Научные железяки: разбираем анализатор энергии электронов
Если пройтись по научным станциям на синхротроне, то на многих из них можно заметить общие элементы: вакуумные камеры, трубы, фольга, куча проводов и разбросанные инструменты.
Но сейчас нас интересуют вон те блестящие полусферы. Кое-где они "голые", но во многих местах прикрыты фольгой, как и другие вакуумные камеры.
Небольшое отступление:
Фольга в вакуумной технике используется для теплоизоляции при прогреве вакуумных камер. Стальная камера обматывается снаружи нагревательным элементом, например проводом с высоким сопротивлением, и прогревается до 120С в течении нескольких часов (обычно от 12-ти часов до пары суток). Чтобы прогрев был более равномерный, снаружи "наматывается" несколько слоев обычной алюминиевой фольги. Она служит теплоизолятором и удерживает горячий воздух возле стенок камер. При нагреве с внутренней поверхности камеры испаряется адсорбированная вода. После охлаждения до комнатной температуры в камере можно получить вакуум на несколько порядков выше, чем без прогрева. Для вакуума до 10e-7 мбар можно и не греться, но всё, что лучше, требует прогрева. По-английски процесс называют bake-out - отжиг или прогрев.
Беглый взгляд на обмотанные фольгой камеры и трубы позволяет определить, какие части оборудования работают под высоким вакуумом. Теперь вы сможете легко находить высоковакуумное оборудование на фотографиях из любой лаборатории планеты.
Вернемся к загадочным "грибам".
Это - полусферический (кто бы мог подумать!) анализатор энергии электронов:
Тут надо зайти издалека.
Есть несколько методов исследования вещества, при которых из подопытного образца вылетают электроны разной энергии. Например, если на любой материал посветить, как в нашем случае, ультрафиолетовым или рентгеновским лучом, то из материала полетят "выбитые" излучением электроны (кстати, за объяснение этого эффекта, называемого "фотоэффект", Эйнштейн получил Нобелевскую премию, а не за теорию относительности). И не только они, там есть еще куча вторичных процессов, в результате которых вылетают электроны других энергий и даже вторичное излучение. Но сегодня нас интересуют только электроны.
Точно зная, какая часть электронов какой энергией обладает (т.е. зная энергетический спектр электронов), можно не просто определить химический состав, но и определить типы связей, отслеживать химические реакции и т.д. Например, по положению пиков на спектре можно определить тип соединения:
Такой способ изучения вещества называется фотоэлектронной спектроскопией. К названию еще добавляют тип излучения. В нашем случае это рентгеновская фотоэлектронная спектроскопия (X-Ray Photoelectron Spectroscopy - XPS). Результатом такого измерения является энергетический спект электронов. Примерно, как на картинке ниже (картинка из Интернета):
Тут по вертикали отложено количество отсчетов (количество электронов), а по горизонтали - их энергия связи (а если смотреть слева направо, то кинетическая энергия) в электрон-вольтах. Но в волшебный мир спектроскопии мы погрузимся в другой статье, а сейчас вернемся к железякам.
Как этот самый спектр получить? Нужно как-то умудриться померить энергию (ну или скорость) каждого электрона, который вылетает из образца. Тут применен широко распрострнненный подход: разницу в одной величине, которую сложно измерить (в нашем случае энергия) нужно однозначно преобразовать в разницу в другой величине, которую померять намного проще (в нашем случае - в координату, т.е в расстояние, которое мы померяем линейкой).
Если электрон (заряжен отрицательно) будет лететь между двумя заряженными пластинами, то он будет отклоняться в сторону положительно заряженной (этим занимается сила Лоренца). Причем, отклоняющая сила заряженных пластин не зависит от скорости электрона - она одинаково поворачивает и быстрые и медленные электроны. Это означает, что быстрые электроны полетят по бОльшей дуге, чем медленные. В качестве аналогии можно представить наклонную плоскость, по которой поперек склона катают шарики (рисунок а). Шарик с большей начальной скоростью прокатится дальше, чем медленный шарик. Измерив расстояния, на которое прокатился шарик, можно вычислить его начальную скорость. Только вместо шариков у нас электроны, а вместо гравитации - электрическое поле.
