Что такое Резистор и Сопротивление ?
Резистор и Сопротивление
Резистор — это ПАССИВНЫЙ элемент электронной схемы. Это значит, что он не имеет возможности усиливать или генерировать сигналы, а только выступает как сопротивление для протекания электрического тока.
Он состоит из материала с высоким электрическим сопротивлением (обычно из углеродной керамики, сплавов некоторых металлов или полупроводника).
Резисторы можно найти практически во всех электронных устройствах. Они используются для различных целей, в частности, для ограничения тока в цепях, в качестве делителей напряжения, для обеспечения напряжения смещения для активных элементов электрических цепей, в качестве терминаторов линий передачи (согласованных нагрузок). А также в RC цепях в роли время задающих элементов. В Современной электронике у резистора много и других функций
Главная функция резистора состоит в том, чтобы ограничивать ток, протекающий через него, тем самым снижая напряжение между его выводами в соответствии с
Законом Ома: I= U / R
где U — напряжение, I — ток, R — сопротивление.
Резисторы имеют разные значения сопротивления, которые измеряются в омах (Ω). Они могут быть фиксированными с определенным значением сопротивления.
При этом внешний вид их может существенно различаться из-за различных параметров. Таких например как мощность.
Так же резисторы могут быть переменными или подстроечными, где сопротивление можно изменять, например, с помощью регулировочного вала . Или каким-нибудь другим способом.
Электрическое сопротивление резистора или любого проводника является мерой его противодействия протеканию электрического тока. В СИ сопротивление измеряется в омах. Сопротивление имеет практически любой материал кроме сверхпроводников, имеющих нулевое сопротивление.
Допустимое отклонение РЕЗИСТОРА от номинального значения
Конечно, можно сделать резистор с очень точным значением сопротивления. И они конечно же существуют. Но производство таких резисторов довольно дорогое.
К тому же, очень точные резисторы бывают нужны достаточно редко, например, в качестве делителей напряжения в Измерительных приборах.
В этой статье речь будет идти о не дорогих резисторах широкого потребления. Которые используют в производстве массовой электроники. Например при точность ±20% что вполне допустимо. Для резистора сопротивлением 1 кОм это означает, что любой резистор с сопротивлением в диапазоне от 800 Ом до 1200 Ом будет считаться резистором 1 кОм.
Допуск на некоторые особо критичные случаи может быть ±1% или даже ±0.05%. В то же время следует отметить, что в наше время сложно найти резисторы с допуском 20%. Обычными являются 5-процентные резисторы. Во времена ламповых и первых транзисторных радиоприемников, такие резисторы были дорогими и чаще всего обычными были 20-процентные резисторы.
Рассеиваемая мощность РЕЗИСТОРА
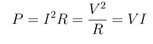
При протекании через резистор электрического тока, часть энергии преобразуется в тепловую и при этом сам резистор нагревается. Иногда довольно сильно. Тепло рассеивается в окружающую среду и на соседние элементы. При этом, тепловая энергия должна быть передана так, чтобы температура резистора и окружающих его элементов оставалась в пределах нормы. Мощность, выделяемая на резисторе, определяется по формуле:
Здесь V — напряжение в вольтах на резисторе
R сопротивлением в омах,
I — Ток протекающий через резистор в амперах.
Мощность, которую резистор может рассеивать без ухудшения параметров в течение длительного периода времени, называется предельной рассеиваемой мощностью.
В общем случае, чем больше корпус резистора, тем большую мощность может он рассеивать. Выпускаются резисторы различной мощности и можно встретить резисторы от 0,01 Вт до сотен ватт. Углеродистые резисторы обычно выпускаются мощностью 0,125–2 Вт.














