Сообщество - Чемоданчик пруфов

Чемоданчик пруфов

66 постов 41 подписчик

Популярные теги в сообществе:

1322

О темпах восстановления послевоенной экономики СССР

Через 5 лет после окончания самой кровавой войны в истории человечества, потерявший миллионы жизней, сотни тысяч домов, тысячи уничтоженных предприятий и массу другого ущерба, СССР, с его плановой экономикой, смог к 1950 г. обогнать предвоенный 1940 г. по десяткам промышленных показателей.

Страна стала производить в 2 раза больше электроэнергии, производить в 12 раз больше автомобилей, в 3 раза больше тракторов, в 2 раза больше цемента, добыча газа и угля выросла в 1.5 раза и тому подобное.

Для этого оказывается не нужны кредиты от МВФ

Источник (Статистический сборник)

Телеграмм канал «Чемоданчик Пруфов»

Показать полностью 2
8

Сопоставление ресурсов Германии и СССР в ВОВ

Бытует такой миф, что Германия была обречена как только ступила на советскую землю. Дескать территория СССР гораздо больше, населения столько что без проблем можно будет закидать трупами, и т.п.

На самом деле немногие знают, что людского ресурса на момент 1941 г. у Германии было значительно больше, 283 млн. чел. У СССР число населения на момент 1941 г. было меньше почти на 100 миллионов человек, 193 млн!

Всё за счёт оккупированных стран Европы к 1941 г. Само собой в армию редко брали "не арийцев", да и мотивации у такого населения воевать гораздо меньше, но это как минимум человеческий ресурс позволяющий работать на производство.

К 1941 г. Германия с подконтрольными ей территориями производила в 2 раза больше электроэнергии, добывала в 2.5 раза больше чугуна, угля и стали, опережала СССР по добыче железной руды.

Ну и не стоит забывать сколько дополнительных ресурсов удалось получить Германии в ходе военных успехов 1941 г.

Всё это с новой стороны показывает невероятные силы приложенные советской плановой экономикой для перелома ситуации и последующей победы.

Источник

Телеграмм канал «Чемоданчик Пруфов»

Показать полностью 3
135

Ответ на пост «Беломорканал»2

Ещё несколько фактов о Беломорско-Балтийском канале.

"Каково было значение Беломорско-Балтийского канала? До войны грузоперевозки по ББК не исчерпывали его пропускной способности. В 1940 г. общий объем перевозок составил 1 млн. тонн, что составляло 44% проектной мощности. А после Великой Отечественной войны этот показатель даже снизился. Зато полностью оправдались расчеты о громадном военно-стратегическом значении ББК. Если до открытия канала суда тратили на переход из Ленинграда в Архангельск 17 дней, то с начала навигации такой путь стал занимать не больше 4 дней. Судовой путь пролегал по советской территории, что создало условия для усиления советской военно-морской мощи на Севере путем межтеатрового маневра кораблей Балтфлота. При отсутствии канала создание сколько-нибудь значительных морских сил на Севере было невозможно. Семнадцатидневный переход вокруг Скандинавии при полном отсутствии промежуточных баз, невозможности пополнения запасов был не под силу военным кораблям среднего и малого водоизмещения. Дальность плавания советских эскадренных миноносцев того времени составляла 1700 миль, а между Кронштадтом и Полярным лежали 2300 миль штормового моря.

Открытие навигации по ББК дало стратегический выигрыш почти немедленно. Все 20-е годы в Белом море продолжалась «тюленья война»: конфликт между СССР и Норвегией из-за биологических ресурсов. Каждую весну сотни норвежских и английских траулеров входили в горло Белого моря и методично выбивали беломорского тюленя. Попытки слабых судов морской пограничной охраны вмешаться в ситуацию немедленно пресекались норвежскими и британскими военными кораблями. Насколько широко была поставлена «силовая поддержка», видно из того, что на границе территориальных вод СССР в путину постоянно находилась эскадра британского флота, с крейсером в качестве флагмана. Дело дважды, в 1929 и 1930 годах, доходило до обстрела советской территории норвежскими кораблями.

Урегулировать конфликт политическим путем было невозможно: королевство Норвегия не признавало СССР. Зато летом 1933 г., с переброской по каналу подводных лодок, норвежская сторона настолько изменила свою позицию, что стало возможным восстановление между странами дипломатических отношений. До начала Великой Отечественной войны было проведено 6 операций по переброске каналом эскадренных миноносцев, 2 операции по переброске сторожевых кораблей и 9 перебросок подводных лодок. Три корабля, эсминцы «Сталин» и «Войков» и подводная лодка Щ-404, по Северному морскому пути перешли на Дальний Восток и вошли в состав ТОФ (переброска кораблей этого класса другим путем для СССР в 30-е гг. была невозможна).

Всего в 1933—1941 гг. по каналу было переведено на Север 10 эсминцев, 3 сторожевых корабля и 26 подводных лодок. Последние корабли прошли по трассе 29 августа 1941 г..

Значение ББК для обороны СССР вполне осознавалось военными деятелями Запада. В 1940 г., когда Англия и Франция готовились в порядке помощи Финляндии высадить десант на севере СССР, командующий французским флотом адмирал Ж. Дарлан настаивал на захвате канала неповрежденным, считая его использование союзниками ключевым фактором для захвата Ленинграда. Все оперативные планы финской армии, составлявшиеся в 1940— 1941 гг., непременно предусматривали захват либо вывод из строя сооружений канала, который считался в Хельсинки «главной опорой» Советской власти в Карелии. А военно-морской атташе Германии в мае 1941 г. высказывал тревогу по поводу того, что «Балтийский и Северный флоты русских благодаря Беломорскому каналу служат резервом друг для друга»."

Михаил Моруков

Показать полностью
64

Беломорканал2

Беломоро-Балтийский канал — крупный водный путь, соединяющий Белое море с Онежским озером и Балтийским морем. Одна из самых масштабных галош первой пятилетки, построенная в рекордно короткие сроки, с лета 1931 г. по лето 1933 г. В строительстве принимало участие более 125 тыс. осужденных ГУЛага.

Для тех кто спешит написать в комментариях о рабском бесплатном труде, заключенные принимавшие участие в строительстве получали повышенную норму питанию. Перевыполнявшие план получали усиленный хлебный паек, премиальное блюдо.
Не только на еде всё было подвязано, были финансовые поощрения, можно было скоротать отсидку, зачёт 3 рабочих дней за 5 дней срока, а для ударников — «день за два». Ещё выдавали грамоты, благодарность, помещение на доску почёта. И одна из главнейших вещей — получение квалификации. Вчерашние бандиты обретали настоящую профессию.

Общая протяженность канала — 227 км, средняя глубина составила 5 метров. Имеет 19 шлюзов. Уже в первую навигацию 1933 года по каналу было перевезено 1 млн. 143 тыс. тонн грузов и 27 тыс. пассажиров.

Источник (стр. 34)

Документ о досрочном освобождении и сокращении срока заключенных, участвовавших в строительстве канала.

Источник

Телеграмм канал «Чемоданчик Пруфов»

Показать полностью 6

Продолжение поста «Продолжение поста "Продолжение поста "Торгсин: одна статья чтобы узнать всё. Часть I. Предыстория Торгсина""»1

Торгсин: одна статья чтобы узнать всё. Часть V. 1935-1936 гг. Причины ликвидации Торгсина и итоги.

1935 ГОД.

В 1935 году произошло много изменений в торговле СССР, но важнейшим событием была отмена карточной системы.
Система двойных цен сыграла большую роль в ограничении бюджета от влияния цен частной спекулятивной торговли, в реализации классово-производственного принципа снабжения, в обеспечении первоочередного и преимущественного снабжения по низким ценам участников социалистического строительства важнейших категорий населения. Она явилась мощным орудием в борьбе за повышение реальной зарплаты, за рост материального уровня трудящихся города и деревни, за дифференциацию снабжения в зависимости от качества и результатов труда.
Однако существование двойных цен связано с рядом отрицательных моментов, которые сказываются во всех областях и отраслях народного хозяйства. Нормированная цена ряда товаров по ряду отраслей промышленности не отражала в достаточной мере уровня издержек производства и реализации товаров, не обеспечивала рентабельности, а благодаря этому потеряла свое стимулирующее значение для производства, не могла оказывать необходимого воздействия на ускорение процесса производства и обращения товаров, на улучшение ассортимента и качества товаров и т. п. [98].
В условиях все возрастающих продовольственных и товарных ресурсов карточная система становится излишней, ненужной, она мешает улучшению снабжения. Она мешает развертыванию товарооборота [90].

Это, говорят, и первые лица СССР:
«Государство теперь располагает достаточно большим количеством хлеба для того, чтобы полностью и безусловно обеспечить снабжение населения без карточной системы путем повсеместного развертывания широкой торговли хлебом. При таком положении карточная система по хлебу и некоторым другим продуктам может быть лишь тормозом в улучшении снабжения и потому должна быть отменена»
— В. М. Молотов, доклад на ноябрьском пленуме ЦК ВКП(б), 1934 г.

Историческое решение ноябрьского (1934 г.) пленума ЦК об отмене нормирования по хлебу и некоторым другим продуктам представляет собой крупнейший шаг на пути устранения системы двойных цен в государственно-кооперативной торговле, на пути перехода к единой цене. Этим самым подчеркивается, что переход к единой цене является неразрывной органической частью перехода к развернутой культурной советской торговле. Введение и развитие системы дифференцированных цен в государственно-кооперативной торговле тесно связаны с наличием нормирования, карточной системы, закрытых форм снабжения. И, наоборот, унификация цен тесно связана и обусловлена переходом от нормирования к открытой развернутой советской торговле.
К основным факторам, обеспечившим возможность начала унификации цен в государственно-кооперативной торговле, необходимо отнести, прежде всего, рост товарных фондов в руках государства, создание организационных предпосылок по линии товарооборота. Основные моменты, подготовившие отмену карточной системы, в то же время явились и факторами подготовки перехода к единой цене. Наряду с ростом товарных фондов здесь необходимо отметить:
a) Рост товарооборота и торговой сети государственно-кооперативной торговли.
б) Развитие коммерческой торговли, повышение удельного веса открытых форм торговли в общем товарообороте страны.
в) Рост децентрализованных форм заготовок и снабжения.
г) Расширение каналов советской торговли, широкое развитие колхозной торговли, соревнование торговых систем (с 1932 года по 1935 реальный вес товаров рыночного фонда увеличился почти вдвое) [115].
д) Завершение процесса обобществления товарооборота.
e) Сближение цен открытой государственно-кооперативной торговли и колхозной торговли, сближение цен нормированной и открытой торговли [98].

См.: [98].

В 1935 году также проходило плановое снижение цен на ряд продуктов. Приведем основные данные о снижении розничных цен (в %) в ненормированной торговле за период с 1/I по I/IX 1935 г.:
от 10 до 20 — мука, макароны, овощи, масло животное, мясные жиры, чулочно-носочные изделия, нитки;
от 20 до 30 — мясо, рыбные консервы, маргарин, яйца, сыр, мороженое,сгущенное молоко, кофе, какао, мыло хозяйственное и туалетное, табак 3-го сорта, фураж, свечи;
от 30 до 40 — колбасные изделия, кондитерские изделия, рыба,молочнокислые продукты, пряности и специи;
от 40 до 50 — хлеб печеный, крупа и бобовые, хлебобулочные изделия, молоко, картофель, кофе-суррогаты, некоторые мясопродукты;
от 50 и выше — махорка, фрукты. (См.: [115]).
Т. к. цель данной работы — Торгсин, то стоит сказать и про изменения во внешней торговле в СССР.
Освобождение СССР от технико-экономической зависимости, достигнутое в результате выполнения плана первой пятилетки, сказалось как на количественных, так и на качественных показателях советского импорта. Во вторую пятилетку СССР вступил с высоко развитой промышленностью, способной производить фактически всё, что необходимо для дальнейшего развития нашего социалистического хозяйства. СССР поставил собственное производство машин и оборудования и целого ряда других промышленных продуктов, ранее в СССР не производившихся. Этот факт предопределил громадные изменения импорта в 1933 и 1934 гг., т. е. в годы второй пятилетки, по сравнению с 1929–1932 гг., т. е. с периодом первой пятилетки. Если еще в 1931 г. ввоз из-за границы равнялся 1 105 млн. зол. руб., то в 1934 г. ввоз падает до 232 млн. зол. руб

См.: [116].

