privet.bolshoy
Про опыт сотки
Доброго здравия, читатель!
Пеший марафон "100км за 24 часа"? Вы там совсем больные на голову?
И, тем не менее, этот марафон проводится ежегодно в городе Новосибирск, привлекая с каждым годом всё больше и больше участников.
В этом году заявилось 240 человек. В прошлом - 180, в позапрошлом - 150. В зависимости от погодных условий пересекают финиш - человек 30-40.
Зрелище носит массовый характер и иногда вызывает бурю эмоций у местных жителей из соседних сёл, когда мимо них проходит бесконечная колонна людей с рюкзаками там, где обычно люди вообще не ходят.
В чём, как говорится, цимус?
Это не соревнование, каждый дошедший уже победитель. Много таких, кто пересекал отметку в 100км уже не один раз. Я вот прошёл её лишь 1 раз из пяти, и было это 10 килограмм тому назад) В этот раз я дошёл до 75го километра.
Маршрут проложен в окрестностях Новосибирска, но сняться с трассы можно не везде, поэтому даже если ты умер, тебе все равно придётся доползти до ближайшего населённого пункта или пункта питания, организованных через каждые 25км, чтобы твой хладный труп могли эвакуировать. Это я, конечно, шучу, в конце каждой группы есть замыкащие, которые помогут морально или пинками что-то придумать.
Кому интересно поизучать, маршрут такой:
Чаще всего не проходят сотку не от физической усталости или слабости, а из-за мозолей. Есть целая инструкция на страничке организаторов https://vk.com/sibtyr с рекомендациями по прохождению, где, в том числе, описывается и выбор обуви. Поэтому не буду зацикливаться на этом, а расскажу общие впечатления.
В первую очередь, данный марафон это испытание себя на прочность и силу воли. Комфортно не будет, будут страдания, будет боль и желание закончить всё это поскорее. Наверное, "закончить всё это поскорее" является самым главным мотиватором, чтобы дойти до финиша) Можно бесконечно воображать по дороге, как ты примешь горячую ванну, потом растянешься на чистой мягкой кровати и уснёшь. Но чаще ты думаешь, когда же мы уже дойдём до привала, когда уже закончится эта щебенка, вот бы не лопнула мазоль, ноги, пожалуйста, донесите. Особенно, в первый раз. Кто-то спасается разговорами, кто-то слушая музыку, я, обычно, нахожу тех, кто готов поорать песни и мы поем КИШа. Бывает приходит время упоротых расчётов, типа того сколько метров мне нужно набрать высоты в гору, чтобы потраченных каллорий хватило на вскипечение 1 литра воды на чай. Особенно на ночном участке, когда ничего не видно дальше пятна света от фонарика и пяток впередиидущего.
За сутки в дороге можно пообщаться практически с каждым идущим, кто идёт примерно с той же скоростью, что и ты. Есть представители всех возрастов: от молодняка до пенсионеров. Совместное преодоление трудностей сближает людей. Но не стоит ждать, что все будут рады общению. К 75 километру, ты уже думаешь не об общении, а о том, чтобы послать всё к черту. После отдыха отпускает.
На привале можно закинуть ноги на дерево. Например, на 50том километре, я лежал и смотрел на небо:
Почему-то раньше я так не делал.
Погодные условия в этом году были идеальными, поэтому дошли много участников. Было ни жарко, ни холодно, ни так уж много комаров. Дождь только слегка помочил днем, и даже росы выпало не много. А это важный фактор, потому что как только ты промочишь ноги, тут же вероятность получить мозоли вырастает в разы. К тому же это остужает суставы и связки из-за чего вырастает риск травматизма.
Это один из неприятных моментов при длительных переходах, после отдыха мышцы, связки, суставы остывают и необходимо какое-то время, чтобы снова их разогреть и войти в свой темп, почти как с двигателем автомобиля. Если после отдыха что-то болит, то, разгорешвшись, боль, если и не уходит совсем, то, по крайней мере, становится терпимой. В этот раз я ещё попрактиковал самомассаж. Ибо ноги после 1520км на велосипеде стали деревянные, несмотря на то, что я делал небольшие растяжки каждый день. Тем не менее, такая твёрдость в мышцах мешает идти и ноги не успевают отдыхать. 5-10 минут массажа оказывают волшебный эффект, хотя это и больновато.
