Горячее
Лучшее
Свежее
Подписки
Сообщества
Блоги
Эксперты
Войти
Забыли пароль?
или продолжите с
Создать аккаунт
Регистрируясь, я даю согласие на обработку данных и условия почтовых рассылок.
или
Восстановление пароля
Восстановление пароля
Получить код в Telegram
Войти с Яндекс ID Войти через VK ID
ПромокодыРаботаКурсыРекламаИгрыПополнение Steam
Пикабу Игры +1000 бесплатных онлайн игр Собирайте цепочки из трех и более одинаковых фишек, чтобы восстановить величие школы волшебников! Волшебство и захватывающие приключения ждут вас уже с первых шагов!

Волшебный особняк

Казуальные, Три в ряд, Головоломки

Играть

Топ прошлой недели

  • Oskanov Oskanov 9 постов
  • Animalrescueed Animalrescueed 46 постов
  • AlexKud AlexKud 33 поста
Посмотреть весь топ

Лучшие посты недели

Рассылка Пикабу: отправляем самые рейтинговые материалы за 7 дней 🔥

Нажимая «Подписаться», я даю согласие на обработку данных и условия почтовых рассылок.

Спасибо, что подписались!
Пожалуйста, проверьте почту 😊

Помощь Кодекс Пикабу Команда Пикабу Моб. приложение
Правила соцсети О рекомендациях О компании
Промокоды Биг Гик Промокоды Lamoda Промокоды МВидео Промокоды Яндекс Маркет Промокоды Отелло Промокоды Aroma Butik Промокоды Яндекс Путешествия Постила Футбол сегодня
0 просмотренных постов скрыто
1
kirilloptimist
kirilloptimist
5 лет назад
Лига математиков

Интеграл произведения. Продолжение⁠⁠

Начало Интеграл от произведения


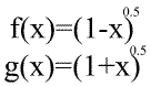
Итак, поправим немного эту формулу

Получаем

Интеграл справа по этой же формуле раскрываем до бесконечности, тогда...

Здесь Vn+1 это интеграл (n+1)го порядка. Эта формула и будет нашим главным объектом исследований. Проверим её работоспособность например так:

Или так:

Этот ряд в конце равен 1, всё сходится. Таким способом можно вообще получать новые ряды.


Любую функцию можно представить как единица умноженная на её саму и применять нашу формулу.

Переобозначим, пусть F(x) это интеграл от f(x), тогда вообще похоже на ряд Тейлора получается:

Это разложение называется асимптотическим. Возможно, это проходят на мехмате, но я это получил до вуза, потом учился на физфаке и сейчас ничего более по этому поводу сказать, к сожалению, не могу.

====================================================================================

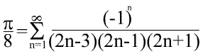
А теперь получим ряд для числа Пи:

В википедии среди множества других рядов такого ряда я не нашёл.)


Мою старую писанину с обозначением стрелочки вверх, как интеграл, можно скачать здесь https://project.1sept.ru/works/586753

Показать полностью 9
[моё] Интеграл Число пи Разложение Длиннопост
15
1405
Vikstrike
Vikstrike
5 лет назад

Про сброс неразлагаемого мусора в систему канализации⁠⁠

Хочу данным постом привлечь внимание к актуальной проблеме - это сбрасывание в унитазы различных отходов. Чаще всего в унитаз выкидывают остатки пищи, салфетки, строительный мусор, памперсы.

В лучшем случае часть отходов разлагается ( но опять же не моментально). Такой мусор как влажные салфетки, памперсы НЕ разлагаются. Именно данный тип отходов чаще всего засоряет системы канализации и в дальнейшем остаются в сооружениях очистных станций.

Например, на этом фото изображен отстойник очистной станции, он как раз и засорен этими "прелестями".

А вот такое количество мусора может достигать за неделю от одного многоэтажного дома. (извиняюсь за качество фото, сделан скрин с видео)

Надеюсь, что люди в скором времени поймут, что канализация не помойка и что не нужно выбрасывать в неё всё что захочется.