Если Советский Союз за 1928–1932 гг. смог ввезти из-за границы товаров на 552 млн. руб. золотом больше, чем было вывезено из страны за эти же годы, то в течение всех лет второй пятилетки СССР имел активный торговый баланс, т. е. вывоз был больше ввоза. За 1933–1936 гг. СССР продал товаров за границу на 465 млн. зол. руб. больше, чем импортировал из-за границы [116]. К тому же к 1935 году многие кредиты уже были погашены. Накопившиеся от прошлого большие долги перед заграницей удалось за последние годы сократить в четыре раза. Наряду с этим за вторую пятилетку добыча золота вместе с поступлениями от Торгсина увеличилась в 6 раз. Всё это в корне изменило наше валютное положение и вообще положение на внешних рынках [116] [117].

См.: [117].

Поэтому уже начиная со второй половины 1934 года начинается работа по свертыванию сети Торгсин, как изжившего себя инструмента милитаризации внутренних валютных ресурсов. К 1935 году эта работа продолжилась, и обороты сети упали еще ниже. Также на свертывание сети повлияло и уменьшение запасов валютных ценностей среди населения. В 1935 году продолжился рост удельного веса переводов и инвалюты к общему поступлению ценностей и уменьшение удельного веса поступлений золотых резервов населения.

См.: [118].

После отмены карточной системы цены на рынке и в коммерческих магазинах заметно снизились, поэтому теперь было выгоднее покупать продукты за сов. валюту. Увеличился и средний заработок граждан по сравнению с предыдущими периодами, что также повлияло на свертывание Торгсина. С 1932 года по 1937 средняя зарплата увеличилась более чем в 2 раза [55]. Поэтому общая торговая сеть в начале 1935 года выглядела так:

См.: [119].

Из таблицы выше заметно, что количество торг. точек Торгсина осталось менее трети от того числа, что было на пике работы (465 из более чем полутора тысяч). Также видно, что он в торговле СССР перестал играть какую-то значимую роль.
Теперь стоит рассмотреть политику цен. По сравнению с предыдущим годом в трикотажных изделиях цена почти не изменилась. Однако количество отдельных единиц продаваемых изделий заметно сократилось (если прейскурант 1934 года на 22 стр., то прейскурант 1935 уместился на 17) [120] [121]. Кожевенно-обувные изделия тоже мало изменились в цене, однако, также как и с трикотажными изделиями, их разнообразность продукции сильно сократилась (29 стр. в 1934 году против 19 в 1935) [122] [123].
Стоит также отметить, что у работников Торгсина были довольно хорошие условия работы. Ни в одной другой государственной торговой сети не было столь высоких зарплат, как в Торгсине. Не забывали и про поощрения и премии в виде выплат солидных сумм.
К концу года обороты Торгсина уменьшились еще больше, поэтому никто к Торгсину не питал больших надежд. Уже в конце года вышла новость о ликвидации Торгсина в 1936 году.

См.: [124].

Несмотря на возникшие трудности в работе Торгсина в 1935 году, он все равно принес относительно хорошую прибыль, почти догнав 1932 год: 47,664 млн. [50].

1936 ГОД.

В 1936 году Торгсин проработал всего лишь месяц, поэтому не принес особенно большой прибыли (чуть более 2 млн.) [50]. Про его работу в последний свой период хорошо характеризует следующий документ:
«План реализации инвалюты на 1936 год
В/О Торгсин 14 октября 1935 г.
В 1936 г. предполагается коренное изменение системы финансирования Торгсина с целью внедрения хозрасчета во все звенья нашей работы/ см. распоряжение Объединения №446 от 5.10. с.г. НПО.
Сущность предполагаемой новой системы финансирования заключается в следующем:
Для Торгсина в целом на весь хозяйственный 1936 год предполагается установить твердый процент рентабельности. Если, предположим, будет установлено, что рентабельность Торгсина должна составлять 15%, то это значит, что все затраты в соввалюте включая стоимость товаров и издержек по закупке и продаже товара, а также по содержанию торгово-управленческого аппарата, должны дать валютный доход в размере 15% от этих затрат.
Форма расчетов с бюджетом в этом случае состояла бы в следующем:
Против внесенной нами в местный банк скупленной валюты на текущий счет Торгсина было бы начислено в соврублях при рентабельности 15-100/15=6 р.66 к. за каждый валютный рубль.
Из этих доходов Торгсин должен был бы черпать средства для покупки товаров и для производства всех издержек обращения.
Имея ввиду различные условия работы в различных районах Союза,Объединение должно было бы запланировать дифференциальный размер рентабельности по отдельным областям и краям при одновременном соблюдении установленного среднего размера рентабельности всего Торгсина.
Дифференциация размера рентабельности обусловливается тем, что в разных обл. конторах структура и удельный вес отдельных товаров в обороте различны и кроме того издержками заготовок и сорта составляют различный процент к обороту в разных конторах.
Не исключена возможность, что в целях стимулирования работников Торгсина на выполнение и перевыполнение плана рентабельности торгового оборота и привлечения валюты может быть будет введена поощрительная система оплаты труда для всех оперативных и руководящих работников Торгсина.
Естественно, что при такой перестройке финансирования, необходимо пересмотреть всю организационную структуру Торгсина сверху до низу. Меняются взаимоотношения центра с конторами, контор между собой и контор со своими магазинами.
Методология и техника планирования, оперативный и бухгалтерский учет, контроль, система снабжения — всё это подлежит пересмотру для того, чтобы наметить такую систему и такие формы, которые соответствовали бы новым задачам.
Каждый управляющий конторой и отделения должен поставить перед собой весь комплекс вновь возникающих вопросов, обсудить их с активом своих работников и дать свои соображения Объединению.

Необходимо учесть, что рентабельность Торгсина зависит от следующих показателей:
1) От уровня отпускных цен поставщиков. Чем выше последние, тем ниже рентабельность.
2) От реализационных цен Торгсина. Чем они выше, тем выше рентабельность.
3) От размера издержек обращения/содержания штата, стоимость аренды помещения, стоимость провозов товара жел. дорогой, водой, почтой, аэродромом, авто-гуж-транспортом.

Чем эти расходы выше, тем ниже рентабельность
Поэтому нам необходимо пересмотреть номенклатуру получаемых от промышленности товаров и заменить их более рентабельными: от некоторых особенно нерентабельных товаров возможно придется отказаться.
Одновременно надо будет пересмотреть наши продажные цены и во всех случаях, когда представляется возможность — их поднять.
Надо пересмотреть расположение товарных баз, производя направление и завоз товаров с таким расчётом, чтобы максимально избежать промежуточные звенья в виде обл. баз с таким расчётом, чтобы направлять товары прямо в торговые точки, использовав для этого наиболее дешевые способы отправки.
Наконец, надо пересмотреть стоимость аренды помещения и др. услуг всемерно удешевляя их, добиваясь тем самым повышения рентабельности.
При всём этом надо учесть, что оборот по привлечению ценностей в 1936 году будет состоять ТОЛЬКО ИЗ ИНВАЛЮТЫ И ИНОСТРАННЫХ ПЕРЕВОДОВ, т. е. все остальные ценности/чекан, драг. камни, золото и серебро/не будут приниматься.
Пред. Объединения /Левенсон/
Управляющий делами /Кузьмин/ (См.: [125])».

Почему ликвидировали Торгсин?

Торгсин ликвидирован потому, что в настоящее время, в условиях развернутой советской торговли, торговли всеми товарами ширпотреба и продовольствия без карточек, нет надобности в особых магазинах для иностранцев [126].
Это краткое и лаконичное описание из старого журнала довольно точно передают причину ликвидации Торгсина. Однако стоит добавить пару слов.
Начиная с 1933 года была хорошо поставлена золотодобыча. Если в 1932 году золотые прииски дали лишь 70 тонн [38], то уже в 1933 году добыча превысила 80 тонн [126]. Однако в 1933 году еще не сложились те условия, в которых хватало бы только золотодобычи, поэтому в то время все еще нужен был Торгсин. Стоит также сказать и про карточную распределительную систему. С помощью Торгсина можно было покупать некоторые излишки продуктов, рассчитанных нормированием. Однако с отменой карточной распределительной системы постепенно начали отмирать и причины создания Торгсина. К тому же к 1936 году были оплачены почти все кредитные займы СССР, а экспорт мало того, что превысил импорт за вторую пятилетку на 465 млн. руб. золотом, так еще и в корне поменял свою структуру. Теперь вместо сырья и драгметаллов СССР стал вывозить продукты тяжелой промышленности (машины, станки и т. д.). Это позволило практически полностью отказаться от золотовалютных платежей и стимулировало к накоплению золотой казны. Поэтому именно в таких условиях, которых не было в 1932–33 гг., но которые возникли в 1935–36 гг. не без помощи Торгсина, последний был ликвидирован из-за уничтожения всех причин, по которым он создавался.
Ликвидация Торгсина и передача всех его товарных фондов и торгового аппарата в единую систему открытой советской торговли расширили товарное обеспечение советских денег и создали дополнительные возможности для развертывания товарооборота [127].
Каковы итоги торговли Торгсина?
За пять с половиной лет существования Торгсин сделал свое полезное дело. Он провел большую работу по собиранию иностранной валюты. За этот срок Торгсин получил от иностранцев и советских граждан золота, серебра и валюты на сумму свыше 270 миллионов золотых рублей. Эти деньги целиком пошли на нужды индустриализации и коллективизации. Этой суммой было достаточно, чтобы оплатить стоимость оборудования, закупленного за границей, для таких гигантов социалистической промышленности, как Магнитострой, Горьковский автозавод, Сталинградский тракторный завод, Днепрострой, автозавод имени Сталина Кузнецкстрой, Челябинский тракторный завод, «Шарикоподшипник», Харьковский тракторный завод, Уралмаш.
За время своей деятельности Торгсин оказался весьма полезным социалистической промышленности еще и тем, что помог ей внедрить в производство ряд новых видов товаров широкого потребления. Благодаря Торгсину освоены новые фасоны обуви, новые модели трикотажных изделий, высококачественные суконно-шерстяные ткани, береты, прорезиненные пальто из шелка и шелкового полотна и другие изделия. Эти новые виды товаров, ранее производившиеся для Торгсина, теперь будут поступать в общую сеть советских магазинов для свободной продажи [126].
Также Торгсин дал стране много высококвалифицированных и хорошо обученных директоров и работников низшего звена. Пройденные курсы, оплаченные Торгсином в 1933-34 гг., пошли на пользу как людям, которые их прошли, так и всей торговой сети СССР.
Торгсин остался в памяти людей, однако противоречиво. Например историк А.Г. Маньков, который застал это явление вспоминает:
«Уезжая утром, я знал, что дома нет ни копейки, а потому был уверен, что обеда не будет. Оказывается, обед есть: мать свезла в Торгсин одну серебряную столовую ложку и получила за нее крупы, масла и хлеба» [128].
Или вот Цендеровская вспоминает:
«Когда открылись Торгсины, где все можно было купить на золото, родители снесли туда папино обручальное кольцо с рубином и мамины серьги. Больше никаких золотых вещей в нашей семье не было. Торгсин помещался в магазине на углу Большого проспекта и ул. Ленина (тогда Калинина). Теперь здесь обычный гастроном. Попробовали мы тогда хорошей белой булки и еще какие-то продукты удалось купить. У кого было золото, те, конечно, жили хорошо» [129].
А вот воспоминания племянницы знаменитого русского борца Ивана Поддубного:

См.: [130].

Или вот воспоминание Нижегородца Баландина:
«В начале 1-ой пятилетки были открыты магазины «Торгсин» (торговля с иностранцами). Такой магазин был на ул. Свердлова в доме № 1. Здесь за серебро, золото и платину продавали любые продукты и промтовары. Стране нужны были станки, машины, прокат и т.д. Капиталисты все это нам продавали за драгоценные металлы. В подвале дома Пушникова (бургомистра при Петре I) я нашел золотое кольцо. Когда открыли «Торгсин», решили кольцо обменять на пшено, но кольцо из сундука таинственно исчезло» [131].

Также, по рассказам очевидцев краеведческих чтений в Нижнем Новгороде в 2006 году, на докладе Ефимкина про Торгсин вспоминали семейные предания и истории о вещах, связанных с Торгсином, спасших их от голода или случайно там приобретенных [132].

