Сообщество - Криминал

Криминал

4 306 постов 11 877 подписчиков

Популярные теги в сообществе:

74

Ответ на пост «Вскрылся масштаб воровства в Минобороны при Шойгу. Депутат озвучил цифру: 11 триллионов рублей»11

Собственно проблема такой коррупции заключается в несменяемости власти.
Если у власти десятилетиями сидят одни и те же люди то коррупционер уверен, что может воровать стабильно и все будет на мази.
Риск только если случится форс-мажор, когда воровство станет слишком очевидным и приведет к явным последствиям. Например война какая-нибудь...

Когда власть периодически сменяется мирным демократическим путем - большенство косяков всплывает.
Если коррупционер знает, что завтра руководство может смениться то ворует скромнее и аккуратней.

В добавок, если например идет реальная политическая борьба нескольких партий, то конкурирующая партия постоянно стремиться найти и показать на суд общественности
коррупционеров, связанных с действующей властью.

А так - вот она, цена за "стабильность".

50

Ответ на пост «Вскрылся масштаб воровства в Минобороны при Шойгу. Депутат озвучил цифру: 11 триллионов рублей»11

Следующими уголовными делами должны быть против граждан которые говорят в соц. сетях
"Ну воруют и что? Да все воруют"
Возбудить дела по подрыву государства.
Допросить с пристрастием на предмет связи этих граждан с иностранными спецслужбами.
На основании чего они распространяют информацию что воровать у государства это нормально.
Данная деятельность похожа на так называемое ИПСО

127

Ответ на пост «Вскрылся масштаб воровства в Минобороны при Шойгу. Депутат озвучил цифру: 11 триллионов рублей»

Почему мне не нравится эта новость, потому что это все показуха, если бы написали, что человека посадили в камеру на общем режиме (вместе с обычными зеками) за коррупцию "в особо крупных и не только масштабах" ( подозреваю 😉 что это далко не так)... Ну... возможно это было бы немного лучше, чем новость " смотрите мы боремся с коррупцией ", но данные персонажы, будут сидеть чуть ли не на домашнем аресте.
Если бы была новость о том, что государство раскрыло дело о взятничестве - лишила собственности мзадаимца и его родственников (причастных или не очень) хотя бы на 90%, а изьятые средства пустили на покупку/производство дронов, вооружения, улучшения условий участников боевых действий или на крайний случай вложило бы в производство микрочипов.
Думается мне, что новость была бы более "востребованной" чем очередной слив неугодных (( и ,даже призрачная надежда, на то что, стыренные деньги, хоть в какой то мере, вернулись бы государству, на нужды государства, была бы более актуальной, чем новость "мы посадили неугодных ибо "пиз... ли" очень уж много.

1445

15 лет назад

Если честно, про то, что случилось в 2009 году, вспоминать не очень люблю. Но ради ачивки чего только не сделаешь. Итак, поехали.

Как там пели Иванушки: "тополиный пух, жара, июль..." Дело было в конце мая, уже было жарковато и, да, полетел тополиный пух. Сижу на дежурстве, очередные сутки подходят к концу, я молюсь всем богам и пизанской башне, чтоб оставшиеся пару часов до рассвета оставались такими же тихими и спокойными как в начале смены. Ага, щаз, в обе руки и ногу потную!

Я не Андрюха

Я не Андрюха

Убийство не убийство, труп не труп, криминал не криминал - погнали. Не первый раз, нам не привыкать. Приехали на адрес, известное место - притон. Заходим, а там... Мама дорогая! По полу ползает окровавленный мужик и воет не то "Убили", не то "Убила". Вызвали скоряков, осмотрели бегло мужика - ничего критичного - раны резаные, по большей части поверхностные - жить будет. Так как мужик на эмоциях и сильно на кочерге, то каких-либо внятных пояснений по ситуации от него можно не ждать. Встал в дверном проеме, осматриваюсь и прикидываю, что произошло. Ясень пень, выпивали (вон бутылки пустые валяются, закусь не пойми из какой помойки), что-то не поделили (недопитая бутылка валяется тут же в луже разлитого денатурата), собутыльник схватился за нож и порезал дяденьку на ленточки. Уточняю, где напарник. Мужик воет: "Сука, убила! Как есть убила меня!" Ага, уже лучше, если сука, значит женщина. Интересуюсь, и где теперь дама сердца. Мужик чего-то нечленораздельно мычит, вдруг вскидывает руку и тычет в меня пальцем.