В копилку интересных фактов это то, что, лично для меня, после 25го километра, идти в гору проще, чем идти под гору. После определённого километража, суставы становятся чувствительными и спуск с горы причиняет больше неудобств из-за лишнего напряжения с целью избежать ударов. В гору же работают другие мышцы и нагрузка распределяется иначе, что даёт возможность определенного отдыха. Вообще, если включить режим берсерк, то можно фигачить без остановок, и так идти даже проще, поддерживая постоянно свой организм в горячем состоянии. Некоторые так и проходят. Но для новичков, как сказал один мой попутчик: "после 25 километра ноги уже начинают понимать, что от них требуется".
Как итог, сотка - это массовое мероприятие для тех, кто хочет испытать себя и кому в жизни мало приключений. Но и в том, чтобы не дойти нет ничего страшного, насилие над собой не приветствуется) Зато появляется мотивация, чтобы подготовиться и пройти её на следующий год. На финише организаторы по традиции открывают банки с консервированными ананасами, это тоже можно считать мотивацией) Потому дерзайте, товарищи, "так лучше, чем от водки от простуд" (с).
Велодневник. День 18-й
Доброго здравия, читающий!
Вот и подошёл к концу велопоход, какого у меня в жизни ещё не было. Я добрался до конечной точки маршрута. Время подводить итоги и делать выводы.
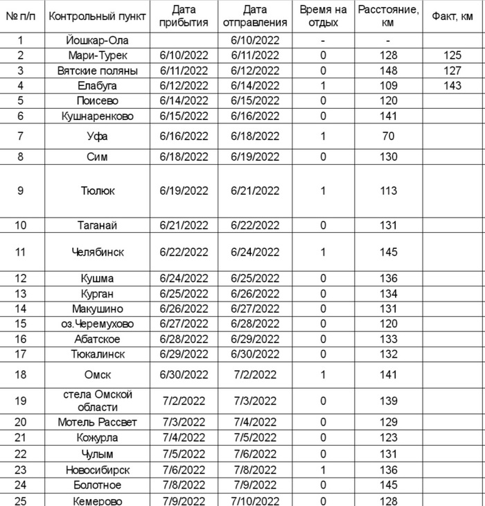
Начнём по порядку. Последний пост был из Златоуста. Поэтому сначала я должен отчитаться, что было между Златоустом и Кемерово.
Участок от Златоуста до Челябинска оказался не таким простым, как я думал. Лёг я поздно, поэтому выехал только в 10 утра. Погода душная, ожидался дождь. Я доехал до Миаса, горки ещё не закончились, к тому же тело почти не охлаждалось, было ошущение, как в парилке, поэтому очень много пил и отдыхал в тени. После Миаса пошла равнина, тут стало немного полегче. Солнце уже скрылось за грозовыми тучами, в далеке виднелись полосы чёрного дождя. Я выехал на М-5, на одометре уже было 111км, когда спустило заднее колесо. Это уже второе пробитие с Уфы. Благо, еще ща время ночёвки в Симе, я заклеил пробитую камеру, поэтому была запаска. На замену ушло какое-то время. По М-5 я ехал очень быстро, чем способствовали широкая обочина, пологий рельеф и солнце за тучами. И вот до Челябинска оставалось 30км, как начался сильный дождь с молниями.
Пришлось переждать его под мостом, где я переоделся в сухое, и там же решил заночевать на карьере, ибо как-то я не "трушно" путешествую: то по хостелам, то по приютам.
В итоге, до карьера намотал 149км. Разбил лагерь и первый раз за лето пошёл искупаться, а заодно прихватил с собой мыло, чтобы смыть цепную смазку и соль от пота с тела. Всё же завтра мне предстоит ехать на поезде, а от аромата мужика в плацкарте вряд ли кто-то будет в восторге.
Утром подъем в 5. Завтрак из 2 снэков и чая. Любование рассветом, а также наблюдение за любителями искупаться в карьере с утра и мужичком на берегу, упражняющимся с нунчаками.
Доехал до вокзала, оставил сумку в камере хранения и велосипед у входа.
Ну, и, конечно же, прокатился на трамвае.
Вышел у театра оперы балета, времени до поезда вагон. Взял электросамокат на прокат. Кстати, на площадях и в парках на самокате либо вообще запрещено ездить, либо стоит ограничение 10км/ч, что меня рассторило. В общем, окольными путями доехал на этом вялокате до вокзала и пошёл за пупрчатой упаковкой для велика. Как раз успел запаковать его до отправления и, с некоторым усилием, погрузил на багажную полку. Выглядело это так.