О Торгсине вспоминали и иностранцы, закупавшиеся в нем. Вот что вспоминает Пэт Слоун:
«Торгсин был торговый приемом, который в своем непосредственном применении, безусловно, был несправедливым, но который обеспечивал единственную основу для равенства в долгосрочной перспективе, более высокий уровень производительных сил СССР. Как человек, который очень редко покупал что-либо в Торгсине, я лично считаю, что среднестатистический россиянин был гораздо менее озлоблен тем, что некоторые люди могли делать покупки в Торгсине, чем среднестатистический британский рабочий озлоблен тем, что некоторые люди могут покупать товары в Selfridges, Fuller's или есть в Simpsons. Они были гораздо менее озлоблены, потому что знали, что Торгсин был временным и служил общественно полезной цели, в то время как ни один работающий человек в Британии сегодня не видит общественно полезной цели в постоянной продаже высококачественных предметов роскоши небольшой части населения, в то время как массам людей по-прежнему не хватает многих предметов первой необходимости.
В СССР обладание иностранной валютой было такой же случайностью, как наследование крупных незаработанных состояний в нашей стране сегодня. В обоих случаях из-за преимуществ, как правило, никоим образом не связанных с их личной работой на благо общества, определенные лица пользовались определенными привилегиями. Но в случае с Торгсином привилегия была лишь временной, поскольку запасы золота и серебра истощаются по мере их расходования, в то время как акции и паи, если их владельцам повезет, остаются. И цель Торгсина явно соответствовала социальным интересам, в то время как то же самое нельзя сказать об увековечении нетрудовых доходов от акций» (См.: Pat Sloan, «Russia Without Illusions», 1939).

Даже в американских слушаниях давали некоторую оценку деятельности Торгсина:
«Магазины «Торгсина» открылись в конце 1930 года. До того, как предприятие было ликвидировано в начале 1936 года, они получили около 200 миллионов долларов. Это была одна из самых честных и деловых советских финансовых схем. Цены были довольно высокими, но не чрезмерно, и товары были хорошими. Многие очень редкие предметы, такие как пуговицы, обувь, сливочное масло, апельсины, лимоны и тому подобное, больше нигде нельзя было достать или только в очень ограниченных количествах»
См.: «Scope of Soviet activity in the United States. Hearing before the Subcommittee to Investigate the Administration of the Internal Security Act and Other Internal Security Laws of the Committee on the Judiciary, United States Senate, Eighty-fourth Congress, second session».

Однако не стоит думать, что Торгсин сыграл одну из решающих ролей в развитии индустриализации. За всю историю удельный вес Торгсина в экспорте ни разу не превышал 10%.

См.: [116].

К тому же и в импорте тяжелой промышленности Торгсин не играл большой роли, так как на ее оплату ввоза средств производства лишь за первую пятилетку ушло более 3,5 млрд. руб. золотом [133]. Торгсин не смог оплатить даже 10 часть этой суммы. Еще менее показательных результатов Торгсин добился и в удельном весе всего оборота во внутренней торговле СССР. Самый высокий оборот в 1933 году составил менее процента к сумме всего розничного товарооборота в предыдущем году (31,1 млрд.) [134]. Даже обороты столовых лишь только в Горьковской области превышают обороты Торгсина.

При всех своих недостатках в работе, развертывание сети «Торгсин» все-таки было правильным решением. Стране нужна была любая возможность для накопления валюты и средств для проведения индустриализации. Были ли альтернативы накопления этих средств? На этот вопрос хорошо дал ответ тов. Сталин:
«История знала до сего времени три пути образования и развития мощных промышленных государств. Первый путь — это путь захвата и ограбления колоний. Так развивалась, например, Англия, которая, захватив колонии во всех частях света, выкачивала оттуда «добавочный капитал» для усиления своей промышленности в продолжение двух веков и превратилась в конце концов в «фабрику мира». Вы знаете, что этот путь развития для нас неприемлем, ибо колониальные захваты и грабежи несовместимы с природой советского строя. Второй путь — это путь военного разгрома и контрибуций, проводимый одной страной в отношении другой страны. Так обстояло дело, например, с Германией, которая, разгромив Францию в период франко-прусской войны и выколотив из нее 5 миллиардов контрибуции, влила потом эту сумму в каналы своей промышленности. Вы знаете, что этот путь развития также несовместим с природой советского строя, ибо он ничем по сути дела не отличается от первого пути. Путь третий — это путь кабальных концессий и кабальных займов, идущих от стран, капиталистически развитых, в страну, капиталистически отсталую. Так обстояло дело, например, с царской Россией, которая, давая кабальные концессии и беря кабальные займы у западных держав, влезла тем самым в ярмо полуколониального существования, что не исключало, однако, того, что в будущем она могла бы, в конце концов, выкарабкаться на путь самостоятельного промышленного развития, конечно, не без помощи более или менее «удачных» войн и, конечно, не без ограбления соседних стран. Едва ли нужно доказывать, что этот путь также неприемлем для советской страны» [136].

Были и некоторые другие способы накопления средств у других стран. К примеру, в США в то же время, чтобы как-то устранить последствия депрессии, новоизбранный президент Франклин Рузвельт в 1933 году ввел так называемый “золотой закон” или приказ №6102, который гласил: все лица не позднее 1 мая должны сдать все, кроме небольшого количества принадлежащих им золотых монет, золотых слитков и золотых сертификатов, в Федеральный резерв в обмен на 20,67 $ за тройскую унцию. В соответствии с Законом о торговле с врагом 1917 года с поправками, внесенными недавно принятым Законом о чрезвычайных банковских операциях от 9 марта 1933 года, нарушение приказа каралось штрафом до 10 000 долларов, сроком до десяти лет тюремного заключения или обоими [137].
Этот закон принес в казну американских банков от 200 до 300 млн. долларов (от 388 до 582 млн. руб.) золотом (См.: Matt Erickson, The 1933 Gold CON-fiscation, 2016).
После этого уже спустя год выходит следующий приказ: исполнительный приказ 6814, который во многом повторял приказ 6102, только теперь вместо золота необходимо было продавать серебро [138].

Это был не единичный случай такой политики. Например, в Польше закон от 7 ноября 1919 г. о принудительном выкупе золотых и серебряных монет, а также золота и серебра в непереработанном состоянии гласил:
«Золотые монеты и серебряные монеты с содержанием чистого серебра 80% и более, а также золото и серебро в непереработанном состоянии подлежат принудительному выкупу Казначейством. Правонарушения против малого закона будут наказываться в судебном порядке штрафом до 50 000 польских марок относительно 75 000 крон. Кроме штрафа может быть назначено наказание в виде лишения свободы на срок до трех лет» [139].

Из более свежих примеров можно привести закон о банковской деятельности 1959 года в Австралии, который гласил:
«В соответствии с настоящей частью лицо, имеющее какое-либо золото во владении данного лица или под его контролем, не являющееся:
(a) золотые монеты, общая стоимость которых по содержанию золота не превышает установленного количества; или
(b) золото, законно находящееся во владении этого лица с целью обработки или использования этим лицом в связи с профессией этого лица или ремеслом; должен доставить золото в Резервный банк, или в соответствии с предписаниями, в течение одного месяца после того, как золото поступит во владение лица или под контроль лица, или, если золото находится во владении лица или под контролем лица на любую дату, когда вступает в действие эта часть, в течение одного месяца после этой даты» [140].

Полагаю, что будет очевидным заявление, что ни один из данных выше примеров, как и те, что перечислил в своей работе Сталин, невозможно реализовать в реалиях Советского Союза, поэтому действительно Торгсин — это единственный и достаточно находчивый выход из того положения, что было в 1932–1933 гг.

Авторы и редакторы.
V. Smirnov (автор), А. Космынин (редактор).
Источники:
[115] Плотников К. Н., «Деньги в СССР. Проблемы экономики». 1938 год №5.
[116] НИИ при Всесоюзной Академии внешней торговли, Бакулин, Мишустин: Статистика внешней торговли в СССР.
[117] НИИ монополии внешней торговли. — М.:ВО «Междунар. книга», 1938.
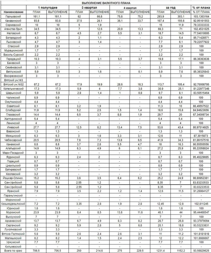
[118] ГКУ ЦАНО Р910 Оп. 1 №315 л. 15. Валютные поступления в 1935 году (первые 3 квартала) в Горьковской конторе.
[119] «Розничная торговая сеть СССР», 1935 год.
[120] Прейскурант на трикотажные изделия 1934.
[121] Прейскурант на трикотажные изделия 1934.
[122] Прейскурант на обувные и кожевенные товары 1934.
[123] Прейскурант на обувные и кожевенные товары 1935.
[124] «Правда» № 314 (6560), 15 ноября 1935.
[125] ГКУ ЦАНО Р910 Оп.1 №324 л.2-3.
[126] «Почему ликвидирован Торгсин». Журнал «Ответы на вопросы рабочих и колхозников», 1936 год, №26.
[127] Арутинян Маркус, «Развитие советской экономики», 1940 год.
[128] Маньков А. Г., «Дневник рядового человека».
[129] Цендровская С. Н. «Крестовский остров от НЭПа до снятия блокады», 1995.
[130] «Советский спорт», 1989, выпуск №174.
[131] Нижегородский краевед. Выпуск 1 2015 год.
[132] Записки краеведов 2008 год.
[133] Турбин, «Советский импорт и индустриализация СССР».
[134] Гатовский, «О советском рубле и советской торговле». Проблемы экономики 1935 год №4.
[135] Горьковский край. К третьему краевому съезду советов. Торговля и снабжение.
[136] И. В. Сталин, «Вопросы ленинизма».
[137] https://www.presidency.ucsb.edu/documents/executive-order-61....
[138] https://www.presidency.ucsb.edu/documents/executive-order-68....
[139] https://sip.lex.pl/akty-prawne/dzu-dziennik-ustaw/przymusowy....
[140] http://www8.austlii.edu.au/cgi-bin/viewdoc/au/legis/cth/cons....

Телеграмм канал "Чемоданчик пруфов"

Показать полностью 9

Продолжение поста «Продолжение поста "Торгсин: одна статья чтобы узнать всё. Часть I. Предыстория Торгсина"»1

Продолжение поста «Продолжение поста "Торгсин: одна статья чтобы узнать всё. Часть I. Предыстория Торгсина"»

Торгсин: одна статья чтобы узнать всё. Часть VI. После голодный 1934 год.

Кстати ещё один способ способ расчета стоимости пшеницы, который не был упомянут в предыдущей части, это непосредственно сравнить цены в магазинах торгсина и обычной массовой торговой сети в США «Safeway».

Из февральской газеты «Western Globe» мы узнаем, что на момент самых низких цен в Америке в начале 1933 года стоимость 2 буханок хлеба была 9 центов. Ни до ни после таких низких цен в американских магазинах не было. 2 буханки хлеба это примерно 1 кг. Следовательно 1 кг хлеба стоил 9 центов. В переводе в советские копейки это будет стоить 17,5 копеек. Торгсин торговал ценой, выше самой низкой цены в американских магазинах лишь с 28 января и по начала июня т.е. немногим более 4-х месяцев, если брать цену на пшеницу. Однако в этой же рекламе мы видим, что и ржаной хлеб стоит столько же, а самая высокая цена на ржаную муку была лишь 16 копеек, т.е. торгсин никогда не торговал рожью выше, чем самая низкая цена на рожь в американских магазинах.

1934 ГОД.

В 1934 году были сделаны значительные успехи в государственной торговле. Крупными темпами развивался общий товарооборот. Если в 1930 г. товарооборот (без общественного питания) составил 17 млрд. руб., то в 1934 г. — 54,8 млрд. руб. В условиях быстро растущих промтоварных и продовольственных ресурсов коммерческая торговля развивалась крупными темпами. Вся коммерческая сеть составляла на 1 января 1933 г. — 1 152 единицы, на 1 января 1934 г. — 6 378. Этот огромный рост коммерческой сети поглощал все большую часть ресурсов и занимал растущий удельный вес в городском фонде.
Следующие цифры дают об этом ясное представление:

См.: [90].
По отдельным продовольственным товарам удельный вес коммерческих фондов в общей реализации составил в 1934 г.:
«[…] по хлебу — 27,9%, по мясу — 19,4%, по маслу животному — 42,5%, по консервам — 40,7%, по кондитерским изделиям — 30,6%, по сахару — 13,5%» [90].

См.: [90].