Показать полностью 2
[моё] Мусор Канализация Отходы Засор Влажные салфетки Смываемая втулка Разложение Растворение
362
152
Begemot18
Begemot18
6 лет назад

О свободе⁠⁠

Валентин Гафт Интервью Стихи Этика Разложение Видео
21
9
nplus1
nplus1
6 лет назад

Труп развел руками во время проверки метода оценки посмертного интервала⁠⁠

Ученые из Австралии больше года наблюдали за трупом в клетке, чтобы выяснить, как зависит скорость разложения от температуры окружающей среды. Результаты исследования показали, что быстрее всего разложение происходит по ночам. Причина этого неясна, и нужны дальнейшие исследования с использованием камер ночного видения. Кроме этого результата есть и такой — в ходе опыта ученые заметили, как руки трупа разошлись в стороны.

http://short.nplus1.ru/gl0DfgRcgc0

Труп развел руками во время проверки метода оценки посмертного интервала
Наука Новости Медицина Труп Разложение Интересное Странности
13
2
Asserf
6 лет назад
Поиск по описанию

Помогите найти фильм. (Найден)⁠⁠

Здравствуйте. Пару сцен из какого-то фильма уже много лет сидит в памяти, но найти не могу. Смотрела ещё в подростковом возрасте, но не с начала, поэтому названия не помню. Тогда он меня поразил, но показался слишком заумным. Почему-то долгое время считала, что название его "Фото увеличение", но как оказалось, то совсем другой фильм.

Сюжет о двух парнях, вроде братьях, хотя может и друзья они. Парни молодые и симпатичные, увлечены фотографией или киносъемкой. И их очень интересует процесс разложения. Или гниения. Помню они установили камеру и снимали поэтапно, как гниет яблоко. Помню в конце, что они себя к какому-то стенду прикрепили и настроили камеру напротив. Своё, значицца, разложение снять.

Фильм был немного занудный, в стиле разных там киношедевров. Поэтому я и думала долгое время про Антониони. Года 60е-70е прошлого века. Концовка меня, малую тогда, уж очень поразила.

Воспоминания конечно смазанные и могут быть ошибочными. Отчётливо лишь помню гниющее яблоко при ускоренной съёмке. Ну и конец, конечно.

Заранее спасибо.

[моё] Ищу фильм Съемки Разложение Текст
6
VedmedD
VedmedD
6 лет назад

Вся суть ватного совка)⁠⁠

Усроили, короче, под окнами, какой то детский праздник (выборы-выборы)), и крутят там кавер Реднекс - Коттон Джо)))

В общем, суть даже не в том, что глаз у Джо ватный :D И не в том, что антураж оригинала американо-ковбойский))), а в том, что я с друзьями прыгал под это с друзьями (очень недолго)) 20 лет назад, а эти животные с тех пор ничего нового и не изобрели))) И при этом неистово перемогают запад))) Ставки через сколько десятилетий (в свете скрепной изоляции)) белый человек сможет осеменить им еще какого нибудь ватного джо для очередной скрепной стагнации и перемоги на пол века? :D

Показать полностью
Россия Вата Животные Разложение Плесень Видео
34
816
3uDaH
3uDaH
6 лет назад

Берегите планету, мать вашу.⁠⁠

Показать полностью 3
Мусор Время Разложение Длиннопост
140
1297
AxelDe
AxelDe
6 лет назад

Биоразлагаемые пакеты не разложились, проведя три года под землей⁠⁠

Биоразлагаемые пакеты не разложились, проведя три года под землей

Ученые из Университета Плимута изучили пакеты, которые, по идее, должны разлагаться в естественной среде. Испытания, которые длились три года, показали, что пакеты разлагаются вовсе не так хорошо, как ожидалось, — некоторые сохранили целостность и даже выдержали вес продуктов после трех лет.


Пластиковые пакеты с момента их введения в оборот в 70-х годах к сегодняшнему дню стали большой проблемой, проникнув в самые недоступные обитаемые среды на планете — их находят даже на морском дне. Полиэтилен, из которого их делают, состоит из длинных гидрофобных молекул и практически не разлагается в природе, при этом каждый второй пакет выбрасывается после первого же использования, а производится их 335 миллионов тонн в год во всем мире.