За багаж и оформление в пути следования взяли 380 деревянных. Оказалось, что багаж на сайте РЖД оформить нельзя. Вот такие технологии. Напомнило, как с меня взяли сбор за переоформление документов в пути следования из-за того, что в электронном билете я не указал отчество. Ну, и правильно, там же не стояла звёздочка, значит, не обязательно. В общем, там работа отлажена хорошо.
В Новосибирске я встретился со старым другом и очень удачно подъехали одногруппники с универа. Кончилось тем, что я до 5 утра разговаривал с местными рок музыкантами недалеко от Рукса. Кто не в курсе, это место в Новосибирске, где внутри двориков находится очень много баров разной тематики. Эдакая Депутатская в Питере.
В понедельник я уже ехал в сторону Кемерово по промышленновской трассе. Рельеф равнинный, машин не много, я проехал 135км до деревни Юрты. Там меня и застал дождь. До ближайшего дорожного отеля в Журавлево, было ещё 20км и я разбил палатку возле водоёма в Юртах. Залез и палатку, чтобы переждать дождь и отрубился часа на полтора. А когда проснулся, то палатку уже порядочно затопило.
Вычерпывал кружкой, воды было больше, просто я додумался сфоткать, когда уже половину вычерпал.
дождь закончился, хотя обещали, что ещё будет ночью. Тем не менее я начал пытаться хоть как-то просушить вещи и палатку.
Выручили кружка из фикспрайса и сухое горючее. Полпачки хватило чтобы просушить палатку на 80%.
Ночью дождь, как и обещалось был, но без серьёзных последствий. В спальнике Deuter Orbit, хоть он и был полусырой, всё равно было тепло, так что к 8 часам я уже выспался и был готов к завершающему рывку.
Участок Юрты - Кемерово в 125км я проехал за 5ч 10мин чистого хода. То есть в среднем я ехал очень быстро. Это всё благодаря попутному ветру и равнинному спуску. Дома уже встречали. По классике, после того, как раскидал вещи, я отрубился часа на два. Дальше банька, ужин, чай из сбора трав. Я дома.
Как итог, что я могу сказать? Приобрёл я что-то или потерял? Стал лучше или хуже?
С физиологической стороны.
За 18 дней в пути я скинул 6 кг веса, но на самом деле, думаю, что скинул около 8, просто ещё 2кг ушло в ноги. Мышцы обрели тонус, как когда-то, когда я регулярно тренировался. Ушёл живот, прыщи со спины и лица. Я локально загорел до чёрноты и пропустил за это время через себя столько жидкости в виде пота, сколько, наверное, не было за последний год. А значит, выводились, в том числе, и ненужные организму субстанции. Понял, на сколько важна жидкость в организме и особенно её состав (соли и прочее), человек на 70% состоит из воды. Раньше я обходился 1 литром воды в сутки, если не употреблял алкоголь. Тогда больше. А так: кружка на завтрак, кружка на обед, кружка на ужин, и перед сном. Вот и все.
На подобные физические нагрузки начинаешь подсаживаться. Уже к концу дня отдыха, ноги начинают просить ещё. Хочется или пройтись, или пробежаться, или поехать на велике куда-то. Такая своеобразная ломка. Я стал выносливее и чувствую себя прекрасно. Да, есть нюансы с коленями, но после начала применения изотоника, колени тоже адаптировались.
С психологической стороны.
В первую очередь, я создал новое представление о своих возможностях. О том, что можно проехать на велосипеде с сумкой 150км и после этого ещё хорошо себя чуствовать. В общей сумме было пройдено 1500км. Хоть это и половина из того, что я изначально планировал, но всё же это не маленькая часть России. И теперь, если я решу проехать дальше, до Байкала или Владивостока, то мне это не будет казаться невозможным, нужно только достаточно времени и минимальная подготовка.
Я уже писал, что стал спокойнее относиться ко сну в одиночестве в лесу. К этому просто привыкаешь. Даже элементарно быть с собой один на один становится проще. Попробуйте, на сколько вас хватит без интернета, книг или болтовни с кем угодно о чем угодно, кроме важного?
В поездке было много времени, чтобы слушать аудиокниги, читать, общаться с людьми и думать. Хотя много времени уходит и на то, чтобы решить свои бытовые нужды, спланировать и поддерживать маршрут в дороге.