Особо следует подчеркнуть исключительное значение и исключительный успех развертывания государственной коммерческой хлебной торговле, что сыграло огромную роль в деле снижения хлебных, а следовательно, и других цен в колхозной торговле.
За первое полугодие 1934 г. Наркомснаб развернул по этой линии новую огромную сеть и располагал на 1 июля 1934 г. 5473 хлебными коммерческими магазинами. С тех пор эта сеть росла и резветвлялась, проникая во все более мелкие и отдаленные от центров населенные пункты.
Мощная разветвленная сеть государственной открытой хлебной торговли, сыгравшая исключительно положительную роль в оздоровлении хлебного рынка снижении базарных цен, дала рост оборотов за восемь месяцев 1934 г. в пять раз по сравнению с соответствующим периодом 1933 г., при наличии значительного снижения своих цен [91].
В итоге на начало 1934 года вся торговая сеть СССР выглядела следующим образом:

См.: [92].
Кроме этого, в плане 1934 года было намечено «предусмотреть снижение розничных цен ненормированной государственной торговли» (Постановление ЦИК о народно-хозяйственном плане 1934 год).
В 1 квартале 1934 года было произведено снижение коммерческих и сельских цен на значительную группу товаров, как продовольственных, продаваемых по коммерческим ценам, так и промтоваров, реализуемых по коммерческим и сельским ценам. Вот неполный перечень товаров, на которые Комитет товарных фондов снизил цены от 7 до 42%: колбаса, мозги, печенье, карамель. По товарам ширпотреба снижены цены на нитки — 30%, обувь на монолитной подошве — 18,7%, грубосуконные и шерстяные ткани — 15%, платки — 20%, серпы — 15%, шелковые ткани разных наименований от 20 до 28%; почти на все виды музыкальных изделий цены снижены в среднем на 20% [93].
Особенное значение имел тот факт, что в 1933 и 1934 гг. проведено весьма значительное снижение розничных цен открытой госторговли по тем продовольственным продуктам, которые реализуются в колхозной торговле. Цены на 1 сентября 1934 г. снижены, например, по сравнению с ценами начального срока открытой продажи этих товаров в 1933 г. (по некоторым товарам — это март, по другим — апрель, май или сентябрь):

См.: [91].

Наряду со снижением коммерческих цен было произведено некоторое повышение чрезмерно низких нормированных цен. Таким образом происходил процесс сближения уровня коммерческих и нормированных цен. К концу 1934 г. разрыв между коммерческими и нормированными ценами резко сократился [90].

См.: [90].

Однако неустойчивость цен на рынке и разрыв с розничными ценами еще не были полностью ликвидированы. По некоторым товарам даже на рыночном фонде оставался разрыв в 2-3 раза:

См.: [94].

Средние цены на рынке все еще были сильно завышены по сравнению с коммерческими, а по некоторым пунктам даже самые низкие цены на рынке выше коммерческих:
Пшено — 1–70 руб. за кг. [95].
Ситец — 0–35 руб. за м.
Ботинки мужские хромовые — 32–50 руб. за пару [96].
Хлеб ржаной — 2–44 руб. за кг.
Хлеб пшеничный — 3–31 руб. за кг.
Масло животное высший сорт — 22–03 руб. за кг.
Колбаса ветчина — 12–68 руб. за кг.
Сахарный песок — 10–04 руб. за кг. Сахар рафинад — 10–64 руб. за кг.

Эти данные получены исходя из нескольких источников: [97], откуда бралась изначальная цена продуктов, потом исходя из [98] бралось процентное снижение цен относительно 1934 года, откуда и получалась путем математических расчетов цена за 1934 год.
Теперь, зная приблизительное положение дел во внутренней торговле СССР, можно перейти к рассмотрению политики Торгсина в 1934 году.
Еще в предыдущем году Распоряжением №293 по Всесоюзному объединению «Торгсин» от 14 ноября 1933 года постановило:
«1) Разрешить прием товаров иностранного происхождения:
а) Патефоны и принадлежности к ним
б) Грампластинки
в) Фотооптические товары
г) Измерительные приборы
д) Электрические приборы
е) Обувь
ж) Платье
з) Меха
и) Часы
й) Парфюмерия и косметика
к) Ручки и карандаши
л) Пишущие машинки
м) Мотоциклы
н) Чемоданы
2) Разрешить прием товаров внутреннего происхождения:
а) Ценные ковры
б) Ценные меха/серебристой лисы, соболя, куницы.
в) Меховые манто/котиковые и каракулевые.
[…]
4) При оценке сдаваемых на комиссию товаров исходить из утвержденных правлением прейскурантов на аналогичные или родственные товары с учетом износа таковых» [99].

Теперь Торгсин принимал почти все товары, которые могли иметь хоть какую-то ценность. Это помогло привлечь больше товаров валютной ценности, а также дало гражданам СССР больше возможностей для затоваривания более дорогими вещами.

См.: [100].

См.: [101].

См.: [102].

Однако в отличии от весны 1933 года, когда поступление валюты по переводам занимало всего лишь 20% в сборе инвалюты, то уже в конце года они начали выходить на позиции 1932 года, а к концу следующего превзошли его. В некоторых областных конторах поступление валюты по переводам занимало от 40 до 75% (Одесская, Киевская, Белорусская, Винницкая) [103].
В начале года уменьшили цены на более дорогие вещи (патефоны, баяны, фотоаппараты и медицинские приборы) [104]. К тому же продолжилось и уменьшение цен на продовольственные товары, которое непрерывно шло с весны 1933 года. Они упали даже ниже цен 1932 года, что делало более выгодным для держателя валюты покупать вещи в «Торгсине», затем продавать их на рынке, а потом закупаться в коммерческой сети [67].
Об этом вспоминал и Пэт Слоун:
«С этого момента (с момента закрытия «Торгсина») на все товары были установлены фиксированные цены, и обладатели иностранной валюты больше не пользовались привилегией покупать дёшево. Некоторые посольства были настолько разгневаны закрытием магазинов «Торгсин», что продемонстрировали свое неодобрение, импортируя свои товары из-за рубежа. И это несмотря на то, что они ни в коем случае не покупали всё в «Торгсине», предпочитая продавать свою иностранную валюту по косвенным каналам советским гражданам, которые затем покупали в «Торгсине» и, получая незаконную прибыль, приобретали товары в советских магазинах» (См.: Pat Sloan, «Russia Without Illusions», 1939).

Как показывают конъюнктурные обзоры по Горьковской конторе, цены на продукты в Торгсине снижались даже быстрее рыночных цен, тем самым увеличивая разрыв между ценами и удешевляя реализуемые товары:

См.: [79]. Прим.: последние две таблицы еще раз доказывают, что рыночные цены выше коммерческих.

Там же

См.: [105].

Сумма выручки реализуемых товаров сильно изменилась от товара к товару. Также на это повлияло повсеместное уменьшение цен. К примеру, муки закупили на сумму 41,1 тыс. руб., против 44,1 тыс. руб. в прошлом году, однако тоннаж возрос почти в 4 раза. Это показывает, что сумма валютных поступлений снизилась по отношению к 1933 году не только из-за голода в 1933 году, который вынудил людей, за неимением альтернатив, покупать еду в Торгсине, но и из-за уменьшения стоимости товаров, поэтому затраты на еду уменьшились. Однако, несмотря на изменение цен в сторону их понижения, затраты на хлопчатобумажные изделия, на мыло и на продукты более высокого уровня выросли. У покупателей изменились приоритеты по сравнению с 1933 годом. Такое изменение покупательских приоритетов свидетельствует о том, что теперь угроза голода отошла на второй план и появилась возможность покупать вещи не для выживания, а для комфорта.
С разрешением трудной продовольственной проблемы в СССР многие магазины, открывшиеся в 1933 году, перестали быть рентабельными. С начала года по всей стране начали закрываться торговые точки. В июле их число уже было немногим более 1000 [42]. Не стала исключением и Горьковская область. К июлю из 55 точек должно было закрыться 20 [106]. Это просматривается и из следующей статистики:

См.: [107].

Сокращению подвергались отнюдь не только те магазины, что приносили мало прибыли, иначе перед закрытием Сормовского должны были закрыться Яранский, Слободской и многие другие. Также это не связано и с невыполнением плана, иначе закрылся бы Наловский, Городецкий, Ижевский и т. д. магазины. Скорее всего, торговые точки начали закрываться из-за общей политики Союза по Торгсинам (из-за сокращения импорта и уменьшения его важности также уменьшается и необходимость в приобретении валютных ценностей, что являлось основной задачей Торгсина), однако, чтобы у народа была возможность закупаться в нем, то закрывали те торговые точки, что находились поблизости друг от друга (на сектор диаметром 12 км должна быть хотя бы одна точка).
После чисток в 1933 году от неквалифицированных и безответственных работников стали пересматривать зарплаты работников. За 1934 год зарплата поднялась в среднем на 20–25% (при этом самая маленькая зарплата была у сторожа — 86 руб., а самая большая у управляющего Горьковской конторой — 550 руб.) [108]. Также была проработана система стимулирования работников. К примеру, сторож, схвативший вора, пытающегося пробраться в торгсин и вынести товары, премировали в размере 50 руб., как и кассира Чернова за доброкачественную работу [108], а продавщицу Корецкую премировали в размере 300 руб. за задержание фальшивой книжки [42]. На праздничные даты тоже часто выделялись премиальные, как, например, приказом № 54 8 марта выделили 250 руб. для премиальных лучшим ударникам финансовой части [108].
Но, несмотря на это, все равно случались случаи халатной и даже преступной работы на местах, которая сурово пресекалась. К примеру, в универмаге № 10 в Московской области было замечено полное пренебрежение антисанитарным нормам: хранение скоропортящейся еды не в холодильниках, а просто на складе, грязные прилавки магазина и т. д. В итоге весь верхний аппарат магазина уволили, а низшему объявили строгий выговор [37].
В Белоруссии за антисанитарию и грубость продавцов сняли с работы директора магазина № 3 Ташкову [35].
Не забывали и об улучшении сервиса. Был взят курс на развитие уже существующих точек, а не открытие новых. Левенсон на слёте представителей ударников московских магазинов 15 декабря 1934 года призывал всех работников торгсина улучшить обслуживание покупателя и создать более хорошие условия в магазинах. Для того чтобы видеть ошибки работников и некоторые пожелания посетителей, уже давно в каждом магазине была создана жалобная книга, но особого внимания она получила лишь в 1934 году. В магазинах теперь должен быть вывешен плакат, указывающий, где находится жалобная книга. Последняя должна быть приведена в полный порядок, и все недовольства по поводу обвешивания, обмера товаров и т. п. просить покупателей заносить в жалобную книгу, причем эта книга не реже одного раза в пятидневку должна просматриваться управляющим конторой и тут же в книге делать свои замечания, правильные ли меры в связи с жалобой приняты директором магазина, и указать конкретные мероприятия [109].
В 1934 году Торгсин все также оставался хорошим средством передачи товаров, которым пользовались не только покупатели, но и само государство. Как уже упоминалось выше, начальник внутреннего снабжения и транспортного хозяйства Апсит постановил управляющему обл. конторой В/О «Торгсин» тов. Власову: «Надо через торгсин отправить 7 машин в разные точки страны» [110], а также от 16 марта 1934 также Апсит просил «отослать 26 автомашин в разные конторы Торгсина» [111].
В итоге за 1934 год по всей торговой сети Торгсин поступило валютных ценностей на 65,9 млн. руб. Это значительно ниже, чем в прошлом году, однако куда выше валютных поступлений в 1932 [50]. Несмотря на это, общий тоннаж реализуемых товаров упал не сильно, а по некоторым группам товаров (мука, сахар) даже превзошел предыдущий. Это вызвано снижением средних годовых цен в 1934 году, в отличие от 1933.
Изменился и удельный вес разных валютных поступлений. Однако цены в торгсине настолько снизились, что поступление валютных ценностей перестало окупать расходы Торгсина. К примеру, Горьковская край. контора накопила валютных ценностей на 1160940 руб., а затраты составили 4157023. Лишь благодаря гос. кредитам в 3012483 руб. удалось погасить убытки и выйти в небольшой плюс [112]. Однако цена реализованных товаров все еще превосходила цену поступивших ценностей (1159010 против 1147561) [113].
Отчетный год характеризуется значительным сокращением торговых точек, главным образом за счет передачи их органам Наркомснаба. В отчетном же году были ликвидированы все край. базы, и контора с 1 сентября перешла на непосредственное товарное обслуживание торг. точек. На 1 января 1935 года товарная масса по сравнению с 1 января 1934 года в соответствии с сокращением объема торговых операций значительно сократилась. Некоторые продукты превышают потребности. Излишний запас муки и сахара образовался вследствие конъюнктуры рынка в связи со снижением цен на них [114].

