Исследования характеристик лапши
Введение
Выбор лапши быстрого приготовления одна из важнейших проблем современного общества. Существуют как ортодоксальные приверженцы одной марки, так и гурманы, находящиеся в поисках своего идеала и экспериментирующие со вкусами. Однако, несмотря на всю актуальность проблемы, научной литературы на эту тему существует крайне мало. В связи с этим был проведен ряд исследований и в этой статье представлены результаты экспериментов, направленных на изучение одной из важнейших характеристик лапши быстрого приготовления - способность завариваться.
Объекты анализа
Для проведения экспериментов была выбрана лапша четырех торговых марок. Для удобства обозначим их буквами A B D R
Ход эксперимента:
Первая серия опытов была приближена к реальным условиям: Навеску лапши массой 10 г. заливали кипящей водой (Т = 100°C на начало эксперимента). Через 60 с. при помощи специального дуршлага навеску лапши извлекали из водной среды, фиксировали массу на электронных весах и опускали снова в водную среду. Подобная манипуляция повторялась 10 раз для каждого из четырех образцов. Результаты измерений представлены на графике 1.1
Полученная зависимость изменения массы лапши от времени заваривания показывает, что больше всего масса изменяется у образца А ( 400% от первоначальной массы). Говорит ли это, что А - самый качественный из четырех продуктов? Для этого нужно изменить некоторые условия эксперимента.
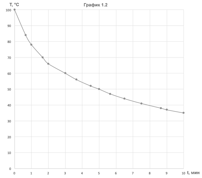
Во-первых, стоит принять во внимание, что температура воды, в которой заваривается лапша постепенно понижается. Чтобы это наглядно показать, при помощи термометра измеряли температуру лапши в некоторые промежутки времени и получили соответствующий график понижения температуры (график 1.2)
Посему была проведена ещё одна серия опытов по подобной методике, но только в постоянно кипящей воде (Т = 100°C на протяжении всего эксперимента). Результаты проиллюстрированы на графике 2.
Можно обратить внимание, что достижение максимальной массы происходит намного быстрее и спустя 10 минут образцы набирают большую массу, чем при первом эксперименте.
Возвращаясь к графикам 1.1 и 1.2 стоит вспомнить, что производитель советует заваривать лапшу ок. 5 минут. Такая методика объясняется тем, что при достижении 5 минут температура воды понижается до 50°C, и далее процесс заваривания практически не идет. К тому же в холодной воде лапша не обладает таким изысканным вкусом. Из этого следует, что при обычном заваривании максимально возможная масса не достигается из-за понижения температуры воды.
Важно обратить внимание, что максимальная масса образцов А и B изменяется во втором эксперименте всего лишь на 0,7 и 0,5 г соотв, а образцы R и D набирают массу 34,1 и 33,8 г (в то время как в первом эксперименте доходили до значений 28,1 и 30,9 г соотв.). Для того, чтобы получить боле полную картину того, как способность завариваться зависит от температуры воды была проделана третья серия опытов в воде при комнатной температуре (Т= 25°C). Результаты представлены на графике 3
Теперь можно наблюдать совершенно иную картину - образец А облает самыми плохими показателями, в то время как D, который демонстрировал во втором эксперименте самые плохие результаты сравнялся с В, занимающим стабильно второе место.
Всё дело в том, что способность завариваться зависит от двух факторов: структура сухой лапши и вид загустителя. Загустители производитель указывает в составе:
А = декстрин
B = картофельный крахмал, гуаровая камедь, ксантановая камедь
R = кукурузный крахмал, тапиоковый крахмал, гуаровая камедь
D = ацетилированный крахмал, гуаровая камедь
Образец А единственный, кто имеет в составе декстрин - полисахарид получаемый при термической обработке крахмала. В горячей воде продукт, содержащий декстрин разбухает намного сильнее, чем содержащий природный крахмал.
Структуру лапши можно наблюдать на микроскопе с падающем светом. Можно заметить, что самые большие поры у лапши B и D. Это объясняет бóльшую массу образцов по отношению к другим в опыте при Т = 25°C, когда загустители практически не оказывают действия.
Выводы:
1. Образец А имеет наибольшее изменение массы при заваривании (400% по отношению к сухому и 98,3% по отношению к максимально возможной массе), но оно вызвано лишь действием особого загустителя
2. Образец В изменяется в массе менее интенсивно (350% по отношению к сухому и 98,6% по отношению к максимально возможной массе). Образец имеет пористую структуру, натуральные загустители и является золотой серединой между качеством и способностью завариваться
3. Образец R изменяется в массе хуже всего (281% по отношению к сухому и 82,4% по отношению к максимально возможной массе). Всё дело в том, что лапше не хватает пористости, и кукурузный крахмал хоть и натуральный продукт, не дает такого эффекта, как декстрин.
4. Образец D изменяется в массе чуть лучше предыдущего (309% по отношению к сухому и 91,4% по отношению к максимально возможной массе). Имея качественный состав лапши, он содержит не самый лучший в плане работы загуститель.
P.S. отдельная благодарность МИТХТ, без оборудования которого исследования были бы невозможны.








Лига Химиков
1.9K поста12.9K подписчиков
Правила сообщества
Старайтесь выбирать качественный контент и не ставьте теги моё на копипасты
Посты с просьбой решения домашнего задания переносятся в общую ленту
Также нельзя:
1. Оскорблять пользователей.
2. Постить материал далеко не по теме и непотребный контент (в остальном грамотно используйте теги)
3. Рекламировать сомнительные сайты и услуги коммерческого характера