Повторюсь, что в дороге принимаешь себя таким, какой есть. Всё лишнее остается в твоей обыденной старой жизни. А новая пока ещё не наступила. Когда я выбрасывал из рюкзака всё барахло, которое мне было не нужно, это была как будто метафора всей моей жизни, я чувствал, как будто выбрасываю свои тревоги о будущем и страх перед неизвестностью. Но они никуда не могут уйти и не ушли, просто я успокоил своего внутреннего ребёнка и убедил в том, что всё будет хорошо, а если что-то и случится, то я всегда позабочусь о нём. И вот, когда он доверился мне, я, наконец-то, смог выбросить лишнее.
С практической стороны.
Это был полезный опыт подобного рода путешествий. Как минимум, стало понятно, что вообще имеет смысл с собой брать в поездку, а что нет. Какие есть подводные камни, и на что уделить внимание перед поездкой. За 18 дней на велосипеде всё, что могло ржаветь, начало ржаветь. Кроме цепи, конечно, её всегда держал смазанной. Даже заклёпки и застёжка на кепке заржавели за время поездки от влаги и соли. Всё, что могло сломаться - сломалось, всё, что могло порваться - порвалось. В целом, будет несколько важных моментов, которые я вынесу:
1. Лёгкая палатка не спасёт от сильного дождя, тяжёлая, как правило, тоже, но даст больше времени, в целях сохранения сухости одежды лучше использовать водонепроницаемые мешки
2. Изотоник обязателен в длительных поездках (я использовал Регидрон и аскорбинку в шипучках)
3. Вещи в раскладке лучше всего секционировать, раскладывая в контейнеры. Это помогает быстро разложить и сложить вещи обратно на стоянках, а также быстро находить нужные вещи при необходимости. К примеру, аптечка, инструменты, еда, одежда, палатка, спальник, пенка.
4. Выезжать в поход без запаски или ремкомплекта - худшая идея, колеса страдают чаще всего
5. На самом деле для хорошего самочувствия нужно не так уж и много еды
6. Чем уже колесо, тем легче ехать, но жёсткость хода сыграет плохую службу на грунтовых дорогах
7. Чаще всего в дороге можно купить воды и еды, поэтому возить с собой запас на 3 дня не обязательно
8. Поездка - это хороший способ познакомиться с неравнодушными, интересными людьми, равнодушные пройдут мимо
9. Очки на трассе - это обязательная вещь, хоть и бывает неудобной, берегите глаза
10. Лучше выбирать маршруты, где минимально движение грузового транспорта, фуры и камазы будут постоянно держать в напряжении
11. Чтобы сэкономить заряд на телефоне, достаточно перевести его в режим "в самолете" и энергосбережения. На моем самсунге за день в таком режиме тратилось процентов 5 батареи при том, что в нужный момент работал GPS
12. Люди, решившиеся на подобные поездки, ненормальные люди)
Вот и всё, что я имел сказать по данному вопросу. Даже немного жаль, что всё так быстро закончилось. Самое главное, во что я верю, это то, что я стал лучше, а может, стал лучше и кто-то ещё, читая это или встретив в пути. Это было бы здоровски.
П.с. путь ещё не окончен. Впереди марафон "100км за 24 часа". И думаю, стоит рассказать про опыт прохождения столь коварной дистанции, а так же про само мероприятие. Идея, правда, очень крутая, и жаль, что про неё ещё не знает каждый)
Велодневник. День 14й
Доброго здравия!
Уф, даже не знаю, с чего начать... Текста будет много, так что приготовьтесь.
В первый день после Уфы я проехал 129км, остановился в отеле на въезде в Сим. По прогнозу до ночи обещали дождь, а у меня нет цели издеваться над собой, поэтому - придорожный отель. Из Уфы ехал быстро, вымок под дождём, пожарился на солнце. Последний подъем перед Симом был просто выматывающим, даже для первого дня. Километров 20 подъёма, не меньше. Ноги отваливаются. М-5 после Уфы самая некомфортная для велосипеда дорога. Очень узкая обочина, едешь в постоянном ожидании фуры под боком. Опасно, в общем. Таких эшелонов из фур я ещё на трассах не видел нигде. Так и просятся сюда ещё 2 полосы. Зато после начинается предгорье, красота. Ожидание гор волнует больше, чем сами горы.