Авторы и редакторы.
V. Smirnov (автор), А. Космынин (редактор).
Источники:
[90] З. Болотин, «Без карточек», 1935 год.
[91] Гатовский, «Советская торговля в 1934 году». Журнал «Большевик», 1934 №18.
[92] Внутренняя торговля РСФСР за 1931-1934 гг.
[93] Зеленский: 17 съезд ВКП(б). О задачах в области товарооборота.
[94] ГКУ ЦАНО Р910 Оп. 1 №164 Информационная сводка 15 марта 1934.
[95] ГКУ ЦАНО Ф. 5917 Оп. 1 №179 Л. 35.
[96] ГКУ ЦАНО Ф. 1664 Оп. 1 №49 Л. 1, 41.
[97] Прейскурант единых розничных цен на продукты с 1-го октября 1935 года.
[98] Нейман: Единая цена. Журнал “Проблемы экономики” 1935 год №3.
[99] ГКУ ЦАНО Р910 Оп. 1 №120.
[100] Вечерняя Москва, газета Московского городского комитета ВКП(б) и Моссовета, 1934, № 298 (3327), 28 декабря.
[101] Вечерняя Москва, газета Московского городского комитета ВКП(б) и Моссовета, 1934, № 275 (3304), 1 декабря.
[102] Вечерняя Москва, газета Московского городского комитета ВКП(б) и Моссовета, 1934, № 250 (3279), 29 октября.
[103] ГКУ ЦАНО Р910 Оп. 1 №134 Л. 3.
[104] ГКУ ЦАНО Р910 Оп. 1 №164.
[105] ГКУ ЦАНО Р910 Оп. 1 №82 Л. 79.
[106] ГКУ ЦАНО Р910 Оп. 1 №263 Л.139.
[107] ГКУ ЦАНО Р910 Оп. 1 №86 Выполнение валютного плана по Горьковской конторе.
[108] ГКУ ЦАНО Р910 Оп. 1 №263.
[109] ГКУ ЦАНО Р910 Оп. 1 №134 Л. 16.
[110] ГКУ ЦАНО Р910 Оп. 1 №134 Л. 41.
[111] ГКУ ЦАНО Р910 Оп. 1 №134 Л. 52.
[112] ГКУ ЦАНО Р910 Оп. 1 №118 Л. 23-28.
[113] ГКУ ЦАНО Р910 Оп. 1 №118 Л. 32, 42.
[114] ГКУ ЦАНО Р910 Оп. 1 №118.

Телеграмм канал "Чемоданчик пруфов"

Показать полностью 14
4

Продолжение поста «Продолжение поста "Торгсин: одна статья чтобы узнать всё. Часть I. Предыстория Торгсина"»1

Торгсин: одна статья чтобы узнать всё. Часть III. 1933 год и голод.

В начале 1933 года постановлением ЦК ВКП(б) была приостановлена торговля в Торгсине благодаря товарным ордерам, потому что их часто стали перепродавать на рынке, что категорически запрещалось правительством, и заменена специальными именными книжками (счетами).

См.: [58].

Во втором квартале 1933 года в связи с голодом Торгсин резко сокращает поставки большей части прод. товаров, а экспорт зерновых культур вообще прекращает:

См.: [59].

Также в связи с голодом планируется увеличение закупки риса в Персии:

См.: [60].

Начало 1933 года отмечено резким увеличением торговых точек. Если в начале 1933 года по Горьковской конторе числилось лишь 13 магазинов, то уже к 21 мая их число увеличилось до 55. Это увеличило объем реализации и приема валютных ценностей.

См.: [61].

Для еще большего увеличения привлечения валютных ценностей и покупательной способности советских граждан 31 мая 1933 года Сташевский предложил принимать патефоны, часы-браслеты, фотоаппараты и др. (62). 21 июля вышел целый перечень товаров, имеющих валютную ценность, принимаемых в Торгсине:

Протокол №56
Заседания правления В/О Торгсин от 21 июля 1933 года.
«VII) Постановили:
Внести в проект инструкции следующие изменения:
а) установить твердый перечень товаров, принимаемых на комиссию, а именно: часы ручные, патефонные пластинки, фотоаппараты, пишущие машинки, охотничьи ружья и мотоциклы.
б) при определении цены придерживаться следующих принципов:
1) по номенклатурам, завозимым Торгсином товаров, исходить из нашей импортной цены минус известный процент на амортизацию
2) по всем остальным предметам, базироваться на покупной их стоимости и возможной реализационной цене Торгсина
в) за сдаваемые вещи Торгсину взимать комиссию в размере 40%.» [33].
«1) Все вещи иностранного происхождения за исключением поименованных в п. 2 принимаются на комиссию беспрепятственно со всех граждан.
2) Автомобили, мотоциклы, велосипеды, пишущие и счетные машины производственного значения принимаются на комиссию только со справочной Таможенного правления о том, что с их стороны не встречается препятствие к продаже данной вещи.» [33].

Как уже говорилось раньше, в конце 1932 года начался прием серебра. К тому же было выявлено множество некомпетентных оценщиков и продавцов. Потому начались чистки кадров.
Существует теория, что чистки кадров были вызваны чисткой советского аппарата от классово чуждых элементов, в связи с чем начали увольнять всех офицеров и членов их семей, а также дворян и мещан, однако из всех просмотренных мною документов я не нашел ни одного подтверждения этой теории. Увольняли либо из-за проколов на работе, либо из-за некомпетентности работника, либо из-за прогуливаний и пьянств, на места которых уже приходили квалифицированные работники, которые прошли курсы, специально организованные Торгсином, а для управляющих конторами были даже подписаны контракты с Татарской Республикой на создание и прохождение курсов. Были организованы и специальные курсы по подготовке низового аппарата, а также курсы по повышению квалификации оценщиков, в связи с увеличением наименований скупаемых ценностей и вещей [33].
Кроме того, как показала проверка аппарата Нижегородского ГУМа, то на 1 октября 1930 года из 191 работника было 23 из мещан и 12 из дворян, купеческих сословий и проч., а также работал Кудрявцев Дмитрий Георгиевич, который был участником Первой Мировой Войны в звании старшего унтер офицера, что доказывает ложность данной теории [63].
Работа Торгсина в 1933 г. характеризуется рядом существенных достижений, в отношении развертывания сети магазинов, и усиления охвата глубинных пунктов, что нашло свое отражение на общем объеме привлечения Торгсином валютных ценностей, которые составили за 1933 г. 106,5 млн. руб., а включая разницу на стоимость золота и серебра 116,6 млн. руб. против 49,3 млн. руб. в 1932 г. Годовой план Торгсина в сумме 120 млн. руб. выполнен т. о. на 97%. Этот разворот работы Торгсина был обеспечен ростом торговой сети с 402 точек на 1.I.1933 г. до 1477 точек на 1.I.1934 года [64]. Однако, от района к району показатели были разные, как и выполнение плана. Если в Украинских и Сибирских конторах было, в основном, перевыполнение плана, то в Ленинградской области планы были сорваны (за 1933 г. Ленинградская область выполнила план за 1 полугодие по реализации на 65,5%, а по валюте на 70,2%) [36]. Такие же показатели дала и Горьковская контора. Начиная однако с июня месяца обороты Торгсина стали снижаться и к концу года достигли уровня не обеспечивающего надлежащий объем работы в 1934 году. Падение валютных поступлений во 2‑й половине того года не может быть отнесено целиком на счет уменьшения валютных ресурсов у населения. Также невыполнение валютного плана связано с задержкой отправления в украинские конторы 250 000 тонн муки и неудовлетворительной работой по Харьковской, Киевской и Одесской конторам [64][36].

См.: [64].

См.: [64].

Рассматривая поступление валютных ценностей в Торгсин по отдельным видам необходимо констатировать, что существенные изменения в 1933 г. произошли по инвалюте, переводам и серебру. Что касается поступлений золота, то оно колеблется в соответствии с общим объемом операций Торгсина. 4-й квартал 1933 г. по удельному весу отдельных видов ценностей характеризуется теми же цифрами, что и весь год в целом, т. е. причина снижения поступлений в 4-м квартале не может быть объяснена исчерпанием валютных ресурсов у населения.
Таким образом основной рост и колебания оборотов Торгсина в 1933 г. имели место за счет хлебных товаров. Реализация без муки и круп дает относительно устойчивые цифры по кварталам, с тенденцией некоторого снижения во 2‑й половине года. Естественно, поэтому, что когда потребность населения в хлебе в связи с новым урожаем резко упала, происходит свертывание оборотов Торгсина и возвращение их к прошлогоднему низкому уровню. Необходимо особо подчеркнуть, что удельный вес промтоваров в реализации Торгсина весьма невелик и абсолютные размеры продажи промтоваров в 1933 г. даже ниже чем в 1932 г.

См.: [64].

См.: [64].

Т. е. развертывание торг. сети Торгсина и др. мероприятия не обеспечили устойчивого разворота его реализации и последний носил сугубо временный характер в основном связанный с временным недостатком продовольствия в ряде районов в январе-июне 1933 года

См.: [64].

Т. е. против плана в 90 дней оборачиваемость товаров Торгсина замедлилась почти вдвое, до 173 дней в IV квартале. Не говоря уже об отдельных товарах, оборачиваемость которых достигает 550 дней (шерстяные, льняные ткани), по группам промтоваров средняя оборачиваемость составляет от 300 до 350 дней.
В результате, несмотря на снижение цен, частичное изъятие остатков Торгсина (комиссия т. Молотова) и общее снижение его оборотов, остатки Торгсина составили на 1/I‑34 г. 34,7 млн. руб., т. е. полугодовой запас, а по ряду промтоваров эти остатки составляют более годичного запаса реализации. Замораживание в каналах Торгсина значительных масс остродефицитных товаров является, безусловно, ненормальным явлением. Основной причиной низкого уровня реализации промтоваров у Торгсина является неправильная политика цен Торгсина. В своей политике цен Торгсин не имеет твердой системы и четких методов построения цен. Построенные на базе довоенных цен цены Торгсина подвергались затем не общему пересмотру, а отдельным коррективам по тем или иным товарам, причем и на сегодняшний день четких методов построения цен Торгсин не имеет. В результате разрыв между ценами Торгсина и ценами рынка по отдельным товарам колеблется от 1‑10 до 1‑50. Сдатчик ценностей в результате такого разрыва не только не является основным потребителем товаров Торгсина, но зачастую является либо продавцом товарных книжек, либо перепродавцом товаров Торгсина [64].
Для наглядности нужно продемонстрировать политику цен.
В книге по установлению цен первое упоминание цены на муку датируется 28 января 1933 годом.
Сначала 28 января, когда прод. товары заметно возросли в цене по всему Советскому Союзу увеличилась цена и в Торгсине: мука ржаная — 13к., пеклеванная — 22к., пшеничная 96% — 18к., 90% — 20к., 85% — 22к., 80% — 24к., 75% — 26к., 50% — 35к., 30% — 40к., 25% — 45к., крупчатка — 50к., мука гречневая — 22к., манная — 50к., гречка — 24к., перловая — 20к., овсяная — 20к., пшеница — 17к.
5 февраля в связи с увеличением себестоимости продовольственных товаров и обнищании продовольствия в стране Торгсин опять повышает цены: Мука ржаная — 16к., пшеничная: 96%-20к., 90%-22к., 85% — 24к., 80% — 26к., 75% — 28к., 50% — 38к., 40% —40к., 30% — 44к., 25% - 47к., пшено — 20к., гречка — 26к.
Правда уже через неделю, 12 февраля, чтобы компенсировать повышение цен на продукты снижаются цены на одежду, обувь и готовые платья на 15-25%.
Уже 23 февраля устанавливается снижение цен на хлопчатобумажные изделия, а 9 марта цены на резиновые ботинки снизились еще на 20% и, начиная с 25 марта, когда с продовольствием стало немного лучше (установлены поставки продовольствия из разных стран, началась продажа хлеба в коммерческих магазинах), также стали снижаться цены и на продовольствие, и в итоге уже к августу цены на большинство товаров были снижены на 50–75% [65].

См.: [67].

На рынке, как говорилось ранее, также цены сильно поднялись. Это связано не только с голодом, но и с сезонностью. Всегда в истории России и многих других стран с суровым климатом весенние цены на еду были выше осенних цен.

См.: [68].

Однако столь большой скачок в цене — это следствие не только фактора сезонного подорожания, но также обнищания запасов гос. сектора и свободного ценообразования рыночных цен. В связи с этим частники скупали еду подешевле и выставляли по завышенным ценам, потому что конкуренция в виде госсектора временно отсутствовала. Как только коммерческие магазины начали продавать еду, то цены значительно уменьшились. Теперь стоит сказать о цене товаров, которые обменивали покупатели в Торгсине.
Согласно записке от 5 сентября 1934 года цена приемки золота и платины была следующей:
«Золото: 96 пр. — 1-29 руб. за гр.
86 пр. — 1-15 руб.
72 пр. — 0-86 руб.
56 пр. — 0-72 руб.
36 пр. — 0-48 руб.
Платина чистая — 0-72 руб.
1) Если изделия имеют художественную ценность допускается делать накидку на металл, но не более 10% стоимости металла в зависимости от художественного исполнения.
2) Платиновая смесь всех проб принимается как серебро» [69].

На мировом рынке серебро стоило 1,2929 долларов за тройскую унцию, поэтому т.к. серебро принималось в Торгсине согласно мировой цене, то можно найти цену грамма серебра: курс доллара 1,94, поэтому унция серебра стоит 2-50 руб. Тройская унция это 31,1 грамм откуда получаем стоимость одного грамма: 0-08 руб.