Я даже сообразить ничего не успел, и даже в первый момент и не почувствовал ничего. Просто какой-то толчок в правый бок. На инстинктах отпрыгиваю, разворачиваюсь и вижу её. Синявка с ножом в руках. В этот момент сзади что-то защипало, потом накатила слабость. Парни подскочили, выбили из рук нож, скрутили тетку и уложили мордой в пол. А мне что-то стало нехорошо, тошнота подкатила, ноги стали ватными. Хорошо, что скорая уже подъехала.

Пока катились под светомузыку в больничку, девочка-фельдшер держала меня за руку и постоянно задавала какие-то глупые вопросы и постоянно приговаривала: "Только не спи!" А спать очень хотелось, я ж сутки на ногах был. Ну потом было не интересно - операция, несколько дней в реанимации. Мне очень повезло, был задет только кишечник, но ни почка, ни печень не пострадали.

Вот такой вот у меня случился 2009 год

Показать полностью
88

В Британии начались протесты после нападения на детей

В Британии начались протесты против наплыва нелегалов после нападения на детей

Полицейские во время столкновений с участниками акции протеста в Ливерпуле. 3 августа 2024

Полицейские во время столкновений с участниками акции протеста в Ливерпуле. 3 августа 2024

МОСКВА, 3 авг – РИА Новости. Протесты против наплыва нелегальных мигрантов начались в нескольких городах Великобритании после нападения с ножом на детей в английском Саутпорте, сообщил в субботу телеканал ITV.

Протесты ультраправых начали набирать обороты в Британии после гибели трех детей в результате поножовщины. Газета Times сообщала, что на выходных ожидается не менее 35 акций. Первые беспорядки начались после распространения неподтвержденной информации о том, что напавший - беженец. Позднее стало известно, что подозреваемый родился в Уэльсе, но в семье руандийских мигрантов.

"В субботу протесты начались в Манчестере, Лондоне, Хартлпуле, Портсмуте и Лидсе", - говорится в сообщении телеканала.

Около 200 человек прошли по центру Манчестера, где полиции пришлось сформировать разделение между двумя группами – одни выступали против наплыва мигрантов, другие – против фашизма. В Портсмуте также прошла акция против нелегалов – в ней приняли участие от 200 до 300 человек, сообщает телеканал.

Ещё около 150 человек собрались в Лидсе, где, среди прочего, были слышны антимусульманские лозунги. Там же состоялся и контрпротест, и для избежания стычек между демонстрантами были установлены ограждения на расстоянии в 20 метров, которые охраняли около 20 полицейских, говорится в материале.

Помимо этого, протесты и ответные акции прошли в североирландском Белфасте. Полиции пришлось разделить две группы демонстрантов, после того как они начали обмениваться оскорблениями и бросать друг в друга предметы, передаёт телеканал.

Около 200 человек прошли по центру Манчестера, где полиции пришлось сформировать разделение между двумя группами – одни выступали против наплыва мигрантов, другие – против фашизма. В Портсмуте также прошла акция против нелегалов – в ней приняли участие от 200 до 300 человек, сообщает телеканал.

Ещё около 150 человек собрались в Лидсе, где, среди прочего, были слышны антимусульманские лозунги. Там же состоялся и контрпротест, и для избежания стычек между демонстрантами были установлены ограждения на расстоянии в 20 метров, которые охраняли около 20 полицейских, говорится в материале.

Помимо этого, протесты и ответные акции прошли в североирландском Белфасте. Полиции пришлось разделить две группы демонстрантов, после того как они начали обмениваться оскорблениями и бросать друг в друга предметы, передаёт телеканал.

Как сообщает газета Guardian, похожие акции также проходят в Ливерпуле, Ноттингеме, Блэкпуле, Сток-он-Тренте и других городах.

Полиция британского графства Мерсисайд сообщила 29 июля о нападении с ножом на детей в городе Саутпорт. Три ребенка погибли, еще несколько детей и двое взрослых были доставлены в больницу в критическом состоянии. Правоохранители задержали 17-летнего подростка, ему предъявили обвинения в убийстве трех человек, попытке убийства еще десяти и хранении холодного оружия. Полицейские подтвердили, что не связывают нападение с терроризмом. По данным полиции, нападение произошло во время занятий для детей по танцам и йоге.