Немного рефлексии по поводу поездки. Я уже писал про то, какие переживания у меня были в одиночном походе. После 3го дня, я уже перестал по этому поводу париться. Спал спокойно. Вообще уходит страх не доехать до места, ведь всегда можно заночевать в любом месте по дороге. Оставил кучу, как оказалось, ненужных вещей и, в целом, перестал переживать за них, учитывая, что я столько всего потерял по дороге. Всегда старался не забарахляться, чтобы в любой момент можно было покидать вещи в машину и уехать в другой город. Но здесь, в дороге, всё минимально, ты ни к чему не привязан, ничего не держит на месте, всё только впереди. Начинаешь открываться людям.
А вот стоянка перед отелем, большие машины тоже страдают:
Сразу из отеля в Симе начался подъем 3.5км. Я теперь называю его "подъем, с добрым утром". В этот день я проехал 133км. Это был, пожалуй, самый тяжёлый участок. С учётом палящего солнца, я выпил около 4.5 литров воды. И, когда закончились горные лбы, я так обрадовался спокойному рельефу, что пролетел Юрюзань и доехал до самого Бакала. Только там я понял, что что-то не то.
Ничего не поделаешь, пришлось возвращаться.
Не знаю, сколько я сжёг калорий за этот день, но, мне кажется, что все. Не пожалел, что у меня не шоссер, а кросс-кантри велосипед на дороге до Тюлюка. По грунтовой дороге самое то. Сразу после Меседы я решил сделать отдых. Силы ещё были, но обстановка располагала, шумные трассы с фурами позади, поэтому я использовал допинг - музыку. Были наушники, но за всю поездку так и ими и не воспользовался, поэтому эффект был, как от энергетика, честное слово.
А здесь просто видео с участка между Первухой и Меседой, чтобы позалипать.
По дороге до Тюлюка встретился брод:
Добравшись до места, немного пообщался с местными и решил отправиться в приют "Дом солнца". Но, не доехав до него, я очень удивился, потому что встретил девушку, которая останавливалась в том же хостеле в Уфе, что и я. Вот так совпадение, она сидела на мосту и что-то зписывала, ну как я мог не подъехать.
В общем, земля круглая)
В итоге, дом солнца я каким-то образом проскочил, но зато остановился в приюте Роза ветров. Там тепло приняли. У них очень ласковая и умная собака.
Назвал её Улыбака. На фото не видно, но при первой встрече она улыбалась, правда. Позже выяснилось, что это БеляШ.
Сходу бабушка татарка из Челябинска накормила меня печеной картошкой из костра. Вообще, она всем её предлагала и была очень общительной. Чуть позже я решил прогуляться до выступа скалы и как раз попал на закат.
Природа здесь, и вправду, шикарна. Вернувшись, воспользовался местной гитарой, оказалось, что администратор Альберт тоже играет и довольно неплохо поёт. Концерт по заявкам готов. У них, кстати, там ещё и пианино имеется. Сама обстановка максимально ламповая. Не пожалел, что был невнимательным и проехал какой-то там дом солнца.
А здесь 10 лет висела шкура медведя, который пришёл пообедать туристами. В этом году её сняли за ветхостью, но история просвечивает.
Я размышлял по поводу фразы "гору нельзя покорить, на неё можно только взойти". Ещё говорят, что ей можно поклониться. Но, если подумать, то именно гору мы и покоряем. Только не физически, мы завладеваем образом горы. Покорить, значит, подчинить, завладеть. Завладеваем достижением. А это ли цель? Стоит ли идти туда с такой целью? Вот ты поднялся, ты там. А что дальше? Другая вершина? А когда вершины кончатся? Что будешь дальше делать? Дурная бесконечность. Нужно серьёзно подумать, для чего туда идти. Идея того, что важнее путь в гору, чем вершина, красива. Но что-то меня в ней смущает. Что можно узнать о себе, изнывая от жары внизу, прошиваясь ветром насквозь вверху и топча болота в пути? Я проехал 1000км и всё это у меня уже было, и гораздо тяжелее. Преодоление всех этих трудностей ставит вопрос и о сути всей моей поездки. Можно подумать, какой-то мазохизм, желание страданий, если бы не одно но - мазохист не любит себя, а я за время поездки стал больше принимать себя таким, какой я есть, не боясь кого-то разочаровать. Лучше разбираться в том, что мне действительно нужно. Выходит, и в гору стоит идти, чтобы понять себя. Эта цель меня устраивает, она неисчерпаема, это не какое-то достижение во имя тщеславия и гордыни, и не самоистязание в попытке уйти от реальности. С этими мыслями я настроился на следующий день.
