого, в 2006 году, токамак уехал в Чешский технический университет — тоже в Праге — и стал токамаком GOLEM, на котором учат студентов [5-7].

Вот здесь он ещё ТМ-1:

Тут он уже CASTOR:

А здесь — GOLEM:

1400 км. Т-4 → ТМР

3150 км. ТМ-4 → LIBTOR

В одних источниках говорят, что токамак ТМ-4, работавший в Курчатовском институте в 1969-73 годах, уехал в Триполи, и там стал токамаком LIBTOR. Другие утверждают, что он уехал в Сухуми и стал токамаком ТМР. Судя по фотографиям, первая версия правильная, а в Сухуми уехал Т-4 [8].

ТМР, судя по данным, которые удаётся найти, прекратил работу в 90-х из-за гражданской войны и отсутствия специалистов.

LIBTOR, судя по всему, прекратил работу в 10-х из-за гражданской войны и отсутствия специалистов.

Это магнитная система (малого) ТМ-4:

Это (большой) Т-4

Это ТМР в Сухуми

6500 км. Т-7 → HT-7

Ещё одна машина, которую строили в Москве в конце 70-х. Этот токамак уехал в Хефей (Китай) не целиком — в HT-7, работавшем с 1993 до 2013, были использованы только катушки.

7700 км. ASDEX → HL-2M

Токамак построили в Гархинге, Германия. Работал там с 1983 до 1990 года и изучал H-моду. В 1995 был подарен за самовывоз Китаю, разобран, упакован, перевезён и собран в Southwest Institute of Physics в Ченду (Сычуань). С конца 2002 года снова работал — уже под именем HL-2A. [9, 10]

Вообще говоря, его модернизацией должен был стать токамак HL-2M — его запустили меньше месяца назад, и об этом недавно была небольшая волна постов — но, пока проектировали, заменили в проекте все запчасти и место, в котором стоит токамак. Судя по обрывочным сведениям, со старой машины на новую планируют перетащить всяческий нагревной и диагностический обвес, а в остальном всё сделано с нуля.

Это ещё в Германии, сборка дивертора.

А эта фотография сделана в Китае, идёт чуть менее прецезионная работа по сборке камеры.

На этой фотографии аккуратно собирают внутренние системы уже на HL-2A.

6000 км. HT2B → IR-T1

Токамак, который работал с 1983 до 1992 года в Хефее, а потом уехал в Тегеран. Здесь уже Китай не принимал, а отправлял бывшую в употреблении машину.

В пост не попала и половина из того, что куда-то переезжало; но остановимся на этом и не будем дальше раздувать пост — а желающие могут пройтись по ссылкам [1, 2, 11], там есть и другие машины.


Источники иллюстраций:

[1] http://home.clara.net/balshaw/tokamak/conventional-large-tok...

[2] https://www.iter.org/newsline/-/3033

[3] http://www.ipp.cas.cz/vedecka_struktura_ufp/tokamak/tokamak_...

[4] https://www.fusionenergybase.com/project/compass-d

[5] http://elib.biblioatom.ru/text/yadernaya-industriya-rossii_1...

[6] http://www.ipp.cas.cz/vedecka_struktura_ufp/tokamak/tokamak_...

[7] http://golem.fjfi.cvut.cz/wiki/

[8] http://era-sfti.ru/plpychtexn.html

[9] https://www.ipp.mpg.de/3870124/asdex

[10] https://www.ipp.mpg.de/ippcms/eng/presse/archiv/11_02_pi

[11] https://alltheworldstokamaks.wordpress.com/gallery-of-extern...

Показать полностью 18
Наука Физика Термоядерный синтез Термоядерный реактор Токамак Плазма Историческое фото История науки Длиннопост
22
Посты не найдены
О нас
О Пикабу Контакты Реклама Сообщить об ошибке Сообщить о нарушении законодательства Отзывы и предложения Новости Пикабу Мобильное приложение RSS
Информация
Помощь Кодекс Пикабу Команда Пикабу Конфиденциальность Правила соцсети О рекомендациях О компании
Наши проекты
Блоги Работа Промокоды Игры Курсы
Партнёры
Промокоды Биг Гик Промокоды Lamoda Промокоды Мвидео Промокоды Яндекс Маркет Промокоды Пятерочка Промокоды Aroma Butik Промокоды Яндекс Путешествия Промокоды Яндекс Еда Постила Футбол сегодня
На информационном ресурсе Pikabu.ru применяются рекомендательные технологии