Кроме этого принимались также и бриллианты по следующим ценам:
«(динамика изменения цен на бриллианты у приемщика)
а) Крупные- хар. 1/2, до 17.12.1933 1,33 руб за карат вне зависимости от веса. С 17.121933 по июнь 1934 г. 2 руб за карат вне зависимости от веса. С июня 1934 новая цена в соответствии с весом устанавливается: 5 руб, 8 руб, 10 руб и 12 руб за карат.
II)
а) мелких — хар. 1/2, до 17.12.1933 1,33 руб за карат вне зависимости от веса. С 17.121933 по июнь 1934 г. 2 руб за карат вне зависимости от веса. С июня 1934 в соответствии с весом устанавливается 3 руб и 4 руб за карат.
б) мелких хар. 5/1 весом от 0,5 до 0,74 карат до 17.12.1933 5,33 руб за карат. С 17.121933 по июнь 1934 г. 8 руб. С июня 1934 10 руб.
в) мелких — хар. 4/1 весом от 0,5 до 0,74 карат до 17.12.1933 5,33 руб за карат. С 17.121933 по июнь 1934 г. 8 руб. С июня 1934 12 руб. Весом от 0,75 до 0,99 до 17.12.1933 8 руб. С 17.121933 по июнь 1934 г. 12 руб. С июня 1934 15 руб.
г) меланж - хар. 5/1 весом от 0,50 до 0,74 карат до 17.12.1933 г. 8 руб. С 17.121933 по июнь 1934 12 руб. С июня 1934 г. 15 руб. Весом от 0,75 до 0,99 до 17.12.1933 г. 8 руб. С 17.121933 по июнь 1934 г. 12 руб. С июня 1934 г. 18 руб.
д) меланж — хар. 6/1 также как меланж хар. 5/1
е) меланж хар. 7/1 соответственно по весу до 17.12.1933 г. 10 руб и 12 руб за карат соответственно. С 17.121933 по июнь 1934 г. 15 руб и 18 руб за карат соответственно. С июня 1934 г. 18 руб и 20 руб за карат соответственно
ж) меланж — хар. 8/1 весом от 0,50 до 0,74 до 17.12.1933 г. 12 руб. С 17.121933 по июнь 1934 г. 18 руб. С июня 1934 г. 20 руб за карат.
з) меланж — хар. 9/1 соответственно по весу до 17.12.1933 г. 14,67 руб и 18,67 руб. С 17.121933 по июнь 1934 г. 22 руб и 28 руб. С июня 1934 г. 27 руб и 32 руб за карат.
III)
а) меле — хар. 1 весом от 0,30 до 0,49 с пороками до 17.12.1933 г. 6,67 руб. С 17.121933 по июнь 1934 г. 10 руб. С июня 1934 г. 8 руб.
б) тоже хар. 2 до 17.12.1933 г. 8 руб. С 17.121933 по июнь 1934 г. 12 руб. С июня 1934 г. 10 руб.
в) тоже хар. 3 до 17.12.1933 г. 10 руб. С 17.121933 г. по июнь 1934 г. 15 руб. С июня 1934 г. 13 руб. (за этим документом идет телеграмма, поправка: вместо меле хар. 3 вместо 15 руб устанавливается 13 руб. читать 12 руб. [70]). Чистые до 17.12.1933 г. 12 руб. С 17.121933 по июнь 1934 г. 18 руб. С июня 1934 г. 16 руб.
г) тоже хар. 4 с пороками до 17.12.1933 г. 12 руб. С 17.12.1933 по июнь 1934 г. 18 руб. С июня 1934 г. 15 руб. Чистые до 17.12.1933 г. 14 руб. С 17.12.1933 по июнь 1934 г. 21 руб. С июня 1934 г. 18 руб.
IV) Цены на бриллианты Голландские грани:
До 17.12.1933 г. 3,03 руб за карат. С 17.121933 г. 4,55 руб за карат.

(От авт.: К сожалению в документе, из записки по изменениям прейскурантов по поводу данной категории сказано, что «цены остались без изменения». Поэтому для расчета приблизительной цены я взял ведомость на скупленный Агат в Вятском универмаге №3 «Торгсин» за время с 8 по 15 сентября 1934 года [71] и сводную ведомость по скупке бриллиантов с 16 по 31 августа 1934 года[72]. Благодаря информации об общей стоимости и общему весу нашел цену за карат каждой из ведомостей: 4,56 руб и 4,53 руб соответственно, потом вывел среднюю арифметическую, равную 4,545 руб и округлил до целых копеек (т.е. до сотых) в большую сторону. вполне возможно, что оценка эта неточна, однако из приведенных фактов можно смело сказать, что погрешность не может превышать 5 копеек за карат).
V) По розам нами введена новая графа: "с желтым и коричневым нацветом, чистые и с небольшим пороком" по цене до 0,29 2-00, а от 0,30 до 0,50 4-00 за карат.
(От авт.: Из [73] от 17.12.1933 мы узнали, что цены на все сорта бриллиантов повышены на 50%, поэтому было нетрудно рассчитать зная изменения цен в июне 1934 года из [74] цену до 17.12.1933)»

Можно также упомянуть, что не всегда эта политика цен использовалась при оценке бриллиантов в скуппунктах. К примеру Азовский и Пудалов в Циркулярном письме Управляющему Н/Горьковской к-ры Скуппункт Бриллиантов пишут:
«При приеме бриллиантов и роз ряда скуппунктов центральная сортировочная база В/О Торгсин обнаружила упущения по применению прейскуранта, явно небрежное выполнение технических функций по приемке бриллиантов и роз, нарушающих правильный контроль за работой скуппунктов. Так например Бакинский Скуппункт принял крупный бриллиант толстый круглый с незначительным нацветом за белый разложистый, Тифлисский Скуппункт систематически переплачивал против прейскурантных цен на бриллианты и розы.
Киевский Скуппункт показал, что совсем не умеют пользоваться прейскурантом, определяя качество камней несуществующей цифровой характеристикой, кроме того, в один пакет складывал бриллианты и розы, принятые им по разным ценам. Ростовский Скуппункт принял круглый бриллиант с незначительным пороком за чистый. Бриллианты и розы, заготовленные бригадой Ростовского скуппункта в районе и препровожденные вместе с реестрами в Ростовский Скуппункт были пересмотрены и переоценены последним.
Все Скуппункты кроме Московского систематически переплачивают за розы, принимая брак, порочные с нацветами и неправильной формы по высоким ценам.
Ряд Скуппунктов вследствие отсутствия квалифицированных специалистов принимают бриллианты толстые круглые, как разложистые. Разложистый надо понимать, если камень имеет тонкий рундист и имеет широкую площадку.
Особенно ярко выделяется форменное невежество в области применения нацветов. Сплошь и рядом бриллианты с незначительными нацветами принимаются как белые с небольшим нацветом. Также неправильно определяются пороки. Замечены случаи небрежного составления реестров без указания порядковых номеров, вписывание камней в несоответствующую графу, торговые суммы по отдельным графам не подведены. Допускаемый минимальный привес на один пакет /до 0,005/ значительно превышается.
Случаи, приведенные выше показывают, что со стороны руководителей Обл. Кр. К-р. не было проявлено должной бдительности при приемке на работу приемщиков бриллиантов, а также не осуществляется повседневный контроль за работой аппарата Скуппунктов.
Предлагаем по получении письма пересмотреть состав работников скуппунктов, немедленно сняв с работы чуждые элементы вместе с тем, вам необходимо повести решительную борьбу с фактами, характеризующими халатное отношение приемщиков и экспертов по приемке бриллиантов, в частности снимая с пайка, накладывая административные взыскания вплоть до увольнения. Также необходимо подвергать обязательному обсуждению на производственных совещаниях случаи неправильной приемки на основании актов приемки, высылаемых Н/Центральной Сортировочной Базой.
Одновременно просим установить письменную связь по вопросам применения характеристик нашего прейскуранта, путем отдельных запросов. Ваши соображения и т.д., а в необходимых случаях высылать приемщика на Центральный Сортировочный пункт для инструктажа» [75].
Однако я буду придерживаться политики прейскурантных цен при последующих расчетах стоимости товаров в Торгсине, тк данные случаи являются исключениями из правил, против которых в Торгсине велась активная борьба.
Теперь стоит сравнить политику цен Торгсина с мировой политикой цен, т. к. целью Торгсина было привлечение инвалюты, а также он часто торговал с другими странами, то это сравнение вполне адекватное.
Благодаря сохранившейся таблице неоплаченных переводов мы можем узнать соотношение цен в разных странах:

Как видно из СССР, то по отношению к мировым валютам рубль в Торгсине равнялся обычному сов. рублю. Это подтверждает и иностранная пресса: рубль в этих магазинах (Торгсинах) стоил так же дешево, как и на зарубежных рынках (См.: United States. Congress. Hearings, Prints and Reports 1959-09-25).
Если в СССР курс 1 марки оценивается в 0,45475 руб., то получаем стоимость пшеницы за 100 кг с июля 1933 года в Нью-Йорке — 5,6389 руб., в Лондоне — 4,1245825 руб., в Берлине — 8,53111 руб., а в СССР мука пшеничная стоит 6 руб. (т. е. мука в СССР стоит чуть больше, чем пшеница в Америке, и даже меньше, чем пшеница в Германии). С рожью дела обстоят еще хуже (для американцев): если в Америке рожь стоит 4,05637 руб., то в СССР мука ржаная стоит 4 рубля (стоимость муки взята из [79]). Поэтому можно с уверенностью сказать, что цены в Торгсине по отношению к курсам валют вполне себе дешевые. Даже по сравнению с процветающим для Америки 1924 годом цена дешевая (1 фунт стоит от 4,5 до 5,1 цента, значит, кг стоит от 9,91 до 11,23 цента. Курс рубля к доллару до 1933 года был 1,94, откуда получаем цену муки в рублях от 19,23 до 21,79 коп. Даже при самых высоких ценах зимой 1933 года в 20 коп. цена Торгсина по сравнению с ценами в Америке в 1924 году будет довольно дешевая цена).

Есть еще один способ расчета стоимости пшеницы на мировом рынке. По международному пшеничному соглашению от 25 августа 1933 г., из приложения А минимальной средней ценой на пшеницу, исчисленной Стэнфордским пищевым университетом в Калифорнии (изложенному в томе 4, № 8 «Исследования по пшенице»), стоимость одного квинтала пшеницы равна 12 золотым франкам (или 63,02 золотых цента за бушель) [81]. Так как квинтал — это более точная единица измерения массы (100 кг), то именно ее я и выберу для следующих расчетов: золотой франк равняется 0,3758 руб. Исходя из этих данных, можно получить, что квинтал пшеницы стоит 4,5096 руб., следовательно, 1 кг пшеницы стоит 4,5096 коп. Теперь также прибавим таможенный тариф пшеницы на Американском рынке, взятый из нового таможенного тарифа в США:

Получаем, что к 4,5096 коп. надо прибавить еще 0,97 коп. В итоге стоимость нашей пшеницы на американском рынке равняется 5,4796 коп. Это минимальная разрешенная цена на пшеницу СССР, которая была рассчитана исходя из данных мирового пшеничного соглашения. Однако в СССР пшеница, стоящая 6 коп., гораздо худшего качества, чем вывозимая. Пшеница такого же качества стоит 12 коп. [83]. Это значительная разница между ценой вывозимой пшеницы и ценой пшеницы на рынке внутреннего потребления в Торгсине. Такой перепад вызван уменьшением стоимости советских экспортных товаров на мировом рынке из-за капиталистического кризиса. К 1933 году стоимость советской пшеницы на мировом рынке равнялась 0,4 стоимости той же пшеницы в 1929 году [56]. В СССР занижения стоимости было относительно малым, и причины были совсем иные (уменьшение заготовительных цен, уменьшение себестоимости пшеницы и т. д.). Если цену пшеницы в 1929 году принять за 1, то в 1933 году она уже стоила около 0,865 [84]. Теперь можно рассчитать приблизительную стоимость пшеницы на советском рынке относительно американского. 5,4796 / 0,4 * 0,865 = 11,85 коп. Получаем аналогичную ситуацию: минимальная стоимость пшеницы на американском рынке чуть ниже стоимости пшеницы в Торгсине. В обоих случаях, хоть и с немного отличающимися показателями, мы получили одинаковые тенденции, следовательно, расчеты верны.
Голод в Украине также сильно повлиял на работу Торгсина. Часто Торгсин отгружал свою продукцию на нужды голодающим. К примеру от 16 мая 1932 года ЦК ВКП(б) предлагает отгрузить для нужд снабжения Украины 35 тыс. т. пшеницы, находящейся в украинских портах, а от 15 февраля 1933 года комитет заготовок сельхозпродуктов постановляет для помощи голодающим перебросить дополнительно из Волги и центрального черноземья 2500 тонн ржаной и 8500 тонн пшеничной муки, а также аннулировать 10500 тонн мучных нарядов.