Описывать восхождение я не буду, всё же это глубоко личное переживание. А пытаться передать на фото местные красоты бесполезное занятие. Это нужно испытать самому. Чистый воздух, мощная зелень, вода из ручьев, которую не опасаешься пить...
В итоге, я закономерно задержался тут на день больше планируемого, о чем ни разу не пожалел. Два дня пил домашнее густое молоко: хотел взять 1 литр, но получилось 4)
22ое число на одометре ещё +130км. Златоуст. Пацаны на адике, девчонки - красивые. Город обветшалого сталинского ампира.
Бюджет поездки позволял, поэтому я заселился в хостел центра развития туризма. Хоть до него и пришлось сделать лишних 10км, зато были места. Внутри чисто и опрятно, но не покидает ощущение, что ты в каком-то бизнес-центре.
За окном номера радиальное вагоноремонтное или локомотивное депо. Первый раз такое увидел в жизни
К радости для себя я обнаружил, что в городе есть трамваи. Конечно же, я решил поймать такой, который меня довезет прямо до хостела, дабы совместить приятное с традиционным, но он всё не приходил, пришлось добираться своим ходом. Вторая попытка поймать трамвай номер 2 закончилась погоней за ним на маршрутке.
И что вы думаете? Трамвай закончил курсировать. Поэтому я вышел возле парка молодёжи и прошёлся там. Из примечательного: скульптуры из покрышек и трасса для картинга, на которой катаются на велике, ходят скандинавской ходьбой и играют с детьми.
Затем спустился к остановке, неподалеку стоял он:
И вот тут тоже он, но поменьше
А вот чтобы дойти до трамвайной остановки нужно было идти через лес.
И снова сталинский ампир. ДК Победы и одинокая лавочка:
Напротив - остатки роскоши.
И вот наконец-то 1 трамвай, жаль, что не экскурсионный, но тоже сойдёт:
В Златоусте трамвай возит тебя между гор и живописных окрестностей, а также мимо аварийных бараков и промзон. Всё для народа.
Уже сегодня я буду в Челябинске, билеты куплены - Новосибирск ждёт. Дальнейший маршрут будет Новосибирск-Кемерово, так как от Челябинска до Новосибирска сплошная равнина, смотреть особо не на что.
А вот до Кемерово я много раз катался на машине и проехать этот путь на велике будет интересным опытом.
To be continued.
Велодневник. День восьмой
Доброго здравия, читатель!
Восьмой день велотура, нет, ВАСЬМОЙ ДЕНЬ ВЕЛОТУРА!!!
Потому что я живой и добрался до Уфы. Для меня самого это неожиданность. На одометре 720км. Итак, по порядку.
Первый участок Елабуга-Поисево 122км я пролетел, как птичка. На это повлияло 6 фаторов:
1. Один день отдыха творит чудеса.
2. Я пил изотоник.
3. Спокойный рельеф.
4. Я купил майку с длинными рукавами для бега, которая хорошо отводила пот и не давала перегреваться на солнце из-за светлого цвета, белую кепку.
5. Выкинул из рюкзака лишний вес. Мне кажется, килограмм 5, не меньше.
6. По совету одного из комментаторов убрал остановки с отдыхом, оставив только одну большую в середине пути на обед.
В Поисево я был уже в 4 часа, и у меня оставался вагон времени, которое я не знал, куда деть. Поэтому прикупил 5 шт яиц, 3 отварил с гречкой на следующий обед, а 2 оставил пожарить на завтрак. Пожарить яйца в походе это же шик. Кто знает, тот поймёт.
Разместился в лесу недалеко от речки, как называется точно не помню, а искать лень:
Однако мне показалось, что у меня мало воды. И тут, походный фильтр для воды, настало твоё время. Правда, чтобы набрать её, пришлось вспомнить, что я инженер. Иначе был риск остаться там в трясине. А так как я забыл положить с собой шнурки, то на верёвки пошли излишки затяжек с подушки на велосипедное сидение.
Такие вот суровые будни выживальщика
Сам процесс надоивания выглядит так:
Вода получилась прозрачной, без запаха, без вкуса. Я выпил глоток в качестве эксперимента, остальное закипятил для чая на завтра. Ничего - живой.
Второй участок Поисево-Карача-Елга вышел на 121км. Ехать было уже потяжелее из-за усталости, но тактика минимального количества остановок и закупа еды по месту прибытия дала свои результаты. Закупился, разместился, отдыхаю. Из запомнившегося на участке только населённый пункт с названием "Марс"
И красивый закат
Ну ещё символически попрощался с Татарстаном
Минутка ностальгии - и дальше в путь.
