Dr0papayka
142К
рейтинг
9 подписчиков
101 подписка
173 поста
65 в горячем
Награды:
Когда у Пикабу горит
Прочитал пост прот недобросовестного таксиста, решил открыть комментарии и увидел
Пост с комментариями(первые комментарии в топе): Ну это уже свинство
Показать полностью
1
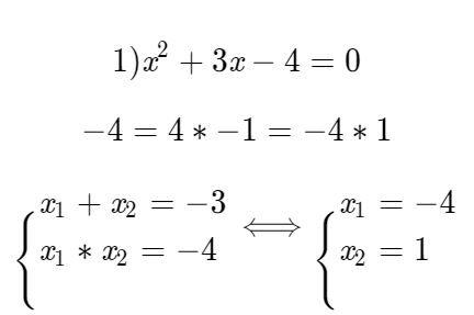
Про ненавистную теорему Виета
Недавно я прочитал комментарий #comment_196885343 и понял, что не все знают как можно облегчить поиск корней по теореме Виета.
Сначала лучше найти дискриминант и если из него извлекается корень, то уже пытаться использовать теорему Виета
1)Надо смотреть среди делителей свободного члена, при необходимости меняя знаки делителей. Вот пример:
Показать полностью
2
Ничёсе
Показать полностью
1
Настоящие мужчины
Показать полностью
1
Надо подождать
Показать полностью
1
Ура товарищи!
жирный тролль @Kultrabotnik123, был заблокирован навсегда