Альтернатива обычным полиэтиленовым пакетам — биоразлагаемые разных сортов. Такие пакеты, если верить их производителям, должны деградировать гораздо быстрее обычных, превращаясь под действием солнца, воздуха, воды и бактерий в безопасные воду, углекислый газ и «биомассу».


Ученые Плимутского университета обратили внимание, что производители не ставят конкретных сроков, за которые их пакеты должны разлагаться, и в то же время еще не было никаких долгосрочных опытов на пакетах, которые могли бы эти сроки продемонстрировать. Авторы статьи, вышедшей в журнале Environmental Science and Technology, решили это исправить.


Ученые купили в супермаркетах Плимута 16 пластиковых пакетов пяти разных типов от разных производителей. Это были: компостируемые пакеты, два типа оксо-биоразлагаемых пакетов, биоразлагаемый пакет и (для контроля) самый обычный полиэтиленовый пакет.


Все пакеты разделили на четыре группы: одну закопали в землю на глубину 25 сантиметров в теплице при университете, другую оставили висеть на воздухе, прикрепив к южной стене той же теплицы, третью опустили на метр под воду в плимутском порту, а четвертую положили в светонепроницаемую коробку в лаборатории. И оставили так на три года.


В течение трех лет пакеты периодически проверяли, чтобы узнать, что с ними стало. Через три месяца из группы «морских» пакетов выбыли компостируемые  — они постепенно разрушились и исчезли. Постепенно через девять месяцев разрушились и все пакеты, висевшие на воздухе, оставив, как пишут ученые, «значительные количества образовавшихся фрагментов, видные невооруженным глазом на земле под испытательной установкой».


В земле выжили все пакеты. После истечения срока пакеты достали из их водной и подземной тюрем и подвергли последнему испытанию — положили в пакеты по 2,25 кг продуктов, купленных в супермаркете.


Пакеты выглядели неважно, но выдержали вес продуктов. Только компостируемый пакет, что лежал в земле, все-таки порвался.


Казалось бы, «морской» компостируемый пакет повел себя как положено, растворившись в плимутской гавани, но, как замечают ученые, неизвестно, на что именно он растворился. Пакеты, висевшие на стене теплицы, тоже разрушились, так что, возможно, и он всего-навсего распался на микропластик и отправился засорять Ла-Манш в таком диссоциированном виде.


The Guardian приводит слова представителя компании Vegware, производителя того самого компостируемого пакета, что порвался на последнем испытании. По его словам, материал пакета должен разлагаться только в надлежащих условиях, которые предполагают правильное сочетание пяти компонентов — микробов, кислорода, влажности, тепла и времени.


Ученые же заключают, что, видимо, пользователям пакетов следует предоставлять точные, однозначные и исчерпывающие руководства по утилизации «экологичных» пакетов, чтобы они, собственно, выполняли свою функцию без отрицательных последствий. И замечают, что, возможно, в некоторых случаях долговременные пакеты, которым можно найти много применений, представляют собой лучшую альтернативу пакетам разлагаемым.


Источник: http://sci-dig.ru/obshestvo/biorazlagaemye-pakety-ne-razlozh...

https://chrdk.ru/news/what-was-dead-couldnt-die

Показать полностью
Пакет Пластик Разложение Длиннопост
159
Посты не найдены
О нас
О Пикабу Контакты Реклама Сообщить об ошибке Сообщить о нарушении законодательства Отзывы и предложения Новости Пикабу Мобильное приложение RSS
Информация
Помощь Кодекс Пикабу Команда Пикабу Конфиденциальность Правила соцсети О рекомендациях О компании
Наши проекты
Блоги Работа Промокоды Игры Курсы
Партнёры
Промокоды Биг Гик Промокоды Lamoda Промокоды Мвидео Промокоды Яндекс Маркет Промокоды Отелло Промокоды Aroma Butik Промокоды Яндекс Путешествия Постила Футбол сегодня
На информационном ресурсе Pikabu.ru применяются рекомендательные технологии