Третий участок Карача-Елга - Уфа был коротким, всего 84км. Поэтому уже к 3 часам я заселился в хостел, отмылся сам и отдал велосипед на смазку и помывку.
Пока я ходил до столовых всё-таки решился подстричься под 0. Раз уж сбрасывать всё лишнее, так уж и волосы туда же. Теперь готов ловить дзен. Дзен прийди.
Уфа показалась мне симпатичным городом, хоть и встретил меня лобовым подъёмом, где пришлось от души продышаться.
Традиционно в каждом городе, где я бываю впервые, я катаюсь на трамвае, если он есть.
Посетил колесо обозрения:
Мороженка вместо цензуры. Город кажется даже побольше Новосибирска.
Заехал, следуя совету на гостиный двор и фонтан 7 девушек:
Возле Дома Республики есть отличная смотровая площадка, откуда видно памятник Салавату, и людей не много:
Набережную, считай посмотрел, поехал обратно)
Началась подготовка к следующему участку.
Кстати, перед штурмом Урала вслед за волосами ушли: подножка, велосипедные крылья, 1 повербанк, 10 упаковок регидрона, термос на 0.5 литра, кое-что из одежды, баночка Пантенола (заменил на тюбик мази 30гр), антиперспирант, косметичка - уф...
Ну вот и подошли самые тяжёлые участки, если ранее максимальный перепад за день был 650 метров, а в среднем - 450, то на участке Сим - Тюлюк 1651 метр!
И после этого Тюлюк - Златоуст - 1040 метров:
Надеюсь, что получится по этому маршруту попасть до Златоуста, придётся поспрашивать у местных. Где-то по пути есть стоянка 3 вершины, может быть, заночевать там. Места обещают быть красивыми. Пусть даже немного буду не в графике.
После Златоуста остается забраться на одну горку и дальше катиться до Челябинска:
Такие вот планы. Как пойдет - покажет опыт. Кручу педали дальше.
Всем хорошего настроения! Ждите новый пост, когда у меня появится интернет😅
П.с. для тех, кто дочитал до конца, бонус) я случайно встретил человека, который уже 2 года не был дома, потому что колесил по стране. Доехал до Байкала и как раз сегодня вернулся домой в Уфу с Алтая.
Я считаю, это встреча 1 на миллион. Вот такая жизнь у кого-то на пенсии😎
Велодневник. Уфа. До востребования
Добрчеко граждане!
Завтра по плану приезжаю в Уфу. Может, кто подскажет занятные места, которые можно посетить в течении дня в городе? Вел отдам на ТО, так что буду пешком. За информацию или компанию буду признателен)
Велодневник. День четвертый
Доброго здравия!
Как и обещал веду дневник дальше. Всё хорошо, я добрался до Елабуги. На одометре велосипеда 395км. Была ошибка в построении маршрута, я ехал не через Ключи-Сап, а через Мари-Турек:
В первый день я успел и пожариться на солнце и намокнуть под дождём. А на 112 километре у меня порвало заднюю покрышку, камера лопнула:
Менять камеру пришлось прямо на трассе после дождя в этом месиве. Я так понял это последствия того, что на прошлых выходных я ездил на хутор Маркитан и приспускал колеса для езды по песку. Вот так. Не знаю, почему, но я взял с собой паранитовую прокладку, хотел использовать вместо резиновых прокладок в местах крепления подножки и багажника, её и вставил:
Хватило проехать около километра до какого-то навеса у гаража.
Дальше я уже не стал рисковать, оставалось ехать ещё 12 км, разбортовал оба колеса и поменял местами. На место разрыва я наклеил 6-7 слоев армирующего скотча (слава хурьме, что я положил его перед поездкой), получилось довольно надежно:
Добрался до Мари-Турека, остановился на ночёвку у лесной тропы.
Тропа здоровья, утром меня разбудила какая-то бабулька с палочками для скандинавской ходьбы.
Утром следующего дня я позвонил в магазин Техника в Мари-Туреке, мне подтвердили, что покрышка такая есть, камеры тоже. Конечно же, я заехал и воспользовался возможностью:
Теперь двигаюсь на разных колёсах, задумался и второе поменять на такое же узкое.