См.: [85].

См.: [86].

«Протокол №36
13 июня 1933 года
II)
2) т. Натапову дать указание Торгсина о выделении Киевской конторе 1000 тонн муки из имеющих быть полученными для Украины, 2000 тонн из неп-фонда. одновременно выяснить в МОК возможность отгрузки в Киев маршрутом до 400 тонн муки и столько же крупы
6) Считать возможным выделение для Киева от 15 до 20 тонн свинины, ожидаемой из Эстонии.» [33].

Даже Горьковская контора отгрузила Киевской конторе 5000 тонн муки [33].
Также Торгсин зачастую способствовал помощи голодающим, решая проблему беспошлинного ввоза и вывоза продуктов, а также переводу средств на помощь голодающим не только Советского Союза, но и, к примеру, голодающим Германии в начале 30-х годов.
Из письма имперского сообщества “братья в нужде” ген. секретарю европейского центрального бюро церковной помощи А. Келлеру о переправке зерна голодающим России 22 декабря 1933 [87]:

«Немецкие колонисты в Бессарабии под руководством заслуженного обер-пастора Хаасе снова организовали в Тарутино (Румыния), как это было в 1930 г., сбор зерновых культур — около 20 вагонов ячменного зерна и сладкой кукурузы, которые должны быть получены немецкими колонистами в СССР. В натуральном виде организовать это, к сожалению, невозможно, т. е. зерно должно быть продано, а общая выручка пойдет туда через «Торгсин». В 1930 г. нам удалось организовать дело таким образом, что зерно прибыло в Германию без уплаты пошлины, далее было здесь продано, а значительный доход был направлен в пользу голодающих.»

В связи с голодом Торгсин стал более широко используемым советской властью в качестве поставщика продовольствия в разные точки страны. Это была одна из немногих общесоюзных организаций, в которой действовала своя сеть путей сообщений. В ней работало много курьеров, а также было огромное количество точек, сравнимое, наверное, даже с почтой.
Однако процент реализации по отношению ко всей реализации СССР всё также остается довольно низок. На 1 квартал 1933 года планировался расход 25 тыс. тонн хлеба на Торгсин, что составляет 1,3% от всего планируемого расхода. Не похоже на то, что в Торгсин специально завозили хлеб дабы потом его перепродавать за золота населению.

См.: [89].
1933 год (а точнее, первые два его квартала), оказались самым прибыльным за всю его историю из-за голода. Но не потому что Торгсин нажился на человеческом горе, а потому что цены на товары, в следствии голода, поднялись по всему СССР, а Торгсин не стал исключением.
Разбивая миф о том, что Торгсин монополизировать продажу хлеба для выкачки золота из населения, следует посмотреть на Справочную таблицу по сопоставление плана использования зерновых культур урожая 1933 г. с расходом урожая 1932 г.

https://istmat.org/node/41259

На Торгсин приходится 12.5 млн пудов зерновых культур, что составляет 1.07% от общего плана. Для сравнения, продовольственная помощь (одна она к слову больше чем всё использование Торгсина), фуражная помощь и семссуды предоставляемые голодающим составили 12.05% от общего плана.
Из аналитической записки сектора внешней торговли Госплана СССР о работе Торгсина в 1933 г. 20 февраля 1934 г. можно узнать приблизительное увеличение оборотов Торгсина, на которое повлиял непосредственно голод.
Так как к 4 кварталу 1933 года в связи с новым урожаем голодная ситуация начала сходить на нет, то его прибыль можно взять как ту, на которую не повлиял голод, поэтому его возьмем как среднюю по году, т. е. 18 479,6. Умножим на количество кварталов и из оборотов Торгсина в 1933 году вычтем эту сумму: 105 144,6 — (18 479,6 * 4) = 31 226,2 тыс. руб. Именно столько дополнительного дохода принес непосредственно голод. Эта цифра вполне сочетается с разницей между оборотом в 1933 и 1934 гг., если учесть, что обороты в 1934 году постоянно сокращались и к середине года закрылось около трети магазинов, следовательно, она близка к истине. Таким образом, дополнительный доход от голода составил менее 30% от всего дохода, полученного в 1933 году.
В связи со спадом оборотов Торгсина руководство начало предлагать новые идеи для упорядочения работы Торгсина, обеспечения роста поступления валютных ценностей, большей увязки реализации Торгсина с интересами экспорта, а также снижения издержек торговли Торгсина:
1. Торгсин должен, не ограничиваясь только продажей товаров, развернуть работу по предоставлению услуг населению (жилища, дачи, курорты, мастерские и т. п.).
2. Система цен Торгсина должна быть перестроена на базе единого для всех товаров коэффициента соотношения валютных цен и ценами коммерческих магазинов и рынка, корректируя это соотношение в зависимости от соотношения спроса и выделяемых товарных фондов, а также валютной эффективности экспорта тех или иных товаров.
3. Необходимо установить твердые нормы рентабельности продажи по товарам, нормы расходов по системе и нормы остатков, установив жесткий контроль за их выполнением.
4. Систему зарплаты в Торгсине увязать с выполнением торг. фин. плана, не допуская расходования валютных ценностей (пайков) в условиях невыполнения количественных и качественных заданий плана.

Авторы и редакторы.
V. Smirnov (автор), А. Космынин (редактор).
Источники:
[58] Протокол № 130 заседания Политбюро ЦК ВКП(б) от 8 февраля 1933 года.
[59] Протокол № 134 заседания Политбюро ЦК ВКП(б) от 4 апреля 1933 года.
[60] Протокол № 129 заседания Политбюро ЦК ВКП(б) от 1 февраля 1933 года.
[61] ГКУ ЦАНО Р910 Оп. 1 №310.
[62] ГКУ ЦАНО Р910 Оп. 1 №121 Протокол №31 о заседании правления.
[63] ГКУ ЦАНО Ф.1664 Оп. 1 №17.
[64] РГАЭ, Ф. 1562, Оп. 329, Д. 14 Л. 29-36.
[65] ГКУ ЦАНО Р910 Оп. 1 №159.
[66] Протокол № 129 заседания Политбюро ЦК ВКП(б) от 1 февраля 1933 года.
[67] РГАЭ, Ф. 8040, Оп. 8, Д. 55, Л. 29-30.
[68] Динамика цен советского хозяйства 1930.
[69] ГКУ ЦАНО Р910 Оп. 1 №182 Л. 81.
[70] ГКУ ЦАНО Р910 Оп. 1 №182 Л. 54.
[71] ГКУ ЦАНО Р910 Оп. 1 №186 Л. 18.
[72] ГКУ ЦАНО Р910 Оп. 1 №190 Л. 240.
[73] ГКУ ЦАНО Р910 Оп. 1 №182 Л. 6.
[74] ГКУ ЦАНО Р910 Оп. 1 №182 Л. 53.
[75] ГКУ ЦАНО Р910 Оп. 1 №182 Л. 29.
[76] ГКУ ЦАНО Р910 Оп. 1 №132 Ведомость Неоплаченные ин. переводы на 1 ноября 1934 года В/О Торгсин.
[77] Известия. 1933. 3 ноября. Курсы валют.
[78] Журнал Госплана и ЦУНХУ СССР «План» № 2 1933 г., стр. 53-56.
[79] ГКУ ЦАНО Р910 Оп. 1 №2 Конъюнктурные обзоры.
[80] https://babel.hathitrust.org/cgi/imgsrv/image?id=umn.31951d0....
[81] Сборник действующих торговых договоров и иных хозяйственных соглашений СССР, заключенными с иностранными государствами 1935.
[82] Новый таможенный тариф в США, 1932.
[83] ГКУ ЦАНО Р910 Оп. 1 №159.
[84] Ежегодник хлебооборота №4-5-6 за 1929-30, 1930-31, 1931-32 и 1932-33 гг.
[85] Протокол № 100 заседания Политбюро ЦК ВКП(б) от 16 мая 1932 года.
[86] РГАЭ, Ф. 8040, Оп. 1, Д. 26, Л. 91.
[87] РГВА, Ф. 1357 к. Оп. 2. Д. 60. Л. 15.
[88] РГАСПИ, Ф. 17. Оп. 3. Д. 921. Л. 83.
[89] РГАСПИ, Ф. 17. Оп. 162. Д. 14. Л. 37-38

Телеграмм канал "Чемоданчик пруфов"

Показать полностью 20
1

Продолжение поста «Торгсин: одна статья чтобы узнать всё. Часть I. Предыстория Торгсина»1

Часть 1 Торгсин: одна статья чтобы узнать всё. Часть I. Предыстория Торгсина

Торгсин: одна статья чтобы узнать всё. Часть II. 1932 и начало 1933 года.

1932 ГОД.
В 1932 году сеть еще не разрослась в целую франшизу, поэтому основной доход, как и реализация товаров была на экспорт. К примеру из годового отчета Горьковской области видно, что импорт составляет всего 1,3% от всей реализации товаров:

См.: [24].

По плану золото-накоплений по всему СССР доля хоть и немного больше, однако все равно очень мала, 1/8 общей части:

См.: [25].

Если перед государством стояла цель выкачать золото из населения при помощи Торгсинов, как нас убеждают некоторые "историки", то ставить план по золоту на 1/8 от общей добычи крайне мал. Из этого можно сделать вывод, что теория о выкачке золота из населения при помощи Торгсина довольно сомнительна.
Не подтверждают эту теорию и какие-либо документы. Переписки, стенограммы, доклады или нечто подобное где говорилось бы о необходимости выкачать драгоценности из граждан при помощи Торгсинов и голода.
Но какие были цены в Торгсине? Посмотрим исходя из нескольких данных. Прибыль горьковской конторы за 1932 год составила:
1. Всего выручка от продажи составила 944 837 руб.
2. Себестоимость же составляет 555 306 руб.
3. Прочие затраты составили 196 101 руб.
Итого получаем чистой прибыли 137 445 руб. (15% от выручки с продажи)[26]. Такая прибыль означает вполне себе небольшую разницу в цене покупаемого золота к цене продаваемых товаров. Действительно, за этот год золота Торгсин скупил на 731 134 руб., что составляет 77% от всей выручки, поэтому можно смело сказать, что в Горьковской конторе цена продукта была вполне себе приемлемой в 1932 году. К тому же на товары, потерявшие в цене были распространены уценки, что значительно повышало спрос среди малоимущих граждан. К примеру уценка на свинину у Приказчикова А. П. составила 15,30 руб. [27] (В последующих частях частные примеры будут в основном касаться Горьковской области, т. к. с региональными архивами других областей сотрудничество не велось).
Теперь рассмотрим цены Торгсина относительно розничных (государственных), цен. За управление розничной торговлей в СССР отвечал ГОРТ (государственное объединение розничной торговли). Вот цены на хлебофуражные товары в Торгсине:

См.: [28].

Теперь перейдем к рассмотрению цен Торгсина относительно розничных.
Согласно совещанию торг. сектора прайснаба от 25.12.1932 года цены на некоторые виды товаров устанавливались следующие:
Манная пшеничная крупа: 73 коп.
Ядрица: 40 коп.
Пшено 1 сорта: 36 коп.
Пшено 2 сорта: 33 коп.
Гречневая крупа: 34 коп.
Кукуруза: 44 коп.
Овсяная: 54 коп.
Перловая: 51 коп.
Ячменная: 46 коп.
Полбяная: 43 коп.
Горох лущеный: 64 коп.
Горох средний и мелкий: 40 коп.
Горох серый: 30 коп.
Фасоль белая: 49 коп.
Фасоль цветная: 33 коп.
Чечевица: 45 коп.
Бобы столовые: 40 коп.
См.: [29].
Нетрудно заметить, что на большинство продуктов цены отличаются в 3-5 раз, что подтверждает относительную дешевизну товаров в Торгсине. Это подтверждается и в иностранной прессе. К примеру, есть интересная история о том, что «ряд армянских монахов жили в “безбожном СССР” из-за политики правительства, позволяющего получать деньги Торгсина от своих единоверцев в других странах» и покупать вещи по «гораздо более низким ценам, чем в обычных магазинах» (См.: Pat Sloan, «Russia Without Illusions», 1939).
Такие низкие цены в магазинах Торгсина созданы специально для привлечения валютных ценностей, чтобы люди видели большую выгоду для себя в покупке прод. товаров за валютные ценности, а не в покупке за советскую валюту.
Поначалу Торгсин принимал лишь золотосодержащие предметы, однако, 25 ноября 1932 г. разрешил принимать также и серебро.

См.: [30].