Чтобы электроны не ударялись в нижнюю пластину, ее можно согнуть дугой (рисунок б). Верхнюю пластину при этом тоже придется завернуть - нам нужно, чтобы электрическое поле между пластинами было равномерное, т.е. расстояние между ними везде должно быть одинаковым.
В самом низу мы поставим экран с люминофором, в который будут ударятся электроны и создавать светящиеся точки, прямо как в старых телевизорах. Медленные электроны будут давать точки в верхней части экрана. Чем быстрее электрон, тем ниже будет точка на экране. Линейкой можно не измерять - сейчас ставят камеру и подсчитывают яркость и положение пикселей на изображении.
После изгибания пластин у нас получился цилиндрический спектрометр.
Теперь представьте, что электроны летят не только в плоскости рисунка, но и под углом к нему. Чтобы они не задевали внутреннюю пластину, ее нужно закруглить и в перпендикулярном направлении, т.е. использовать не цилиндр, а полусферу. Кроме этого, мы не хотим, чтобы в наш спектрометр залетали какие попало электроны с разных направлений, поэтому перед входом мы поставим устройство со сложным названием "апертура". А по простому - дырка (да-да, я в курсе, что дырки в медицине, а в технике отверстия). А перед апертурой мы поставим настоящий объектив, почти как на фотоаппарате, только электростатический, а не стеклянный. Вот такая штука получилась в итоге (картинка из Википедии):
На картинке выше все электроны прилетают в одну точку, потому что у них одинаковая энергия. Задача объектива - собрать электроны, летящие под небольшим расходящимся углом и сфокусировать их в точку на экране. Напряжение на полусферах выбирается так, чтобы электроны с определенной кинетической энергией, называемой pass energy, прилетели ровно в середину экрана. Электроны с другой энергией попадут в другую область экрана, и, измерив отклонение с помощью камеры, можно будет вычислить их начальную энергию.
Теперь вооружимся гаечными ключами и шестигранниками и приступим к разборке:
Этот старичок очень даже заслуженный. На его счету открытие в 2001 году эффекта Рашбы на поверхности магнитных металлов (O. Krupin - Rashba effect at magnetic metal surfaces. Physical Review B), от которого даже журнал Nature был в шоке.
Анализатор уже отстыкован от вакуумной камеры и лежит на столе. В нижней части из выкуумной трубы торчит "хобот" электростатических линз. В верхней - видна задняя панель видеокамеры. В центре - оранжево-коричневая ручка, которая вращает диск с набором апертур. Еще видны три электрических разъема.
Кладём его "хоботом" вниз и откручиваем 36 болтов М10:
Это вовсе не та полусфера, на которую подается потенциал, а корпус вакуумной камеры. Спектрометр работает в высоком вакууме, иначе электроны быстро рассеются на молекулах газа и либо вообще не долетят до экрана, либо прилетят не в то его место, куда положено.
Вон тот торчащий вверх маленький фланец с окошком находится как раз напротив линз и апертуры. Через него можно посмотреть глазом на образец и прицелится для точной настройки держателя.
Снимаем крышку:
Медная выкуумная прокладка остается на крышке и тут её не видно. Зато у нас тут снова какая-то кастрюля, а не полусфера.
Во всех наших рассуждениях выше мы использовали электрическое поле и ни разу не упомянули магнитное. А оно тоже входит в силу Лоренца и поворачивает летящие электроны. Причем, тем сильнее, чем быстрее электрон. В общем, оно нам сильно мешает в такой красивой конструкции спектрометра.
Так вот: эта кастрюля - магнитный экран. Она сделана из "мю-металла" - вида пермаллоя. Это магнитомягкий сплав никеля, железа и меди с очень большой магнитной проницаемостью (она обозначается греческой буквой мю - μ - отсюда и название). Кожух из такого материала значительно ослабляет внешние магнитные поля, и ничто неучтенное электроны не поворачивает.