Двигался я в режиме 1 час езды, 5-10 минут отдых, 1 час обед после 3 часов езды. Очень выручает термос в такие моменты, от горячего чая в дороге становиться тепло и душевно, не пожалел, что взял, хотя объем в Елабуге сменю на 0.5 литра, ибо я решил выкидывать любой вес нещадно. Кстати, за время поездки:
- минус панама
- минус резиновые тапки
- минус велоперчатки (остаток пути ехал в рабочих спилковых)
- минус защитные очки (благо их у меня было 2 пары, остались тёмные, стоили 300 рублей).
Так что, если кто-то по трассе между Йошкар-Олой и Вятскими полянами найдёт эти вещи, знайте, это моё)
Второй день прошёл протяжелее, не скажу что 395км дались мне легко, но организм приспосабливается. Начиная с Мари-Турека начались дикие гонки, подъёмы и спуски, набор высоты составил 1600 метров за весь маршрут.
В Вятских полянах начало стрелять левое колено, принял 2 таблетки Найза, чтобы доехать до пляжа. По пути заехал в магазин и купил колбасы, пресервы селёдку масле и морской капусты. Организм требовал солей.
Лагерь разбил на пляже.
Третий день средняя скорость была около 15 км/ч, вместо 20ти в предыдущие дни, сказывался рельеф и усталость.
Рис с ужина получился суховатым и вообще не очень, по дороге я подумал, что лучше будет прикупить майонеза, тогда его можно будет есть. В итоге, я купил майонез и 0.5 литра энергетика "Флеш". Банку я осушил в один присест. Эффект не заставил себя ждать. Средняя скорость стала снова 20 км/ч. Да, знаю, что это вредно, если часто злоупотреблять, но это полезный лафхак. Вернулась бодрость. Напомнило случай, когда мы с моим напарником ходили в марафон по ориентированию на 4 дня. За это время намотали 135км по горам. Последний день мы шли последние 40км уже волоча ноги, и тут посреди лесной дороги неоткрытая литровая бутылка "Флеша". Как будто в видеоигре тебе случайно выпал бонус здоровья) В общем, последний день я накрутил 143 километра, где-то за 8 часов чистого хода. Время отдыха не отслеживал.
В Елабуге посетил местную достопримечательность - кабачка. Это собака, которая живёт у подъезда дома, в котором я когда-то жил. Почему кабачок, вы увидите сами на видео:
Капитан Америка даже и не знал, что рекламирует в Елабуге кроссовки:
Оценив свой график, я пока склоняюсь к варианту сесть на поезд в Челябинске или в Омске, буду решать по самочувствию. Всё же хочу успеть на марафон "Сотка за 24 часа", а он проходит 2-3 июля. И если бы я выехал изначально, как планировал 30 мая, то прошёл бы маршрут полностью. Но что поделаешь, традиция штурмовать сотку, есть традиция.
По итогам 3 дней из рюкзака, помимо того, что посеял в дороге, выкидываю: печку щепочницу ( 1 балона газа хватает с избытком на 2-3 готовки), все хб вещи, кроме носков и парадно-выходного ( они отысревают и их невозможно просушить, как следствие, холодно), тент с верёвкой и колышками ( вместо них 1 местная палатка), тушёнку ( весит много, купить можно в любом посёлке по дороге), 2 литровую бутылку воды (практика показала, что хватает 2 литров на дорогу, потом можно добрать в посёлках или магазинах), электробритву (думал, что буду бриться в дороге, нет), мыло (использовать его негде, на крайний случай можно использовать моющее средство, а в местах отдыха мыло можно и одолжить), термомиску (штука полезная, если заливать каши в обед кипятком из термоса, но можно и без неё), 2 бутылки с крупой 0.25л (практика показала, что крупы из одной хватает на 3 дня хода), термос на 1л (вместо него термос на 0.5 литра), зарядное устройство для аккумуляторных батареек ААА (фонариком почти не пользовался, расхода батареек нет), батарейки 5 шт, велосипедный фонарик, баночку синитайзера (про него вообще даже не вспомнинал), химическую грелку из спортмастера,
Докупил велоперчатки, кепку и нержавеющую кружку на 1л из фикс прайса, чтобы кипятить воду. Чай с жирком из котелка мне не зашёл.
А пока следующая станция - и столица там Уфа.. дальше слова сами знаете)
























































