TuzimunMath

TuzimunMath

Ты знаешь, кто номер один!
На Пикабу
Дата рождения: 12 декабря
19К рейтинг 73 подписчика 12 подписок 54 поста 21 в горячем
Награды:
5 лет на Пикабу
6

Уравнение параболы в полярных координатах

Рассмотрим самую первую параболу, которою проходят в школе: y=x².
Запишем через полярные координаты:
Rsin(φ)=(Rcos(φ))²
R = tos(φ), где tos - тосинус.
И кто то потом сможет сказать, что тосинус бесполезный?

Уравнение параболы в полярных координатах
Показать полностью 1

Надувной круг — заблуждение?

Доброго времени суток!

На море можно часто увидеть данный объект

(не обязательно именно арбуз)

Все бы ничего, но люди называют эту штуку "круг". Даже если смотреть сверху, то это не очень похоже на круг, но если посмотреть с другого ракурса, то мы увидим просто ужас...

Это далеко от круга настолько, насколько это только возможно.

А теперь вопрос: почему этот объект называют кругом? Если вы скажете, что этот объект больше всего похож на круг и именно по этому его так и назвали, то вы будете неправы.

Просто посмотрите на эту штуку

Правда намного больше похоже на "круг"? Зовут эту штуку "тор".

Ну согласитесь, что если раскрасить тор в арбуз, то будет один в один.

Так что разумнее называть не "надувной круг", а "надувной тор". Будьте умнее тех людей, которые зовут это кругом.

Показать полностью 3
113

Математический маятник

Есть известная формула периода колебаний математического маятника

где g - ускорение свободного падения

Посмотрев его значение для Земли мы понимаем, что

Т.е. при решении задач можно писать так:

В таком случае мы получаем абсолютную ошибку меньше, чем в случае когда мы подставляем g равное 10 и извлекаем корень! Да и вообще это экономит время.

Но не стоит писать, что T = 2√l ибо мы теряем размерность. Не стоит так писать, если в условии сказано: "ускорение свободного падения принять равным 10".

P.S. еще не стоит так писать, если речь идет о планете, где ускорение свободного падения не лежит в интервале от 9 до 10.

Лично мне этот "лайфхак" сэкономил много времени.

Стоит отметить, что

1) Ускорение свободного падения для Земли ≈ π² ≈ 9.87

2) Ускорение свободного падения для Луны ≈ √e  ≈ 1.65

Посмотрим, как физика зайдет :)

Показать полностью 2
11

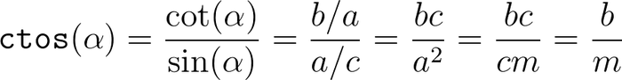
Котосинус (тригонометрическая функция)

Котосинус — тригонометрическая функция, которая может возникнуть при рассмотрении прямоугольных треугольников и выражает зависимость длин сторон этого треугольника и частей гипотенузы, на которые её делит высота от острых углов.

Котосинусом угла α называется отношение b/m. (ctos α = b/m).

Котосинусом угла β называется отношение a/n. (ctos β = a/n).

Другими словами котосинус — это отношение котангенса угла к его синусу.

ctos(x) = tos(90°-x)

График функции y = ctos(x) имеет следующий вид:

Нули функции π/2 + πn, n ∈ Z.

Функция имеет разрыв второго рода в точках πn, n ∈ Z.

Минимума и максимума функции нету.

Период функции 2π.

Значения котосинуса некоторых нестандартных углов

Другие функции: Тосинус, керсинус, сикус (теорема сикусов), кокосинус, сангенс.

Ну и красивое решение уравнения sin(x) + tg(x) = 1 можно найти здесь.

Показать полностью 11
23

Sin(x) + tg(x) = 1

sin(x) + tg(x) = 1
Перед тем как смотреть решение рекомендую вам попробовать решить это уравнение самостоятельно, тут не все так просто!

Умножим левую и правую части уравнения на cos(x) и снесем все вправо

Теперь сделаем замену, t = sin(x) - cos(x). t лежит в интервале от -√2 до √2. Но как выразить sin(x)*cos(x) через t? Очень просто! Возводим в квадрат и получаем, что

И отсюда моментально выражаем sin(x)*cos(x) через t

Подставляем все в уравнение sin(x)*cos(x) + sin(x) - cos(x) = 0 и получаем квадратное уравнение относительно t.

Выделим полный квадрат

Нам подходит только t = 1 - √2 т.к. t ∈ [-√2; √2]

Теперь делаем обратную замену и решаем уравнение

Можно выразить все через тангенс половинного угла, а можно и через вспомогательный аргумент. При решении через вспомогательный аргумент ответ получается короче, значит через него и будем решать.