Откручиваем красивые болтики из медь-бериллиевого сплава и снимаем магнитный экран:
И, внезапно, под ним еще одна кастрюля - магнитный экран. Да еще и на 36-ти мелких болтиках, а не на 12-ти, как предыдущая. Тут мои нервы не выдержали и я пошел пить кофе.
В правой части фотографии видна "крышка" магнитного экрана от первой "кастрюли". Она экранирует магнитное поле со стороны линз и создает почти полностью закрытый объем. Но магнитное поле Земли, ослабленное даже первым экраном в 10-20 раз, всё равно вносит значительные искажения в работу спектрометра. Его нужно ослабить еще во столько же раз. Для этого и установлен второй магнитный экран. Вообще, двойное магнитное экранирование - это стандартный подход во многих измерительных системах. Такое решение позволяет ослабить внешние поля в 100 и более раз - с 50 микротесла естественного поля Земли до примерно 0,5 мкТ. А если экран правильно отожжен и по нему никогда не стучали, то и до 0,1 мкТ. Тут еще нужно не забывать, что и без естественного поля вокруг спектрометра полно стальных деталей, электромоторов и кабелей.
Снимаем и второй магнитный экран:
Уже интересней. Эта блестящая алюминиевая деталь и есть внешняя полусфера. Точнее, полусфера выполнена на её внутренней стороне, а это мы видим наружную сторону, на которой сделаны проточки для уменьшения веса. В принципе, можно было и не протачивать, а оставить целый цилиндр. Также видны провода, идущие от разъемов и кое-какая механизация:
Откручиваем еще четыре болта, спрятанных в опорах, и отстыковываем спектрометр от корпуса и магнитной защиты. Вот он на столе:
Справа - колонна электростатических линз.
Хорошо видны изолирующие проставки между металлическими цилиндрами. Каждый цилиндр подключен проводом к блоку управления, который управляет потенциалом, изменяя параметры оптики.
Вот картинка, иллюстрирующая принцип работы электростатической линзы:
Это просто металлические трубки с разным потенциалом. В зазорах между трубками линии электрического поля искривляются к оси, и электрон (или любая другая заряженная частица) отклоняется. Изменяя потенциал на каждой трубке можно изменять параметры оптики. Тут важно запомнить, что линзы - это не сами трубки, а промежутки между ними. В нашем случае у нас шесть зазоров - оптика несколько более сложная, чам на картинке.
На самом деле система линз отвечает не только за фокусировку/увеличение, но и за изменение скорости электронов.
Когда выше мы рассматривали принцип работы анализатора, то указали, что центральная траектория соответствует электронам определенной энергии (называемой pass energy). Для того, чтобы получить спектр с высоким разрешением, эта центральная энергия выбирается небольшой и составляет, обычно, от 10 до 50 электрон-вольт. Это означает, что электроны, которые летят быстрее или медленнее, просто не попадут на люминофор, так как ударятся во внешнюю или во внутреннюю полусферу соответственно. До люминофора долетают только электроны, чья энергия отличается от энергии центральной траектории не больше, чем на 10%.
А теперь представим, что мы хотим снять с высоким разрешением спектр энергии электронов от 150 до 1000 эВ. Мы можем выставить нашу центральную энергию на 50эВ и не изменять её. А с помощью линз замедлять все электроны на 100 эВ. Таким образом у нас по центральной траектории полетят те электроны, чья начальная энергия (до замедления) была 150 эВ, и мы получим кусочек спектра для энергий от 145 до 155 эВ (начальная энергия ± 10% от pass energy ). Теперь можно замедлять на 110 эВ и снять спектр для энергий от 155 до 165 эВ. Таким образом управляя торможением электронов можно просканировать весь диапазон интересующих нас энергий и соединить их в общий спектр. Всё это делается автоматически, пользователь только указывает интересующие его параметры спектра.
На самом деле электроны в системе линз не только замедляются, но и ускоряются. Фокусировка выполняется на бОльшей энергии, а торможение происходит уже перед входом в полусферы.