Реакция жителей Саутпорта, Лондона и ещё ряда городов на нападение вылилась в акции протеста, переросшие в столкновения с полицией и массовые беспорядки из-за распространения неподтвержденной информации о том, что подозреваемый - беженец. Позднее телеканал Sky News сообщил, что виновник нападения оказался подростком из руандийской семьи, родившимся в Уэльсе. По данным правоохранителей, беспорядки были, предположительно, устроены сторонниками крайне правого движения "Лига английской обороны". Ряд британских СМИ увидел в разжигании ультраправых протестов якобы российский след. Посольство РФ в Лондоне отвергло все сообщения о якобы причастности России к разжиганию беспорядков в Британии.

https://ria.ru/20240803/britaniya-1963883689.html

Показать полностью
71

Ответ на пост «Вскрылся масштаб воровства в Минобороны при Шойгу. Депутат озвучил цифру: 11 триллионов рублей»11

11 триллионов? Как-то нереально выглядит. Это каждого россиянина можно было бы сделать долларовым миллиардером получается? И это то что своровали, т.е. наши ВС РФ были бы на том уровне, что и сейчас.

хрустящих вечнозелёных

хрустящих вечнозелёных

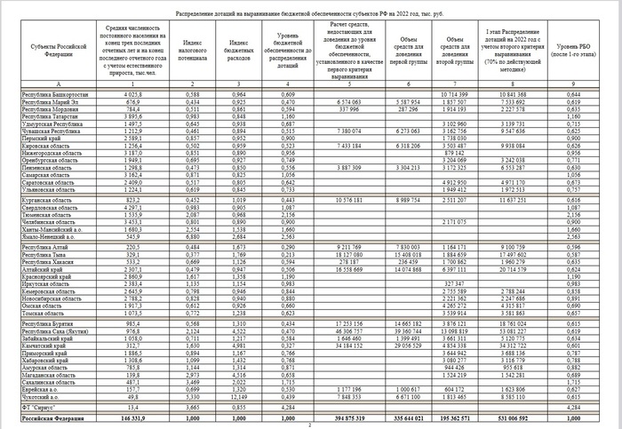
Если с нулями не напутали, то это просто фантастическая сумма. Это, цифра с 12 нулями. Для сравнения вот дотации в регионы:

Получается это 20 лет суммарных дотаций в регионы. Фантастическая сумма.

Показать полностью 2
105
Криминал

Ответ на пост «Вскрылся масштаб воровства в Минобороны при Шойгу. Депутат озвучил цифру: 11 триллионов рублей»11

Для тех кто не верит что можно просто взять и украсть 11млрд, напишу аж целый опус.

Дело в том что для экстремального туризма, последние всегда годы я выбираю базы отдыха типа "У Ильича за пазухой". Ну, знаете, такие агломерации щитовых домиков оставшиеся от совецких пионэрских лагерей. Ох уж эти безбашенные забросы в 100 метрах от города...

Так вот, бухать на головную возраст уже не позволяет, для нажора до основной готовки покупаю армейские сухпайки. И вот, нашёлся в закромах некоторый раритет. Салфетка дезинфицирующая, образца 2011 года, произведенная а 2015году. На фото ниже, сравнение её с салфеткой образца 2020 года. Как видим, материал стал значительно тоньше, но ни разу не дешевле.

Даже если салфетка стала на рубль дешевле в производстве, в наборе их три. А в недельной комплекте 21. А пайки производятся миллионный тиражами. Дальше думайте сами.

Показать полностью 3
1124

Ответ на пост «Вскрылся масштаб воровства в Минобороны при Шойгу. Депутат озвучил цифру: 11 триллионов рублей»11

А вот что говорит Chatgpt о покупательской способности этой суммы. 1,1 миллиона квартир, автомобили хуй с ним. 366 миллионов семей могут есть целый год бесплатно. Нет слов. И ведь это только капля в море.

А вот что говорит Chatgpt о покупательской способности этой суммы. 1,1 миллиона квартир, автомобили хуй с ним. 366 миллионов семей могут есть целый год бесплатно. Нет слов. И ведь это только капля в море.

Показать полностью 1
Отличная работа, все прочитано!