Делим уравнение на √2

И замечаем формулу синуса разности аргументов.

Уже не буду рассказывать как решать уравнения вида sin(y) = a.

Изначально я хотел решить уравнение sin(x) + tg(x) = i, повыражать все через экспоненту.... но там вышло уравнение четвертого порядка... конечно, его можно решить, но это нудно и долго...

Если вы нашли способ решить это уравнение легче или решить уравнение sin(x)+tg(x) = i, то будьте добры сообщить мне в комментариях, я все читаю!

Показать полностью 8
36

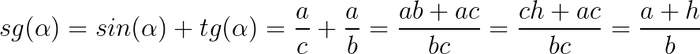
Сангенс (тригонометрическая функция)

Сангенс — тригонометрическая функция, отражающая для прямоугольного треугольника зависимость длин катетов и высоты опущенной на гипотенузу.

Определение: Сангенс - это сумма синуса и тангенса одного угла.
Другими словами сангенс угла α - это отношение (a+h)/b. (sg α = (a+h)/b).
Сангенсом угла β называется отношение (b+h)/a. (sg β =(b+ h)/a).

(равенство ab и ch легко доказывается через площадь треугольника ABC)

График функции y = sg(x) имеет следующий вид:

Период функции 2π.
Нули функции πn , n ∈ Z
Функция не определена при x = π/2 + πn, n ∈ Z

Первообразная и производная сангенса:

К моему сожалению в этот раз без ряда Тейлора. =(

Если нашли ошибку, то пишите в комментарии (ошибок тут быть не должно).
Уже не раз были люди, которые писали, что в посте есть ошибка, но на мою просьбу показать ошибку они не отвечали, либо отрицали очевидные факты.

Показать полностью 4
42

Sin(x) + cos(x) = 2

Как решить уравнение sic(x) = 2? Справка: sic - сикус.

Для начала перепишем выражение sin(x) + cos(x) следующим образом:

А теперь нужно узнать всем известную формулу синуса суммы аргументов.

Теперь изначальное уравнение принимает следующий вид:

Для удобности сделаем замену y = x + π/4.
Теперь необходимо решить уравнение sin(y) = √2.

Его можно решить очень просто

Но такое решение меня не особо устраивает. Акрсинус √2 находится очень просто!

Извесно, что

(выплывает из формулы Эйлера)

Теперь наше уравнение принимает следующий вид:

Преобразовав его получаем квадратное уравнение относительно e^iy.

Найдем дискриминант. (Понимаю, что лучше было бы найти четверть дискриминанта, но много людей не знают этой формулы) Дискриминант выходит равный -4. Находим корни этого уравнения

Возьмем левое и правое выражение под натуральный логарифм.

Известно, что

Тогда

Выполним проверку при помощи Wolfram Alpha ^^

И мы действительно нашли значение арсинуса√2.
Теперь решаем уравнение sin(x + π/4) = √2.

Теперь подставляем значения арсинуса√2, и получаем корни изначального уравнения!

Ответ получен абсолютно верный, и проверен при помощи Wolfram Alpha! Если вы захотите проверить, то не забудьте прибавить pi/4 к значению х.

Т.е. сикус угла может быть равен 2!

Показать полностью 16
2

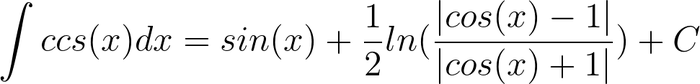
Кокосинус (тригонометрическая функция)

Кокосинус — тригонометрическая функция, отражающая для прямоугольного треугольника зависимость длин гипотенузы, противолежащего катета и высоты опущенной на гипотенузу.

Определение: Кокосинус — это сумма косеканса угла и косинуса того же самого угла.

Другими словами кокосинус угла α - это отношение (c+h)/a. (ccs α = (c+h)/a).

Кокосинусом угла β называется отношение (c+h)/b. (ccs β = (c+h)/b).

Вывод кокосинуса острого угла

График функции y = ccs(x) имеет следующий вид:

Максимального значения функции нету.

Минимального значения функции нету.

Период функции 2π.

Нулей функции нету. (над полем действительных чисел)

Первообразная и производная кокосинуса:

В этот раз без разложения в ряд Тейлора =С

Другие статьи: Тосинус, Керсинус, Сикус, Теорема сикусов

Показать полностью 6
Отличная работа, все прочитано!