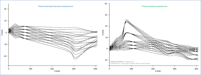
Ниже приведены графики кинетической энергии электронов вдоль их траектории внутри спектрометра для двух разных режимов работы оптики:
Мы видим, что на входе в первую линзу энергии электронов одинаковые. В самом конце пути они тоже одинаковые, однако координаты электрона вдоль всего пути и на экране будут разные для этих режимов:
Тут видно, насколько сильно могут меняться настройки оптики.
Вернемся к нашему спектрометру:
Слева в круглом окне немного виден люминофор, на котором и будут светиться точки. В центре находится диск, к которому прикреплена пластина с отверстиями разного размера. Её край виден выше и правее. Вращая диск той самой ручкой, которую мы видели снаружи, можно расположить напротив линз апертуру нужного размера. Левее к диску пружиной прижимается ролик, который фиксирует диск в определенном положении и не позволяет ему свободно вращаться.
Пришло время отстыковать внешнюю полусферу и заглянуть внутрь:
Слева - внутренняя полусфера, справа - внешняя. Как вы заметили, это не совсем-то и полусферы, а какие-то концентрические ступеньки. Но это не так уж и важно - при мелком шаге ступенек достаточно того, чтобы их огибающая была сферой. Поле на небольшом удалении будет равномерным, а изготовить такие ступеньки намного проще, чем вытачивать полусферу.
Поверхность выглядит почти черной - она покрыта углеродным напылением. Дело в том, что те электроны, которые не долетают до экрана, а врезаются в полусферы, выбивают из поверхности вторичные электроны. А вот они уже вполне могут долететь и засветить экран в любых местах, испортив измерение. Для исправления ситуации на металлические поверхности наносят углеродное покрытие, которое снижает коэффициент вторичной электронной эмиссии.
Выше полусферы видна поворотная пластинка с набором щелей разной ширины (от 0,2 до 4 мм). Она дублирует точно такую же пластинку на обратной стороне и прикреплена к тому же поворотному диску. Ниже мы видим то место, в которое попадают электроны. И тут стоит очень хитрое устройство - микроканальная пластина:
Дело в том, что один электрон вызывает очень слабое свечение люминофора, поэтому его надо как-то размножить. Вместо массива фотоэлектронных умножителей используется пластина с наклонными микроканалами, покрытыми материалом с высоким коэффициентом выхода вторичных электронов:
На верхнюю и нижнюю поверхность пластины нанесены электроды, к которым прикладывается напряжение для ускорения вторичных электронов. Одиночный электрон, пролетевший через анализатор, попадает в один из каналов и вызывает лавину вторичных электронов. А под пластиной уже стоит люминофорный экран, в котором эти вторичные электроны вызывают яркое свечение. Коэффициент умножения электронов (до десяти тысяч) регулируется напряжением на электродах. Разрешение получаемого изображения - порядка 50 точек на миллиметр.
Вот и всё устройство анализатора. Ну, кроме блоков управления и софта, конечно. Еще нужно упомянуть, что в объективе установлены отклоняющие пластины, с помощью которых можно немного сдвигать центральную траекторию. Но в этот раз линзы мы не разбирали, поэтому фото пластин не покажу.
Вот так апертура выглядит при взгляде сквозь линзы:
А вот так это выглядит в работе при взгляде на исследуемый образец окно вакуумной камеры:
Большой конус слева - это элемент первой линзы анализатора (тут анализатор другой модели, и форма линзы другая). В центре - круглый диск диаметром 8 мм. Это - исследуемый образец. На него светит луч рентгеновского излучения из синхротрона и выбивает электроны. Но камера, как и глаз, в рентгеновском диапазоне не видит, поэтому и яркого пятна на образце не видно. А вот если туда поместить кусочек, к примеру, иттрий-алюминиевого граната, легированного церием, (Ce:YAG - красивые желтые "стёклышки"), то на нем будет яркое светящееся пятно в том месте, куда попадает рентгеновский луч.
На сегодня всё, а нам еще собирать анализатор обратно и проверять его работу.
Если есть вопросы - смело задавайте в комментариях.






