В декабре 1932 года скупка серебра производилась Торгсином в 6-ти городах, в январе в 31 гор., в феврале в 65 гор., на 1 марта в 181 гор., на 1 апреля в 593-х гор.
Рост скупки серебра и золота за 1-й квартал в Горьковской крайконторе:

См.: [31]. В строке «Итого» неправильно произведен расчет. В документе написано: 1-й столбец — 10707,6, 2-й столбец — 3758,1, 3-й столбец — 5097,6, 4-й столбец — 19568,3
.
Торгсин реализовывал товары даже на сов. валюту. Этому есть подтверждение, как в карточках счетов, так и исходя из постановлений:

См.: [32].

Из распоряжения №40 по всесоюзному объединению Торгсин 15-го февраля 1933 года:
«1) Несмотря на мои неоднократные распоряжения, запрещающие продажу товаров на сов. валюту, продолжают наблюдаться нарушения моих директив. (Сташевский)» [33].
Из постановления №15 9-го марта 1933 года:
«1) В ЦЧО К-ре имело место значительная реализация товаров на соввалюту на сумму 52 тыс. руб. в золотом исчислении, что составляет около 4% к общему обороту конторы за 1932 год.
2) Несмотря на наличие документов формально подтверждающих право конторы на реализацию товаров на соввалюту, из состояния материалов следует, что оформление этих операций было недостаточно четко, в результате чего не представляется возможным установить соответствует ли кол-во проданных товаров имеющимся на то разрешениям правления.
На основании этого постановили:
1) впредь отпускать товары каждый раз лишь с разрешения правления
2) разработать и преподать облконторам систему учета таких товаров и создать документы, дающие право на такие продажи.
(Cташевский)» [33].
Конечно реализацию товаров на сов. валюту можно назвать исключением из правил, но упомянуть о ней все же стоит.
Из таблицы, представленной выше можно вывести курс продажи товаров:
Мыло (хоз.) — 1,20 руб.
Мыло (туалетное) — 40 коп.
Вермишель — 1 руб.
Сельдь — 1,08 руб.
Сыр (Гол.) — 3,20 руб.
Масло (топ.) — 4,40 руб.
Колбаса — 2,4 руб.
Манная крупа — 80 коп.
Пшено — 28 коп.
Сахар — 90 коп.
Мука (пшен.) — 59 коп.
Отсюда видно, что на сов. валюту Торгсин продавал по приблизительно схожим ценам с розничными, а по некоторым даже ниже розничных.
Также стоит отметить отношение к рабочим в конторе Торгсин. Им полагался декретный отпуск, если таковой был необходим, за перевыполнение плана выплачивались премии, а также оплачивался отпуск. Даже были выплаты пенсии. К примеру Русиновой Нине Александровне работнице универмага №22 Горьковской конторы каждый месяц выплачивали пенсию в размере 17,21 руб [34].
Однако спрос был тоже велик, поэтому за ошибки и пренебрежения к работе часто применялись штрафные санкции вплоть до увольнения и даже заведения уголовного дела. К примеру в приказе №2 указывалось, что «за антисанитарию и грубость продавцов» нужно снять с работы директора магазина №3 (Белоруссия) тов. Ташкову.
В пункте 9 этого приказа: «Создать аттестационную комиссию по самопроверке всего состава аппарата Белорусской конторы для чистки его от чуждых и неквалифицированных элементов» [35].
В Горьковской конторе было замечено 9 растрат на сумму 42 886 руб., в связи с чем всех виновных лиц было приказано выгнать с работы, а зачинщиков привлечь к уголовной ответственности [36].
Поэтому можно смело сказать, что планку высококвалифицированных рабочих Торгсин пытался держать всеми способами, даже путем понуканий на слётах. Председатель объединения на слете представителей ударников московских магазинов 15 декабря 1934 года Левенсон сказал:
«Люди, не отдают отчета в том, что они для покупателя, а не покупатель для них: они зарвались, зачванились на торгсиновских товарах, которых раньше не было нигде, кроме Торгсина.»
Там же он упоминает и про преступную халатность магазина №10 Московской конторы, из-за которой он подвергся чистке всего высшего звена и выговору нижнему звену [37].
Уже в 1932 году в связи с расширением продовольственной сети Торгсин начал разрастаться в целую франшизу, а в феврале 1932 года ему передали всю городскую сеть по золото-скупочным операциям [38]. Если в начале года было открыто лишь несколько магазинов в Горьковской конторе, то к концу года это число увеличилось до 13, а скупочных пунктов до 100 (причём примерно в каждом 3-м пункте принимали серебро) [39].

См.: [40].

См.: [41].

К тому же, Торгсин владел и некоторыми гостиницами. К примеру универмаг №22 Горьковской области владел гостиницей «Интурист» [27], а Горьковская контора содержала пионерский лагерь [42].
Однако Торгсин это была не только сеть магазинов, но и дешевая сеть путей сообщения и транспортировки товаров. К примеру, Торгсин участвовал в закупке товаров за границей и реализацией их на внутреннем рынке:

См.: [43].

См.: [44].

См.: [45].

Транспортной системой Торгсина пользовалась даже сама советская власть. К примеру Начальник Внутреннего снабжения и транспортного хозяйства Апсит постановил Управляющему обл. конторой В/О Торгсин тов. Власову: Надо через Торгсин отправить 7 машин в разные точки страны [46], также от 16 марта 1934 также Апсит просил отослать 26 автомашин в разные конторы Торгсина [47].
Переводы Торгсин принимал практически из всех стран, что имели, какой то вес на мировом рынке. Можно было беспрепятственно отправлять переводы из банков Эстонии, Латвии, Швейцарии, Голландии, Швеции, Турции, Дании, Норвегии Финляндии, Бельгии, Египта, Китая, Персии, Палестины, Италии Монголии, Америки, Англии, Австрии, Германии, Хорватии, Чехословакии и Польши.
Также Торгсин занимался и посылочными операциями. Посылки до 8,5 кг на начало 1933 года стоили 1,50 руб., а к концу года — 1 руб. До 17 кг в начале года — 2 руб., а в конце — 1,50 руб. [33].

См.: [48].

Торгсин часто сотрудничал с русской интеллигенцией, продавая их творчество за внешнюю валюту, при этом и самих авторов не оставляя в стороне:

См.: [49].

В 1932 году Торгсин показал относительно неплохие результаты. За год поступило валютных ценностей на 49,2923 млн. руб., что в несколько раз превосходит предыдущий год, однако это далеко не лучший показатель в истории Торгсина [50].

Это было лишь начало истории работы Торгсина. Давайте теперь рассмотрим, что с ним произошло, за самый прибыльный 1933 год и почему он таким, оказался.
1933 ГОД.
Для начала нужно прояснить какая ситуация складывалась в целом в стране в 1933 году, чтобы понимать политику изменения работы Торгсина.
Начиная с 1931 года начался сильный рост разрыва цен обобществленной торговли от рыночных. Бывало, они доходили по некоторым товарам до 1000 и более процентов. Так в 1932 году ржаная мука в городских кооперативных магазинах стоила 12,6 коп. за кг., а на рынке 89,5 коп., пшеничная мука соответственно продавалась по 24,1 коп. и по 190,1 коп., хлеб ржаной по 10,5 коп. и по 111 коп., масло сливочное 5 руб. 2 коп. и 11 руб. 46 коп., говядина 1 руб. 11 коп. и 4 руб. 14 коп. [51]. Соотношение цен на продовольственные товары по Москве и Ленинграду в мае 1933 года выросли еще сильнее. Только по хлебу они расходились на 2000% [52].
До весны 1933 года рост базарных цен продолжался, и только в результате организации Наркомснабом открытой торговли в апреле 1933 года повышательная линия цен была сломлена и цены пошли на снижение. Весной 1933 года буквально через 2-3 дня после начала государственной коммерческой продажи хлеба в ряде городов базарные цены на хлеб были снижены на 45-60%.
Такая же картина наблюдалась и по другим продовольственным продуктам: например, произошло немедленное снижение базарных цен на молоко на 30-40 и более процентов (летом 1933 года при развертывании государственной коммерческой продажи молока) [53]. Об этом рассказывал и Микоян на 17 съезде ВКП(б) [54]. Но в целом цены на сельскохозяйственные товары в 1933 году были на 48% выше среднегодовых на 1932 год.

См.: [55].

См.: [55].

Однако с повышением цен повышались и зарплаты. В 1932 году среднегодовая заработная плата выросла по сравнению с 1928 годом более чем в 2 раза:

См.: [55].

См.: [55].

Стоит сказать и про ситуацию во внешней торговле СССР. По мере развития мирового экономического кризиса в капиталистических странах, приходилось осуществлять реализацию советских экспортных товаров в условиях валютных рестрикций (ограничения в переводе валюты), импортных квот, высоких таможенных тарифов и т. д. Сверх того, рядом стран проводились мероприятия, направленные специально против советского экспорта (декреты в США в 1930 г., основанные на вымыслах о «принудительном труде в СССР» и о «советском демпинге», контингентирование Германией импорта ряда советских товаров, эмбарго, т. е. запрещение, введенное английским правительством в апреле 1933 г. на советский экспорт) [56]. Кроме того, в Америке на ряд товаров Советского происхождения значительно увеличилась таможенная пошлина: повышение в новом американском тарифе коснулось 887 статей, а понижение лишь 235. Общее повышение по сравнению с тарифом 1922 г. достигает 20%, а по сравнению с 1913 г. —100%. Адвалорный таможенный тариф в отношении всего импорта увеличился на 41% [57].
Стоит добавить и про общий спад ценности советских товаров, начиная с 1929 года.

Теперь, исходя из этих данных, можно приблизительно понимать политику Торгсина в начале 1933 года, поэтому сразу переходим к нововведениям в его политике в 1933 году.

Авторы и редакторы.
V. Smirnov (автор), А. Космынин (редактор).
Источники:
[24] ГКУ ЦАНО Р910 Оп. 1 №5 (Годовой отчет по горьковской конторе).
[25] РГАСПИ, Ф. 17. Оп. 3. Д. 873. Л. 18-24.
[26] ГКУ ЦАНО Р910 Оп. 1 №5.
[27] ГКУ ЦАНО Р910 Оп. 1 №27.
[28] Прейскурант портовых цен 1932 год.
[29] ГКУ ЦАНО Ф.5917 Оп. 1 №17 Л. 89.
[30] Протокол № 123 заседания Политбюро ЦК ВКП(б) от 25 ноября 1932 года.
[31] ГКУ ЦАНО Р910 Оп. 1 №58.
[32] ГКУ ЦАНО Р910 Оп. 1 №30.
[33] ГКУ ЦАНО Р910 Оп. 1 №58.
[34] ГКУ ЦАНО Р910 Оп. 1 №30 Л. 80.
[35] ГКУ ЦАНО Р910 Оп. 1 №134 Л. 58.
[36] ГКУ ЦАНО Р910 Оп. 1 №121.
[37] ГКУ ЦАНО Р910 Оп. 1 №131.
[38] РГАСПИ, Ф. 17. Оп. 3. Д. 873. Л. 18-24.
[39] ГКУ ЦАНО Р910 Оп. 1 №61.
[40] Известия. 1932. 17 января.
[41] Протокол № 91 заседания Политбюро ЦК ВКП(б) от 8 марта 1932 года.
[42] ГКУ ЦАНО Р910 Оп. 1 №132.
[43] Протокол № 112 заседания Политбюро ЦК ВКП(б) от 16 августа 1932 года.
[44] Протокол № 75 заседания Политбюро ЦК ВКП(б) от 15 ноября 1931 года.
[45] Протокол № 121 заседания Политбюро ЦК ВКП(б) от 1 ноября 1932 года.
[46] ГКУ ЦАНО Р910 Оп. 1 №134 Л. 41.
[47] ГКУ ЦАНО Р910 Оп. 1 №134 Л. 52.
[48] Протокол № 73 заседания Политбюро ЦК ВКП(б) от 5 ноября 1931 года.
[49] Протокол № 125 заседания Политбюро ЦК ВКП(б) от 10 декабря 1932 года.
[50] РГАЭ, Ф. 4433 Оп. 1 д. 133 Л. 18, 141-143.
[51] ГАРФ, Ф. 4372 Оп. 30 №70 Л. 49.
[52] ГАРФ, Ф. 1562 Оп. 149 №19 Л. 6.
[53] Гатовский. «Советская торговля в 1934 году». Большевик, 1934 год, №18.
[54] Стенографический отчет 17 съезда, стр. 180.
[55] Малафеев А. Н. «История ценообразования в СССР» (1964).
[56] Статистика внешней торговли СССР 1935 год.
[57] Новый таможенный тариф США 1933 год.

Источник телеграмм канал: "Чемоданчик пруфов"

Показать полностью 18
Отличная работа, все прочитано!